Глава 12. Дифференциальные уравнения
12.1. Понятие комплексного числа
Комплексные числа – выражения вида
,
– действительные числа, i – мнимая единица,
. Числа
действительные,
– чисто мнимые.
Число a – действительная часть числа z ,
, b – мнимая часть числа z ,
, модуль:
.
Сопряжённое число
(отличается знаком мнимой части). Два комплексных числа
и
равны, если
.Комплексное число равно 0, если
. С комплексными числами можно производить арифметические операции (по правилам алгебры):
.
.

.
Решение квадратного уравнения:
.
1) если
, то 2 действительных корня:
,
2) если
, то
,
3) если
, то 2 комплексных корня:
.
Пример: Решить уравнение 
12.1. Тригонометрическая форма комплексного числа. Действия над комплексными числами в тригонометрической форме
Наряду с представлением комплексного числа в алгебраической форме:
, во многих случаях удобно пользоваться комплексным числом в полярных координатах.
Совмещая полюс полярной системы координат с началом декартовой системы координат,
а полярную ось с осью ОХ, точка
будет иметь полярные координаты
и
,
. Декартовые координаты х и у точки
связаны с её полярными координатами
и
соотношениями
,
и число
запишется в форме:
.
Правую часть этого равенства называют тригонометрической формой комплексного числа z, угол
– аргументом числа z и обозначают Arg z, r – модулем комплексного числа z и обозначают |z|. Модуль и аргумент комплексного числа z
находят по формулам:
,
.
Значение аргумента
, заключенное в границах,
называется главным значением аргумента и обозначается
. Для сопряженных комплексных чисел z и
модули равны, а главное значения их аргументов отличаются только знаком:
.
Пример 1. Представить в тригонометрической форме следующее число:
.
Решение. Модуль комплексного числа
определяется по формуле
. Так как число
лежит во второй четверти, по формуле найдем:
. Подставляя значение модуля и аргумента в формулу, получаем
.
Пример 2. Представить в тригонометрической форме следующее число:
.
Решение.
Модуль числа
будет равен
а аргумент
. По найденным значениям модуля и аргумента число
в тригонометрической форме запишется так:
.
Пример 3. Представить в тригонометрической форме следующее число:
.
Решение. Согласно формулам, найдем:
. Так как число находится в четвертой четверти, получаем
.
Умножение и возведение в степень.
Пусть даны два комплексных числа в тригонометрической форме
, тогда
,
т.е.
,
. Получили формулу:
. При умножении комплексных чисел, заданных в тригонометрической форме, модули перемножаются, а аргументы складываются.
Полученная формула справедлива и для произведения
комплексных чисел. При этом имеем
. Полагая в равенстве
, найдем:
, т.е.
;
. Эта формула называется формулой Муавра.
Деление. Рассмотрим деление двух комплексных чисел, заданных в тригонометрической форме
.

.
Следовательно,
, т.е.
.
При делении комплексных чисел, заданных в тригонометрической форме, модуль частного равен частному их модулей, а из аргумента делимого вычитаем аргумент делителя.
Дадим геометрическую интерпретацию умножения и деления комплексных чисел. Из формулы умножения следует, что при умножении комплексных чисел
на
вектор OZ, поворачивается около начала 0(0,0) против часовой стрелки на угол
и сжимается (растягивается) в
раз, если
(рис.1).
При делении же комплексных чисел
на
, согласно формуле, вектор OZ, поворачивается около точки 0(0,0) по часовой стрелке на угол
и сжимается (растягивается) в
раз, если
(рис.2).

Извлечение корня. Пусть дано комплексное число
. Надо найти комплексное число
., удовлетворяющее условию
. Согласно формуле Муавра, получим:
.
Отсюда находим
или
Таким образом, имеем
,где
.
Первые равенства показывают, что модули всех корней
одинаковы и расположены на окружности радиуса
с центром в начале координат. Обозначим одно из значений корня с аргументом
, полученное из формулы при k = 0 через
; тогда
Полагая затем
, найдем следующее значение корня
с аргументом
:
; его можно получить из первого значения поворота на угол
. Затем, полагая
, находим все значения корня. Каждое последующее получается из предыдущего поворотом на один и тот же угол
.
Следовательно, все n значений корней
делят окружность радиуса
на n равных частей, т.е. являются вершинами правильного n – угольника, вписанного в эту окружность.
Пример 4. Вычислить 
Решение. Получим тригонометрическую форму комплексного числа:
.Применяя формулу Муавра для
, получаем:

