Уравнение плоскости в отрезках
Теорема. В декартовых координатах каждая плоскость определяется уравнением первой степени.
– общее уравнение плоскости, где
.
Справедливо и обратное: каждое уравнение первой степени определяет плоскость.
Уравнение плоскости в отрезках.
. Обозначим
– уравнение плоскости в отрезках. Смысл величин а, b, c – это отрезки, которые плоскость отсекает от осей координат.
4.5. Расстояние от точки до плоскости
Пусть уравнение плоскости Р :
, дана
которая не принадлежит плоскости. Тогда
. Чтобы найти расстояние от точки до плоскости, следует подставить координаты этой точки в уравнение плоскости и полученную величину поделить на модуль вектора
, т.е. на нормирующий множитель
. Для определения расстояния от точки до плоскости можно пользоваться нормальным уравнением плоскости. В этом случае
.
4.6. Уравнение плоскости, проходящей через 3 данных точки. Угол между плоскостями
Пусть точки
лежат в плоскости Р и точка
– любая точка плоскости. Тогда
,
,
лежат в одной плоскости и являются компланарными. Условие компланарности: равенство нулю смешенного произведения:
, т.е.
—уравнение плоскости, проходящей через 3 точки.
4.7. Прямая в пространстве
В общем случае прямую в пространстве можно рассматривать как линию пересечения 2-х плоскостей: 
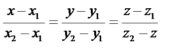
Канонические уравнения прямой
Пусть
– точка лежащая на прямой;
, где m, n, p – координаты направляющего вектора прямой, т.е. вектора параллельного данной прямой.
– текущая точка.
, получаем уравнение
– канонические уравнения прямой.
Чтобы перейти от общего уравнения прямой к каноническому, в качестве точки
берут любое решение системы, направляющий вектор прямой можно найти как векторное произведение векторов нормалей
×
.
. Если направляющий вектор прямой задан точками M1, M2, то можно записать уравнение прямой, проходящей через 2 данные точки
,
:
.
Угол между прямыми
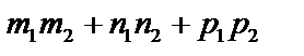
Пусть 2 прямые заданы в канонической форме, т.е. известны направляющие векторы каждой прямой:
,
.
Угол
между прямыми равен углу между направляющими векторами:
.
Если прямые параллельны, то
и
.
Если прямые перпендикулярны,
, то
и
= 0 – условия перпендикулярности прямых.
Кривые на плоскости
4.9. Окружность
Окружность- это геометрическое место точек, каждая из которых отстоит от центра (О) на одинаковом расстоянии r. Пусть
– текущая.

Центр окружности:
.

4.10. Эллипс
Эллипс – это геометрическое место точек, для которых сумма расстояний от двух фиксированных точек, называемых фокусами, есть величина постоянная (большая расстояния между фокусами).
Пусть
, тогда
. Вводим
,
- каноническое уравнение эллипса.
Эллипс симметричен относительно осей OX и OY ( x 2 и y 2 ). 
,
:
;
,
:
A , B , A * , B * – вершины эллипса, О – центр эллипса.
большая полуось,
малая полуось.
Эксцентриситет – отношение расстояния между фокусами к длине его большой оси:
;
;
. Для окружности a = b и ε = 0, чем больше ε ,тем больше эллипс вытянут.
Эллипс получается при сечении цилиндра и проекция окружности на плоскость.
4.11. Гипербола
Гипербола – это геометрическое место точек, для которых разность расстояний от двух фиксированных точек, называемых фокусами, есть постоянная величина, взятая по модулю и меньше расстояния между фокусами.
и
- фокусы
. Пусть
– текущая.
– каноническое уравнение гиперболы.

