Модификация метода необходимая для интегрирования уравнений Навье-Стокса
5.2. Модификация метода (5.2), когда
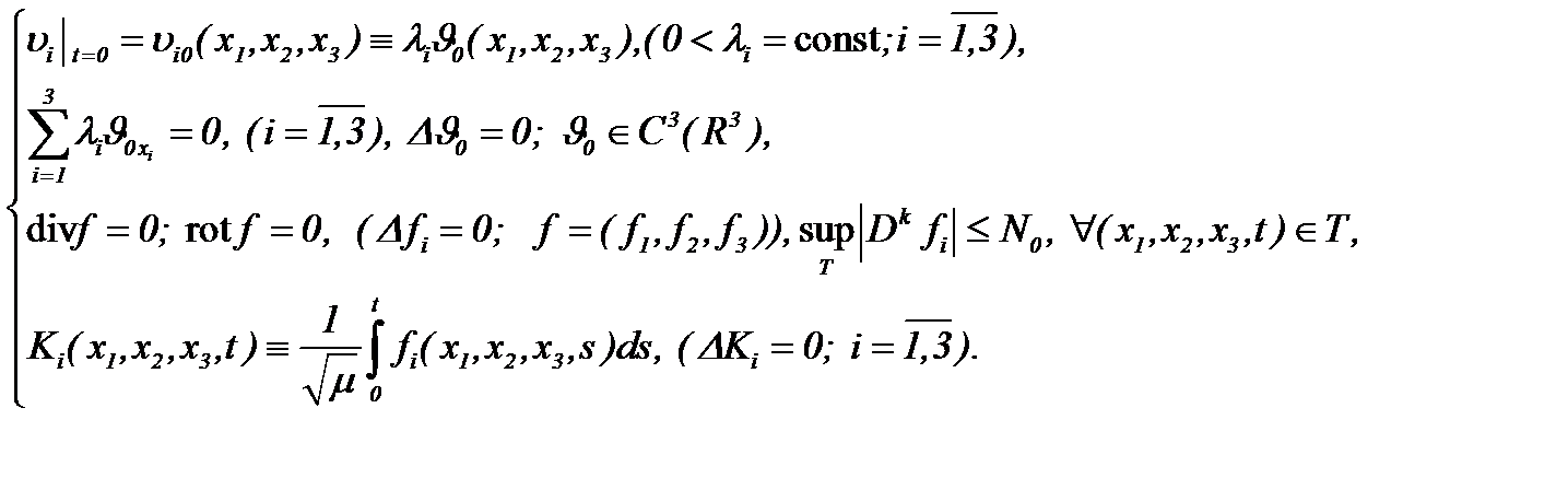
В данном пункте рассматривается модификация метода (5.2), необходимая для интегрирования уравнений Навье-Стокса в классе функций
а именно в случае, когда
(5.21)
Поэтому, как и ранее, компоненты скоростей определяем по правилу
(5.22)
причем
(5.23)
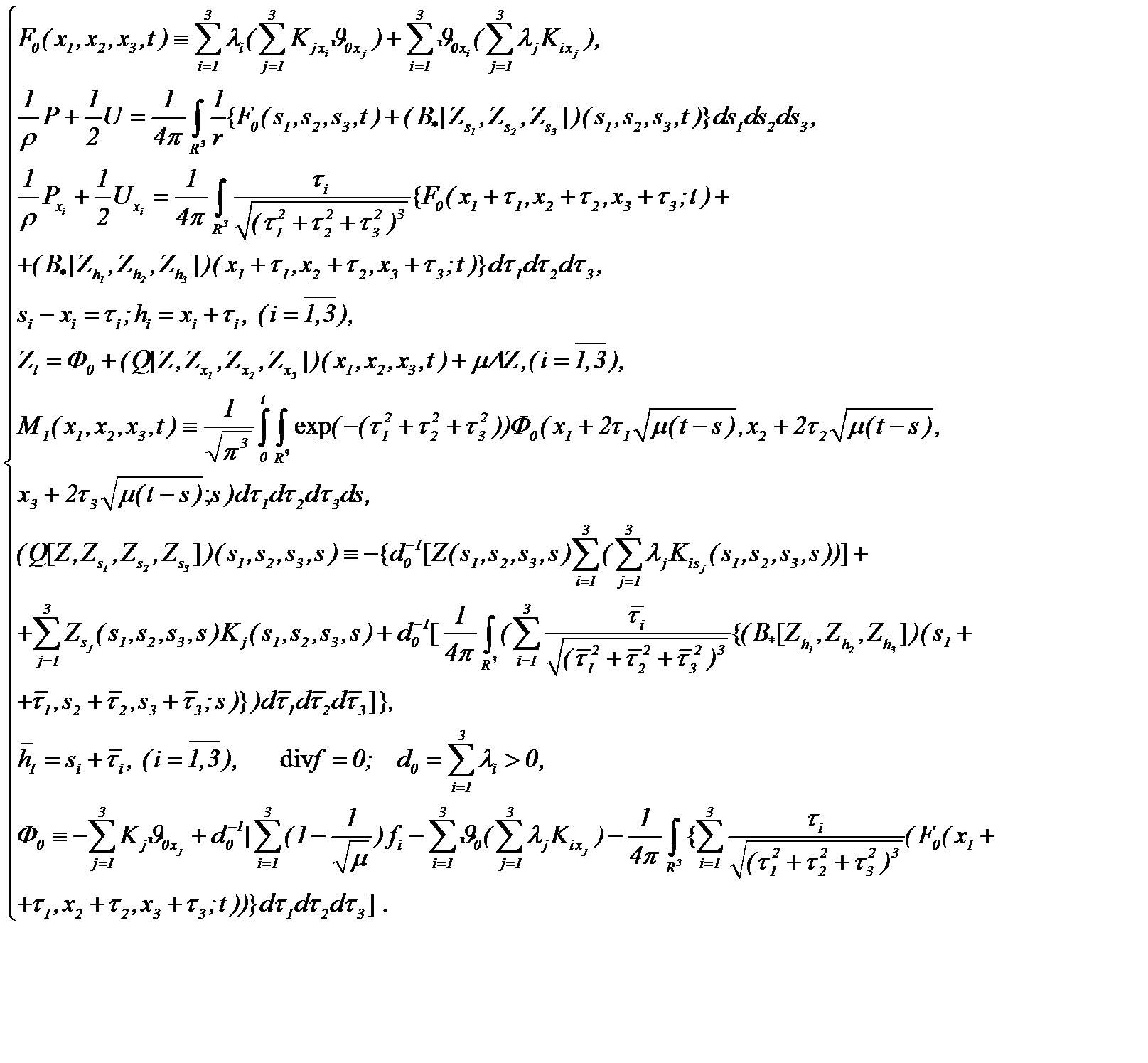
Следовательно, на основании (5.21) – (5.23) система (1.1) преобразуется к виду
(5.24)
Поэтому, принимая во внимание результаты предыдущего пункта, а именно (5.5) – (5.9), а
также то, что вместо
мы будем рассматривать
, из уравнения (5.24) получим
(5.25)
где

(5.26)
Теперь, пусть известные функции, входящие в систему (5.25), удовлетворяют условиям

(5.27)
и
(5.28)
Тогда решение этой системы можем найти на основе метода Пикара
(5.29)
Отсюда следует, что с учетом результатов (5.13) – (5.15) получим, что последовательности функций
сходятся к пределу 
(5.30)
Теорема 6*. Если выполнены условия (1.2), (1.3), (5.21) – (5.23) и (5.30), то задача Навье-Стокса разрешима в
.
Замечание 6. При условии
имеем
. Однако, если
то
(1)*
Если же
, причем
(см. (5.28)), (2)*
то, очевидно, задача Навье-Стокса разрешима в
.
Отметим, так как уравнения системы (
(5.25)) являются уравнениями Вольтерра-Абеля по переменной t, то обсуждая на языке уравнений Вольтерра, мы можем найти решение в
, т.е., как и в случае, когда условие (5.28) не выполнено. Поэтому предположим, что
(3)*
Тогда и в этом случае справедливы все результаты теоремы 4*, поэтому докажем, что при соблюдении условия (3)* система (5.25) имеет единственное решение в 
Для случая (3)* разделим интервал
на две части:
Как видно, шаг
В итоге получили пару систем в областях
и
т.е.
(4)*
Тогда операторы
являются сжимающими с коэффициентом сжатия
(5)*
а, значит, отображают области определения в себя. Поэтому при соблюдении условия (5)* принцип сжатых отображений выполнен, а потому система (4)* разрешима в 
Далее рассмотрим
соответственно операторам
причем
(6)* Если, как и ранее, операторы
допускают сжатие отображений, то система интегральных уравнений с указанными операторами разрешима в
Значит, система (5.25) корректна в
. В теории уравнений Вольтерра предлагаемый метод решения системы (5.25) называется «методом склеивания» или «методом подобластей».