.
Пример 5. Вычислить
.
Решение. Представим число 1 в тригонометрической форме. Имеем
,тогда по формулам, получим:
, т.е. число находится на положительной полуоси ОХ. Из формулы находим
, значит, все значения корней лежат на единичной окружности
. Далее
и
. Все значения
лежат в вершинах квадрата, вписанного в единичную окружность
, причем одна из вершин этого квадрата – точка (1,0), а остальные значения корней
можно получить поворотом на угол
первого значения корня
,
;
;
;
Пример 6. Найти все значения
.
Решение. Представим число
в тригонометрической форме. Это число лежит в первой четверти; по формулам находим
.
Следовательно,
По формулам определяем корни:
,
отсюда получим:
при
,
.
12.3. Понятие дифференциального уравнения. Задача Коши
Дифференциальное уравнение – уравнение, связывающее аргумент x,исходную функцию y и её производные. Порядок старшей производной называется порядок дифференциального уравнения.
Всякая
– решение, если она обращает его в тождество.
Общее решение дифференциального уравнения n–го порядка содержит n констант
, иногда получаем ответ в виде:
это общий интеграл.
Дифференциальное уравнение I -го порядка
Это дифференциальное уравнение вида
, иногда
.
Общее решение
, с – произвольная постоянная.
Геометрически общее решение – семейство интегральных кривых.
Если задать точку
, через которую проходить кривая, то тем самым из бесконечного числа кривых выделяется 1 кривая – частное решение.
Аналитически – имеется начальное условие:
из общего решения находится частное. Это задача Коши.
Пример. Решить задачу Коши: 
– частное решение.
Дифференциальное уравнение первого порядка можно записать
или
.
Рассмотрим решение некоторых дифференциальных уравнений первого порядка.
12.4. Дифференциальное уравнение с разделяющимися переменными
Рассмотрим дифференциальное уравнение,
, полагая, что
. Интегрируя, получим решение:
.
Дифференциальное уравнение с разделяющимися переменными можно записать в виде:
. Интегрируем:
.
Пример:
.
Если дифференциальное уравнение записано в виде:
и
, то преобразуем его:
Далее интегрируем .
Примеры:
.
,
.
12.5.Однородные относительно аргумента и функции дифференциального уравнения
Функция
называется однородной функцией n-го измерения, если
.
1-го измерения,
– 2-го измерения.
называется однородным относительно x и y, если
однородная функция нулевого измерения.
Решение. По условию:
. Пусть
тогда
. Сделаем подстановку:
подставим в дифференциальное уравнение:
Это дифференциальное уравнение с разделяющимися переменными.
, далее - интегрируем по
и
. Подставим вместо 
Пример: 
интегрируем:
, имеем:
.
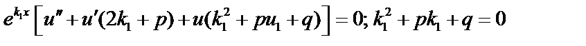
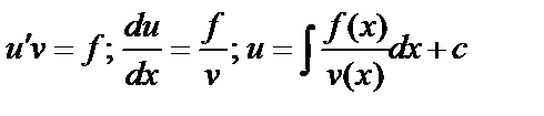
12.6. Решение линейного дифференциального уравнения первого порядка методом подстановки
Линейным уравнением первого порядка называется уравнение, линейное относительно
и
. Оно имеет вид:
. Если
, то это однородное уравнение, иначе не однородное.
Будем искать решение в виде
, тогда
, подставим в уравнение:
, или
Выберем
такой, чтобы
, тогда
, или
, т.к. достаточно отличного от нуля решения, то
. Подставим найденное значение
:
окончательно,
.
Пример:
.
Пусть
;
;
. Подставим в исходное:
, частное решение:
.
12.7. Решение линейного дифференциального уравнения первого порядка методом вариации произвольной постоянной
Найдём решение однородного уравнения:
, переменные
разделяются:
.
Будем считать, что
- это функция от
:
, тогда
(для удобства). Подставим в уравнение:

.
Пример:
;
; считаем
.
;
.
12.8. Уравнение Бернулли.
Уравнение Бернулли имеет вид:
.
Разделим на
:
(а).
Сделаем замену:
подставим в (а):
Это линейное дифференциальное уравнение относительно
:
. Находим
, затем находим
(вместо
подставим
).
Пример:
-Бернулли!
;
.
линейное относительно
:
методом вариации.
;
.
12.9. Понижение порядка в дифференциальных уравнениях.
Если искомая функция
есть функция одного независимого переменного, то дифференциальное уравнение называют обыкновенным.
Дифференциальное уравнение порядка
. Всякая функция
определённая
и
раз дифференцируемая, называется решением этого уравнения, если она обращает его в тождество.
Решение
. Задача Коши: найти такое решение д.у., чтобы оно само и его производные до порядка
при
принимали бы заданные значения
,
где
заданные числа, называемые начальными условиями. Задача Коши – значение функции и производных задаются при одном и том же значении
.
Общее решение: если задачу Коши можно решить при любых начальных значениях, то
– общее решение.
Понижение порядка
I.
. Общее решение – интегрирование
раз:
.
Пример:
.
,


