Глава 6. Пределы и непрерывность
6.1. Предел числовой последовательности
Если по некоторому закону каждому натуральному числу n поставлено в соответствие вполне определенное число
, то говорят, что задана числовая последовательность
. Числа
– члены последовательности,
– n-й член последовательности.
Число А называется пределом числовой последовательности
, если для любого сколь угодно малого числа
найдётся такой номер N, что для всех членов последовательности с
будет выполняться неравенство
или
.
Пусть
, тогда
.
и т.д. С ростом n члены последовательности стремятся к 1, и величина разности
становится все меньше. Тогда
.
6.2. Предел функции в бесконечности и в точке
Предел функции в бесконечности
Число А называется пределом функции
при х, стремящемся к бесконечности, если для любого, даже сколь угодно малого положительного числа
, найдется такое положительное число
, что для всех х таких, что
>S, верно неравенство:
и обозначается
.
Рассмотрим предел функции в точке. Число А называется пределом функции
при
, если для любого, даже сколь угодно малого положительного числа
, найдется такое положительное число
>0 , что для всех
, не равных
и удовлетворяющих неравенству
выполняется неравенство
и обозначается
. Если
и
, то это предел слева
; если
и
, то это предел справа
.
6.3. Бесконечно малые величины
Функция
называется бесконечно малой величиной при
, если её предел равен 0, т.е.
. Например,
;
, если
:
.
Теорема. Если
, то
где
– бесконечно малая при
.
По условию
. Это значит, что для любого,
что для всех
и удовлетворяющих
верно
. Обозначив
, получим
. Это означает, что
– бесконечно малая при
.
Обратная теорема. Если
(бесконечно малой), то
.
По условию
. Т.к.
- бесконечно малая при
, то
, что для всех
и удовлетворяющих
верно
.
это означает, что
.
Свойства бесконечно малых величин:
1. Сумма конечного числа бесконечно малых величин есть величина бесконечно малая.
2. Произведение бесконечно малой величины на константу есть величина бесконечно малая.
3. Частное от деления бесконечно малой величины на функцию, предел которой отличен от 0, есть величина бесконечно малая.
Замечание. Пусть
и
две бесконечно малые величины. В этом случае их отношение
называется неопределенностью
и требует дальнейших вычислений.
Сравнение бесконечных малых.
Пусть имеется несколько бесконечно малых величин 
1. Если
имеет конечный и не равный нулю предел, т.е.
и
, то бесконечно малые
и
называются бесконечно малыми одного порядка малости.
Пример.
, x и
– бесконечно малые одного порядка.
.
2. Если
, то есть
(а
), то
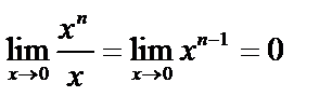
называют бесконечно малой величиной высшего порядка малости, чем бесконечно малая
,
– бесконечно малая низшего порядка, чем
. Запись
–
есть 0 малое от
.
Пример. 
,
– бесконечно малая величина высшего порядка, чем
.
3. Если
, то
– бесконечно малая
-го порядка относительно бесконечно малой
.
Пример.
есть бесконечно малая 3 порядка относительно
, т.к.
.
4. Если
, то α и β называются эквивалентными (равносильными) бесконечно малыми.
при

Предел отношения двух бесконечно малых не изменится, если члены отношения заменить равносильными им величинами.
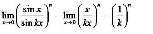
Пример. 


6.4. Бесконечно большие величины
Функция
при
, то есть является бесконечно большой величиной при
, если для каждого
, как бы велико оно не было, можно найти такое
, что для всех
, удовлетворяющих неравенству
имеет место
. Запись:
.
Свойства:
1. Произведение бесконечно большой величины на функцию, предел которой отличен от нуля, есть величина бесконечно большая.
2. Сумма бесконечно большой величины и ограниченной функции есть величина бесконечно большая.
3. Частное от деления бесконечно большой величины на функцию, имеющую предел, есть величина бесконечно большая.
Замечание 1. Если
и
– бесконечно большие величины при
, то
– неопределенность
.
– неопределенность
.
Теорема. Если
– бесконечно малая при
, то величина
– бесконечно большая при
и наоборот.
6.5. Основные теоремы о пределах
1. Предел алгебраической суммы конечного числа переменных равен алгебраической сумме пределов этих переменных.
.
2. Предел произведения конечного числа переменных равен произведению пределов этих переменных.
.
Следствие.
Постоянный множитель можно выносить за знак предела.
3. Предел частного двух переменных равен частному пределов этих переменных, если предел делителя отличен от нуля,
, если
.
4. Если
,
, то предел сложной функции
.
5. Если в некоторой окрестности точки
(или при достаточно больших
)
, то
.
6. Если в некоторой окрестности точки
(или при достаточно больших
) функция
заключена между двумя функциями
и
, имеющими одинаковый предел А при
,то функция имеет
тот же предел.
Во всех этих теоремах предполагается существование пределов этих функций.
6.7. Первый замечательный предел
Первый замечательный предел:
.
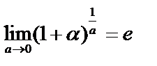
6.8. Второй замечательный предел