Прямые
– асимптоты.
Эксцентриситет – отношение расстояния между фокусами гиперболы к расстоянию между ее вершинами,
, характеризует форму гиперболы.
4.12. Парабола
Парабола – геометрическое место точек, для каждой из которых расстояние до некоторой фиксированной точки – фокуса равно расстоянию до некоторой фиксированной прямой, называемой директрисой (не проходит через фокус). Фокус F, расстояние от F до директрисы равно p – параметр параболы. Начало координат – посередине между F и директрисой.
,
,
.
Парабола симметрична относительно ОХ. х=0, у=0. (у2<0),
. Пусть х=1, тогда
. Длина хорды параболы, проведенной перпендикулярно оси, равна
.
p характеризует «ширину» области, ограниченной параболой.
| Q |
| r |
| M |
| Y |
| d |
| p\2 |
| F (p\2,0) |
| X |
| 0 |
Глава 5. Функции
5.1. Понятие множества. Логическая символика
Множество – любая совокупность объектов, называемых элементами множества.
Примеры множеств – множество студентов академии, факультета, набор трех уравнений, множество всех целых чисел.
Множества обозначаются заглавными буквами, а элементы – строчными;
– х элемент множества X;
– x не является элементом множества X.
– множество Х состоит их элементов
.
Пусть Х и Y – два множества. Если они состоят из одних и тех же элементов, то они совпадают, то есть Х=Y. Если каждый элемент множества Х является элементом множества Y, то
(Х содержится в Y) и Х – подмножество Y.
Множество, не содержащее ни одного элемента, называется пустым
.
Пусть Х – множество, имеющее свойство Р(х), тогда
обозначает совокупность тех элементов Х, которые обладают свойством Р(х).
Объединением множеств А и В называется множество
.
Пересечением множеств А и В называется множество
.
Разностью множеств А и В называется множество
.
Верхняя и нижняя границы множества.
Говорят, что множество Х ограничено сверху (снизу), если существует число С такое, что для любого
выполнено
. С – верхняя (нижняя) грань множества Х. С=sup X – верхняя, C=inf X – нижняя.
Логическая символика.
Пусть
- некоторые утверждения. Тогда
– не
, то есть отрицание утверждения
.
- из
следует
;
–
эквивалентно
;
-
и
- конъюнкция;
–
или
– дизъюнкция;
для всякого элемента
истинно утверждение
. (
– квантор всеобщности);
существует элемент
такой, что для него истинно утверждение
. (
– квантор существования).
Принцип математической индукции:
.
Числа.
Натуральные числа 1, 2,3,…- N.
Целые числа – Z, Z0 –множество всех неотрицательных чисел (и 0).
Q – множество рациональных чисел, x = m/n.
I – множество иррациональных чисел
R – множество действительных (вещественных) чисел, числовая прямая.
Модуль:
;
.
Если
, то
; это называются
– окрестностью точки
.
5.2. Понятие функции. Основные свойства функции
Часто приходится рассматривать изменение одной величины в зависимости от изменения другой. При изменении движения путь рассматривается как переменная, изменяющаяся в зависимости от времени. Путь – функция времени. Если радиус круга R принимает различные значения, то площадь
тоже будет принимать различные значения. S – функция R. Если каждому элементу x множества X ставится в соответствие определенный элемент y множества Y, то говорят, что на множестве X задана функция
. х – независимая переменная, y—зависимая переменная.
Частные значения получаются, если аргументу х придавать частные значения. Пусть
,
при
будет
, при
и так далее.
Запись:
;
. Множество X – область определения (существования) функции, множество Y – область значений функции.
Способы задания функции
Три основных способа – аналитический, табличный, графический.
1. Аналитический способ состоит в том, что зависимость задается в виде формулы, указывающей, какие действия надо выполнить, чтобы получить значение функции
.
2. Табличный способ заключается в том, что в определенном порядке записываются значения х и соответствующие значения у. Конечное число аргументов.
3. Графический способ часто используется в практике физических измерений. Аргументы – абсциссы, функция – ординаты. Следовательно, график
– множество точек плоскости.
Рассмотрим основные свойства функции
1.
– функция чётная,
– функция нечётная.
Если функция не является ни чётной, ни нечётной, то говорят, что функция общего вида.
2. Монотонность.
Функция называется возрастающей, если большему значению аргумента из множества X соответствует большее значение функции
, то
).
Функция убывающая, если большему значению аргумента соответствует меньшее значение функции (
, то
).
3. Ограниченность.
Функция
называется ограниченной на множестве X, если существует такое положительное число
, что
для любого
.
4. Периодичность.
Функция
называется периодической с периодом
, если выполняется равенство
.
5.3. Основные элементарные функции
1. Степенная.
, где
- действительное число.
2. Показательная:
.
3. Логарифмическая:
.
4. Тригонометрические:
;
5. Обратные тригонометрические функции:
.
6. Сложная функция – функция вида
, где
.
5.4. Элементарные функции. Классификация функций.
Элементарные функции – все функции, которые можно получить из основных элементарных функций с помощью:
а) алгебраических действий
и так далее;
б) операцией образования сложной функции.
Неэлементарные функции:
;
(антье) – целая часть числа х. [2,3]=2; [–2,5]=–3.
Элементарные функции можно разделить на алгебраические и трансцендентные (неалгебраические).
Алгебраической называется функция, в которой над аргументом производится конечное число алгебраических действий:
а) многочлен
;
б) дробно-рациональная функция – отношение двух многочленов;
в) иррациональная функция (если есть корни).
Всякая неалгебраическая функция называется трансцендентной. К числу трансцендентных относиться тригонометрические, показательные, логарифмические и т.д.
