Глава 4. Аналитическая геометрия
4.1. Общее уравнение прямой на плоскости
Теорема. В декартовой системе координат каждая прямая на плоскости определяется уравнением первой степени.
Общее уравнение прямой на плоскости в декартовых координатах
. Если
, то
, обозначив
и
, получим уравнение прямой
с угловым коэффициентом
, где
– угол прямой с осью Оx; b – величина отрезка, отсеченного на оси Oy. Если
=0, то прямая параллельна оси Ox и
. Если
, то прямая перпендикулярна Ox и
.
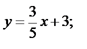
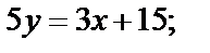
Пример.
;
;
.
Преобразуем:
– угловой коэффициент.

4.2. Уравнение прямой, проходящей через две точки. Угол между прямыми
Получим уравнение прямой, проходящей через
с угловым коэффициентом k.
.
(1)
Получим уравнение прямой, проходящей через две точки
.
Из предыдущего уравнения:
. Подставим в (1):
.
Если
(прямая параллельна оси ОХ), если
(параллельна оси О Y).
Угол между прямыми с угловыми коэффициентами
. Угол между прямыми:
.
Условие параллельности прямых:
; перпендикулярность:
.
4.3. Нормальное уравнение прямой. Расстояние от точки до прямой
Пусть дана прямая L. Проведем через начало координат прямую, перпендикулярную L: n – нормаль. На нормали введем положительное
направление- от
к
.
– угол от оси ОХ до направления нормали, p – длина ОР. Считая
и p известными, выведем уравнение прямой. Возьмем на прямой
. Очевидно, что
. Пусть полярные координаты
или
– нормальное уравнение прямой ( 
Расстояние от (·) до прямой. Пусть L – прямая в нормальном виде
.
– лежит вне прямой. Определим d – расстояние от
до прямой L. Через
проведем прямую
,параллельную L.
– (·) пересечения
с нормалью.
а) если
лежит по ту же сторону от 0 , что и N, то нормальное уравнение прямой
:
т.к.
то
-расстояние.
б) если
лежит по другую сторону от О, то уравнение прямой
:
.

Приведение общего уровня к нормальному.
Пусть
– общее уравнение, а
– ее нормальное уравнение, т.к. эти уравнения определяют одну прямую, то их коэффициенты пропорциональны. Умножим все члены общего уровня на
первые два возведем в квадрат и сложим:
<0, поэтому знак
берется противоположным знаку С.
– нормирующий множитель.
Пример. Дана прямая
и
. Найти расстояние d от М до прямой.
Приведем уравнение к нормальному виду: 
.
4.4. Общее уравнение плоскости. Неполные уравнения плоскости.