В общем виде:
, или
.
6.9. Непрерывность функции в точке и на промежутке
Функция называется непрерывной в точке x0, если она удовлетворяет следующим условиям:
1. Функция определена в точке
.
2. Функция имеет конечный предел при
и этот предел равен значению функции в точке
, т.е.
.
Функция f(x) называется непрерывной в точке x0, если при ∆х→0 и ∆у→0, то есть бесконечно малому приращению аргумента соответствует бесконечно малое приращение функции:
.
В противном случае х0 – точка разрыва.
Функция, непрерывная в каждой точке некоторого интервала, называется непрерывной в этом интервале.
Свойства непрерывной функции
1. Если функция
непрерывна на отрезке
, то она ограничена на этом отрезке и достигает на этом отрезке наибольшего значения М и наименьшего значения m.
2. Если f ( x ) непрерывна на отрезке [a,b] и на концах принимают значение разных знаков, то имеется a < c < b, для которой f(c)=0.
6.10.Классификация точек разрыва
Точка х называется точкой разрыва функции f(x), если f(x) в точке х0 не является непрерывной.
Точки разрыва можно разделить на два типа:
1. Разрыв 1 рода. Если функция f(x) имеет в точке х0 конечные пределы слева и справа , не равные между собой, то в точке
будет разрыв первого рода, т.е.
,
, но
.
2. Разрыв 2 рода. В точке
нет одного из односторонних пределов или если хотя бы один из односторонних пределов бесконечен.
– точка разрыва 2 –го рода.
Глава 7. Производная и дифференциал
7.1. Физический и геометрический смысл производной
Геометрический смысл

– тангенс угла наклона секущей.
, если
, то секущая переходит в касательную:
. Производная равна угловому коэффициенту касательной.
Физический смысл
Пусть
- закон движения математической точки, т.е. зависимость пути y от времени t. За время t пройден путь
, а за
.
Отношение
– средняя скорость движения; мгновенная скорость
.
В общем, для любой функции
– средняя скорость изменения y относительно изменения x,
– мгновенная скорость изменения y при некотором x. С помощью производной можно оценить скорость изменения связанных величин.
7.2. Определение производной. Свойства
Пусть дана функция
, возьмем значение аргумента x и зададим ему приращение
, это вызовет приращение функции
.
Производная:
, т.к. при различных значениях x производная различна,
– функция аргумента x, т.е.
.
Пример. Вычислим производную
. Пусть x получил приращение
, тогда
;
; т.е.
.
Свойства производной
1) Производная
,
,
,
.
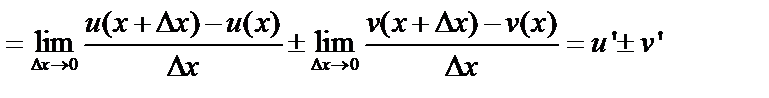
Пусть
и
– две функции, имеющие производные.
2)
;
.
3) 

, т.е.
.
4).
.
5)
.
7.3. Производная сложной и обратной функций
Сложная функция
Пусть задана функция
и функция
, тогда
называется сложной функцией.
Пример.
;
;
;
;
;
и т.д.
Пусть эти функции – дифференцируемые. Пусть x получил приращение
, тогда функции
и
получают приращение
и
. Рассмотрим
. Перейдем к пределу (если
, то
):
.
Обратная функция
Пусть
, будем считать y за аргумент, а x – за функцию. Тогда
– обратная функция, может быть многозначной.
-обратная,
– двузначная функция и т.д.
Если
– монотонная функция, то существует непрерывная обратная функция
.
. Перейдя к пределу:
или
.
7.4. Производные тригонометрических функций
а) 
Воспользуемся схемой нахождения производной:
;
;
;
(учли первый замечательный предел и непрерывность функции
).
Итак,
и
.
б)
;
;
и
.
в)
;
;
т.е.
и
.
г)
;
;
;
.
7.5. Производная обратных тригонометрических функций
а)
, где
и
.
Обратная функция имеет вид
, причем
, если
.
Используем правила дифференцирования обратной функции
.
При
производная не существует.
Итак,
и
.
б)
Поскольку
, то
;
.
Аналогично,
;
.
;
.
7.6. Производная показательной, логарифмической и степенной функций
Производная показательной функции
а)
.
Прологарифмируем обе части равенства по основанию
, получим
Дифференцируя обе части по переменной
и учитывая, что
– сложная функция, получим
или
, откуда
, т.е.
и
.
Заметим, что кривая
, называемая экспонентой, обладает отличающим только ее свойством: в каждой точке х ордината кривой
равна угловому коэффициенту (тангенсу угла наклона) касательной к кривой в этой точке:
.
б)
.
и по правилу дифференцирования сложной функции
.
Итак,
и
.
в)
;
.
.
г) Производная степенной функции
Теперь мы можем доказать формулу производной степенной функции
для любого
. Действительно,
. Дифференцируя обе части равенства, получим
, откуда
,
и
.
Таблица производных
| № п/п | Функция y | Производная
| № п/п | Функция у | Производная
|
| 1 |
|
| 14 |
|
|
| 2 |
|
| 15 |
|
|
| 3 |
|
| 16 |
|
|
| 4 |
|
| 17 |
|
|
| 5 |
|
| 18 |
|
|
| 6 |
|
| 19 |
|
|
| 7 |
|
| 20 |
|
|
| 8 |
|
| 21 |
|
|
| 9 |
|
| 22 |
|
|
| 10 |
|
| 23 |
|
|
| 11 |
|
| 24 |
|
|
| 12 |
|
| 25 |
|
|
| 13 |
|
|
7.7. Логарифмическая производная.
