Производная неявной и параметрической функции
Логарифмическая производная
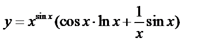
Производная степенно-показательной функции
. Найдем
. Дифференцируя, получим
.
Учитывая, что
, получим после преобразований
.
Замечание. Производная логарифмической функции
называется логарифмической производной. Ее удобно использовать для нахождения производных функций, выражения которых существенно упрощаются при логарифмировании.
Пример 1. Вычислить
.
.
Пример 2.
.
Логарифмируем:
Производная неявной функции.
Если задана неявная функция
, то для вычисления производной надо взять производные от правой и левой частей, помня, что
.
Например,
.
.
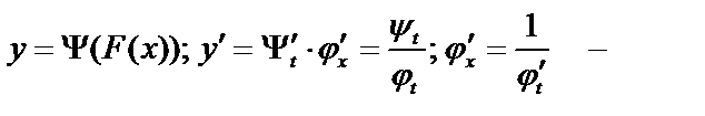
Параметрическое задание функции
Пусть даны два уравнения
.
Каждому значению t соответствует x и y на плоскости. Если
, то эта точка описывает кривую на плоскости – кривая задана параметрически,
– параметр.
, то
.
Такое задание определяет
,
от
задается параметрически. Используется в механике.
Производная. Ищем производную сложной функции:
производная обратной функции.
Пример.
.
7.8. Дифференциал функции
Пусть
и аргумент
получил приращение
. Тогда дифференциалом называется величина
, но
, поэтому
отношение дифференциалов.
Вычисление дифференциала функции называется ее дифференцированием, при этом вычисляется производная, поэтому процесс вычисления производной часто называется дифференцированием.
Дифференциал – главная линейная часть приращения функции.
Функция, обладающая дифференциалом, называется дифференцируемой.
У дифференцируемой функции производная должна быть конечной.
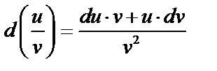
Свойства дифференциала
1.
;
2.
;
3.
.
Найдем выражение для дифференциала сложной функции:
, где
. По правилу дифференцирования сложной функции:
, то есть
инвариантность дифференциала – дифференциал сложной функции имеет такой же вид, как и для простой переменной.
Дифференциал широко применяется в приближенных вычислениях.
Дифференциал
, если
.
7.9. Производные и дифференциалы высших порядков
Если вычислить производную от первой производной
, то получим вторую производную:
. Производная от второй производной:
– третья производная. Производная n-го порядка – производная от производной
порядка:
.
Пример:
;
.
Для дифференцируемых функций
и 
;
формула Лейбница.
Дифференциалы высших порядков.
Дифференциал второго порядка:
,
.
дифференциал n-го порядка.
