Глава 11. Определенный интеграл
11.1.Понятие определенного интеграла и его свойства
Пусть
– непрерывная на отрезке
неотрицательная функция.

Определим площадь криволинейной трапеции – фигуры, ограниченной прямыми
и графиком функции
Разобьем
на n частей точками
, выберем на каждом из частичных отрезков
по произвольной точке
определим значение функции
(в этих точках) и составим сумму:
.
Эта сумма равна сумме площадей
прямоугольников. Устремим
Если при этом
, и
не зависит от способа разбиения и выбора точек
, то величина
называется площадью данной криволинейной трапеции:
.
Каждая криволинейная трапеция, соответствующая непрерывной функции
,имеет площадь
.
Указанный предел называется определённым интегралом и обозначается:
.
Числа
и
называются нижним
и верхним
пределами интегрирования,
– подынтегральная функция,
– переменная интегрирования.
Определенный интеграл – это число.
Вычисление определённого интеграла по определению можно осуществить с помощью компьютера, однако на практике используют формулу Ньютона – Лейбница.
Пусть задана непрерывная на
функция
и пусть
– ее первообразная. Тогда
или
– определенный интеграл равен разности значений первообразной подынтегральной функции для верхнего и нижнего пределов.
Определенный интеграл с переменным верхним пределом:
– функция
.
Если
– первообразная для
, то
и по формуле Ньютона – Лейбница:
. Дифференцируем:
– производная по верхнему пределу равна подынтегральной функции.
Свойства определённого интеграла
1.
– не зависит от значения переменной интегрирования.
2.
.
3.
.
4.Для любых чисел a, b, c:
.
5.
.
6.
.
7. Если
8.
– теорема о среднем.
Пример:
.
11.2. Интегрирование по частям и замена переменной в определенном интеграле
Пусть
и
– две непрерывные дифференцируемые функции на отрезке
, тогда
. Проинтегрируем равенство от a до b:
, имеем:
– формула интегрирования по частям.
Пример.
Замена переменной в определённом интеграле
Пусть дан интеграл
, где
непрерывная функция на
. Введем новую переменную по формуле
. Если
и
непрерывны на
непрерывна на
, то:
.
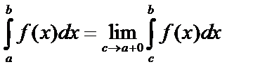
11.3. Несобственные интегралы с бесконечными пределами
Пусть функция
определена и непрерывна при всех
.
Тогда несобственный интеграл
. Если предел существует, то интеграл существует или сходится, если предел не существует, то интеграл расходится (не существует), т.е. не имеет конечного значения.
Геометрический смысл:
выражает площадь бесконечной области, заключенной между линиями
.
Аналогично,
.
Для последнего равенства должны существовать оба интеграла, с – число.
Пример 1. Исследовать на сходимость несобственный интеграл:
.
y
0 

.
Пример 2. При каких значениях параметра α интеграл
сходится и при каких расходится?
.

Пример 3. 
.
Если требуется установить, сходится ли данный интеграл или расходится, удобно применять теоремы:
1. Если для всех
выполняется неравенство
и если
сходится, то
тоже сходится и
.
2. Если для всех
:
причем
расходится, то и
расходится.
3. Если
сходится, то и
сходится.
Пример 4. Сходится ли
?
При
, поэтому (т.1)
тоже сходится и < 1.
Пример 5. Исследовать
.
. Но
– расходится, поэтому рассматриваемый интеграл тоже расходится.
Пример 6. Исследовать
на сходимость.
Подынтегральная функция знакопеременная.
Но
, значит, интеграл
сходится, и по т.3 сходится и
.
11.4. Несобственные интегралы от функций, имеющих разрыв
Пусть функция
определена и непрерывна при
, а при
функция либо не определена, либо терпит разрыв. В этом случае нельзя говорить об
, как о пределе интегральной суммы, поскольку этот предел может не существовать.
Интеграл
Если предел существует, то интеграл сходится, иначе – расходится.
Если функция имеет разрыв при
, то
– аналогично, если предел существует, то интеграл сходится, иначе – расходится.
Если
имеет разрыв в точке
внутри отрезка
, то
– существует, если существуют оба интеграла в правой части.
Пример 1. Исследовать сходимость
.
– сходится.
Пример 2.
– интеграл расходится.
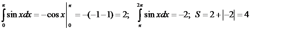
Геометрические приложения определенного интеграла
11.5. Вычисление площади плоской фигуры
а) Площадь плоской фигуры
, если 