.
II. Уравнения, не содержащие искомой функции
. Порядок может быть понижен на 1:
получим уравнение
. Если уравнение не содержит искомой функции y или её производных до порядка
, т.е.
, то порядок может быть понижен на
единиц:
.
Пример:
; подстановка
; тогда
;
.
III. Уравнения, не содержащие независимой переменной
. Понижение порядка на


Общее решение уравнения:
;
- I-го порядка.
Пример: 
,
а)
;
б)
;
;
.
12.10. Линейные дифференциальные уравнения второго порядка: свойства решений. Определитель Вронского
Дифференциальное уравнение называется линейным, если оно первой степени относительно искомой функции y и её производных
и т.д.
Линейное дифференциальное уравнение второго порядка имеет вид:
(1), где
- заданные функции от
.
Если
, то уравнение называется однородным или уравнением без первой части.
Если
то уравнение называется неоднородным или уравнением с правой частью.
Рассмотрим линейное однородное дифференциальное уравнение второго порядка:

Теорема 1: если
и
–два частных решения (1), то
– тоже решение.
Определитель Вронского.
Определение. Два решения уравнения (1)
и
называется линейно независимым на отрезке
, если их отношения на этом отрезке не являются постоянными, т.е.
. Иначе решения называются линейно зависимыми, тогда
.
Если
и
есть функции от
, то определитель
называется определителем Вронского.
Теорема 2: если решения
и
– линейно зависимые на отрезке
, то
.
12.11. Линейные дифференциальные уравнения второго порядка: формула Лиувилля.
Теорема 3: Если определитель Вронского
, составленный для решений
и
уравнения (1), не равен 0 при каком-нибудь значении
на отрезке
, где коэффициенты непрерывны, то он
ни при каком значении
на
.
-формула Лиувилля.
Теорема 4: Если
и
– линейно независимые решения (1), то
общее решение (1).
12.12. Линейные однородные дифференциальные уравнения второго порядка с постоянными коэффициентами.
(1),
– действительные числа. Чтобы найти общий интеграл этого дифференциального уравнения, надо найти два линейно независимых частных решения.
Ищем частные решения в виде:
тогда
. Подставим в (1):
, значит,
. Если
удовлетворяет уравнению, то
– решение. Характеристическое уравнение по отношению к (1). Пусть корни уравнения
и
.
.
Возможны 3 случая:
1.)
и
– действительные числа,
.
2.)
=
– действительные числа.
3)
и
– комплексные числа.
1. в этом случае частные решения:
и
, эти решения линейно независимые
.Общее решение: 
Пример:
. Составим характеристическое уравнение:
.
2.
. получаем одно частное решение
. Найдём второе линейно независимое решение
. Ищем его в виде:
.
;
.
Подставим в уравнение (1):
или:
.
значит,
.
Выберем частное решение,
, т. е.
.
линейно независимое,
.
Пример:
Характеристическое уравнение:
,
,
тогда
. Решение, удовлетворяющее начальным условиям:
.
3. Комплексные корни. Пусть
,
,
Частные решения:
. Если какая-либо комплексная функция действительного аргумента
удовлетворяет уравнению, то этому уравнению удовлетворяют и функции
и 
и
. Выберем действительные функции
и
которые будут решениями уравнения
и
линейно независимые:
.
Общее решение:
.
Пример:
,
- общее решение.
12.13. Неоднородные дифференциальные уравнения с постоянными коэффициентами. Метод вариации произвольной постоянной.
Пусть имеем неоднородное дифференциальное уравнение второго порядка:
. (1)
Теорема 1: Общее решение неоднородного дифференциального уравнения (1) равно сумме какого-либо частного решения этого уравнения
и общего решения (
) соответствующего однородного уравнения
.
Для нахождения частного решения используют метод вариации производных постоянных. В общем решении однородного уравнения
(3), считаем
и
как функции от X.
Подберём
и
так, чтобы
тогда
. Подставим в (1):
если 
Функция (3) будет решением неоднородного дифференциального уравнения (1), если
(4)
и
– линейно независимы,
, поэтому:
.
Интегрируя, получим:
.
Подставим
и
в (3) и получим общее решение:
.
Пример:
;
.
Составим систему (4):
;
.
;
;
;
.
12.14. Неоднородные дифференциальные уравнения со специальной правой частью.
Пусть имеем уравнение:
где
и
– действительные числа. Пусть правая часть имеет вид:
где
и
вещественные числа,
и
– многочлены одной или разных степеней. Если они разной степени, то пусть n – их наибольшая степень. Решение можно определить методом вариации произвольных постоянных, однако можно отыскать решение более простым методом неопределённых коэффициентов.
Рассмотрим два случая:
1. число
не является корнем характеристического уравнения соответствующего однородного д.у. В этом случае частное решение ищем в виде: (1)
, где
и
– многочлены одной и той же степени, равной наивысшей степени
и
. Необходимо определить коэффициенты многочленов
и
.
2. Если число
является корнем кратности
характеристического уравнения, то частное решение ищем в виде:
(2)
. Ищем коэффициенты
и
.
В обоих случаях определяем коэффициенты многочленов так: в данное уравнение подставляем
и сравниваем коэффициенты при одинаковых степенях x в левой и правой частях равенства. Получаем систему уравнений, из которых определяем коэффициенты многочленов
и
.
Пример 1:
В правой части отсутствует множитель
, следовательно,
и правая часть не содержит
и
, это значит, что
. Число
не является корнем характеристического уравнения. Частное решение ищем в виде (1), где
, степень многочлена
– вторая
.
. Найти A , B , C.
Подставим в уравнение:
;
.

