Глава 10. Неопределенный интеграл
10.1. Первообразная и неопределенный интеграл. Непосредственное интегрирование
Основная задача дифференциального исчисления – отыскание производной заданной функции. Однако имеется обратная задача: по данной
найти
, производная которой равна
,
.
Лемма: Функция, производная которой на некотором промежутке равна нулю, является константой.
по т. Лагранжа
,
.
Теорема. Если
– первообразная для функции
на некотором промежутке X , то любая другая первообразная имеет вид
.
Определение. Если функция
– первообразная для
, то множество функций
называется неопределенным интегралом от
и обозначается:
, где
– подынтегральная функция,
– подынтегральное выражение, x – переменная интегрирования.
Восстановление функции по ее производной или отыскание неопределенного интеграла называется интегрированием.
Свойства неопределённого интеграла:




Табличные интегралы:







Непосредственное интегрирование
Вычисление интеграла путем использования таблиц и основных свойств называется непосредственным интегрированием.
Примеры.
.

.
10.2. Метод подстановки. Интегрирование по частям
Если известно, что
.
Это вытекает из правила дифференцирования сложной функции.
Примеры:
.
.


.
Интегрирование по частям
Нет формулы, выражающий интеграл от произведения функций через интеграл от сомножителей. Интеграл от элементарной функции не всегда является элементарной функцией.
Пусть имеются дифференцируемые функции
и
:
или, интегрируя, получим:
– формула интегрирования по частям.
При использовании формулы интегрирования по частям необходимо выбрать функцию, тогда оставшаяся часть будет дифференциалом функции
, т.е.
. Можно указать следующие случаи:
1.
.
В этом случае последовательное дифференцирование уменьшает показатель
до нуля. Наиболее простой случай, когда
.
2.

В этом случае дифференцирование указанных функций обычно упрощает нахождение интеграла.
Примеры:
1) 

2.) 

3.) 

4.) 

, тогда
.
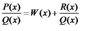
10.3. Интегрирование рациональных функций. Разложение на простейшие дроби
Рассмотрим рациональную функцию вида
, где
и
– многочлены. Многочлен – это выражение вида
.
Если степень многочлена в числителе равна или больше степени многочлена в знаменателе, то дробь называется неправильной и необходимо выполнить деление:
, где
– многочлен.
Пример
а)
.
б)
.
Далее будем рассматривать правильные дроби (т.е. старшая степень числителя меньше старшей степени знаменателя), т. к. интегрирование функции
– табличное. Если
– корни уравнения
, то многочлен можно представить в виде
, где
– коэффициент при старшей степени многочлена. Выражения
называют линейным множителем.
Среди корней могут быть и комплексные, в этом случае элементарными множителями будут выражения
. Кроме того, корни могут быть кратными (одинаковыми). Окончательно имеем:
где
.
В высшей алгебре доказывается, что правильную дробь можно представить в виде простейших дробей:
Это разложение рациональной функции на простейшие дроби.
10.4. Интегрирование простейших дробей
Чтобы определить числа
, умножим обе части разложения на
и приравняем коэффициенты при одинаковых степенях x в левой и правой части равенства.
Пример:
;



Алгоритм.
1.Выделить правильную дробь.
2.Знаменатель разложить на элементарные множители.
3.Найти коэффициенты в разложении
на простейшие дроби.
После этого задача сводится к нахождению интегралов 4 типов:



. 
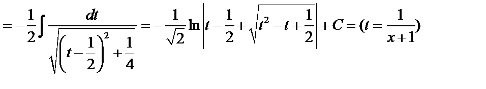
Вычислим интеграл типа III.
Выделим в знаменателе полный квадрат:
. Используем подстановку,
.


.
Пример:


.
Вычисление интеграла типа IV.
В числителе записывается производная знаменателя:
и


, где
.
Интегралы вида
вычисляются по рекуррентной формуле:
(или формула приведения). Зная, что
можно вычислить 
Пример.
; по формуле приведения: 
, окончательно,

10.5. Интегрирование тригонометрических функций
Интеграл вида
, где
– рациональная функция от
всегда выражается через элементарные функции.
1) Часто используется универсальная подстановка:
,

и получается
от рациональной функции
.
Использование этой подстановки обычно связано с громоздкими вычислениями.
2) Если имеет место тождество
, то можно применить подстановку
.
Пример 1.


Пример 2.
.
3) Интегралы вида
, где m и n – целые числа любого знака.
а) если
– нечетное, тогда
, используется подстановка.
.
б) если n – нечетное, тогда
.
в) если m и n четные, то можно использовать подстановку
, или понизить степень:
.
4) Часто используют формулы:
,
,
.
Пример3. 
.
10.6. Интегрирование некоторых иррациональных функций
I. Рассмотрим интеграл вида
, где
– рациональная функция. Используем подстановку
тогда необходимо вычислить
, т.е. интеграл от рациональной функции. Затем возвращаемся к переменной
. По этой же методике можно вычислять и
. Необходимо привести к общему знаменателю
и
: если он равен
, то положить
.
Пример 1.


.
.
Пример 2.

.
II. Интегралы вида
- подстановка
.
Пример 3.

.
.
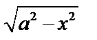
III. Тригонометрические подстановки:
а) Если интеграл содержит радикал
, то подстановка
.
б) Если интеграл содержит радикал
, то подстановка
.
в) Если интеграл содержит радикал
, то
IV.
.
Например:
.
тогда
. Аналогично для второго интеграла.