Если
на интервале интегрирования, то рассматривают интеграл от модуля (или изменяют знак).
или
.

Пример 1. Найти площадь фигуры, ограниченной графиком
и осью абсцисс, если
.

.
Более удобной является формула:
где
.
y
f2(x)
f1(x)
0 х
Пример 2. Найти площадь, ограниченной параболой
и прямой
.

б) Пусть функция задана в параметрической форме:
.
.
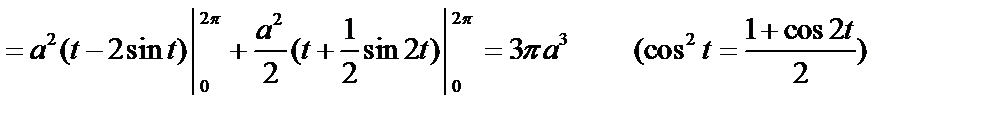
Пример 3. Вычислить площадь одной арки циклоиды
.

.

.
M
N


0
x
в) Если кривая задана в полярных координатах:
.
Разобьем данную площадь радиус – векторами
на n частей. Пусть углы между радиус – векторами равны
Площадь
сектора:
.
Площадь:
.
Пример 4. Найти S, ограниченную кардиоидой:
.
Вычислить половину площади:


.
11.6. Длина дуги кривой

а) Пусть кривая задана уравнением
. Возьмем на
точки
, и проведем хорды, которые обозначим
. Получим ломанную
, вписанную в дугу
. Длина ломаной:
. Длина дуги – предел:
. Если на отрезке
непрерывны, то этот предел существует. Пусть
, тогда
. По теореме Лагранжа
,
, по условию,
и
– непрерывны, поэтому существует предел интегральной суммы, который равен определенному интегралу:
.
Пример. Найти длину дуги кривой
.


.
б) Если кривая задана параметрически:
то длина дуги
.
в) Пусть кривая задана в полярных координатах:
тогда
.
;

;
тогда
.
Пример. Найти длину дуги кардиоиды:
.
;
;
длина дуги:
.
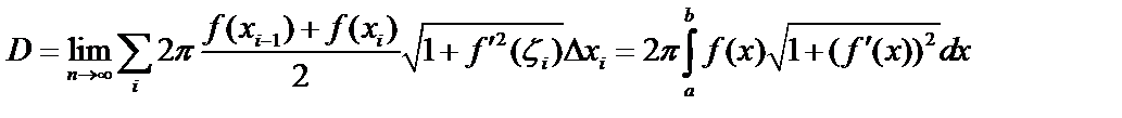
11.7.Вычисление объема и площади поверхности вращения.

Пусть имеется тело, для которого известна площадь сечения, перпендикулярного оси ох, т.е.
. Проведем плоскости, перпендикулярные оси ох. Они разобьют тело на слои,
(цилиндр), тогда
. Переходя к пределу:
.
Объем тела вращения:

Если ось вращения – ось OY, то объем тела вращения:
.
Если ось вращения – ось OX, то объем тела вращения:
и
.
Площадь поверхности вращения.

Разобьем
на
частей и проведем ломаную. При вращении ломаной получаются усеченные конусы (цилиндры). Площадь поверхности
, длина хорды
,
.
Пример: Объем тела, образованного вращением вокруг оси ох фигуры, ограниченной линиями:
и
.

.
.