.
Пример 2:
;
,
не корень, характеристическое уравнение, поэтому
.
.
.
Пример 3:
- не корень.

,

.
Пример 4:
;
- решение характеристического уравнения.
;
.

12.15. Системы дифференциальных уравнений.
При решении многих задач требуется найти функции
, которые удовлетворяют системе дифференциального уравнения , содержащих аргумент x, искомые функции
и их производные.
Рассмотрим систему дифференциального уравнения первого порядка:
(1)
– искомая функция, x – аргумент.
Система называется нормальной, если в левой части стоят производные, а правые части их не содержат.
Проинтегрировать систему – найти функции
, удовлетворяющие системе уравнений (1) и начальным условиям
. (2)
Дифференцируем по x первое уравнение системы:
. Заменив выражение
их выражениями
из уравнений (1), получим
. Далее снова дифференцируем по x полученное уравнение:
, продолжая далее, получим уравнение:
.
Итак, получена система:
(3)
Из первых
уравнений определяем
, выразив их через
и производные
:
(4)
Подставляя эти выражения в последние из уравнений (3), получим уравнение n-го порядка для определения
:
(4a)
Решая его, определим
:
. Дифференцируя
раз, найдём производные
как функции
,
. Подставляя эти функции в (4) определим
.
(5)
Далее обычным образом определяем
с помощью начальных условий.
Замечание 1. Если система (1) линейна относительно искомых функций, то уравнение (4а) будет линейным.
Пример:
Проинтегрировать систему
.
Дифференцируем
1-е уравнение:
.
или
. Из 1го уравнения системы выразим z:
и подставляем в полученное уравнение: 
.
, тогда
.
Ищем
, тогда 
.
Найдём
и
так, чтобы удовлетворялись начальные условия:
Решение, удовлетворяющее начальным условиям, имеет вид:
.
Замечание 2. Мы предполагали, что из первых
уравнений системы (3) можно определить функции
. Может случиться, что переменные
, исключаются не из n , а из меньшего числа уравнений. Тогда для определения y мы получаем уравнение, порядок которого ниже n.
Библиографический список
Основной
1.Ефимов Н.В. Краткий курс аналитической геометрии. – М.: Наука, 1975. -236 с.
2. Клетеник Д.В. Сборник задач по аналитической геометрии.- С.-Пб.: Профессия, 2003.-224 с.
3. Пискунов, Н. С. Дифференциальное и интегральное исчисления. Т. 1, 2- М.: Интеграл-Пресс, 2000, 2001. (любого другого года издания)
4. Задачи и упражнения по математическому анализу для втузов. /Под ред. Б. П. Демидовича.- М. : Астрель, 2001,2004.
5. Бермант А.Ф. Краткий курс математического анализа для втузов. – М.:Физматлит, 2003.-720 с.
6. Амосов А.А. Вычислительные методы для инженеров / А.А. Амосов, Ю.А. Дубинский, Н.В. Копченова. – М.: Высш. школа,1994.-231 с.
Дополнительный
7.Бугров Я.С., Никольский С.М. Элементы линейной алгебры и аналитической геометрии. – М.: Наука, 1988. – 224с.
8.Бугров Я.С. Никольский С.М. Дифференциальное и интегральное исчисление. – М.: Наука, 1988. – 432 с.
9.Шипачев И.С. Высшая математика. – М.: Высшая школа, 1990. – 480 с.
Содержание
1. Определители и матрицы………………………………………….2
2. Системы линейных алгебраических уравнений ………….……..10
3. Векторы………………………………………………………….…15
4. Аналитическая геометрия…………………………………………21
5. Функции……………………………………………………………29
6. Пределы и непрерывность…………………………………….….33
7. Производная и дифференциал……………………………………39
8. Основные теоремы дифференциального исчисления……….….48
9. Приложения производной……………………………………..….49
10. Неопределенный интеграл………………………………………52
11. Определенный интеграл…………………………………………64
12. Дифференциальные уравнения …………………………….…..76
