Жидкость с малой вязкостью. Лемма и уравнение
4.2. Жидкость с малой вязкостью, когда 
I . Цель пункта заключается в модификации метода (4.2), которая позволит получить аналитическое решение задачи Навье-Стокса с вязкостью в 
Если компоненты начальной скорости и функции
подчиняются условиям
(4.11)
то применимы преобразования вида
(4.12)
Тогда система (1.1) эквивалентно трансформируется к виду
(4.13)
Применяя разработанный выше алгоритм АПС к системе (4.13) с условиями (4.11) и (4.12), имеем относительно давления следующее уравнение
(4.14)
Значит, система (4.13) преобразуется к виду
(4.13)*
Тогда решение задачи (4.13)* представимо в виде
(4.15)
где
– известная функция, а потому решение (4.15) удовлетворяет задачу (4.13)*.
Действительно, определив частные производные уравнения (4.15)
(4.16)
а, затем, подставив (4.16) в (4.13)*, получим


Таким образом, получено то, что и требовалось показать.
Из полученного результата следует, что функции
определяются преобразованиями (4.12), т.е.
(4.17)
Поэтому, учитывая частные производные первого порядка системы (4.17) и подводя итог с принятием во внимание (1.2) и (4.12), имеем

значит, система (4.17) удовлетворяет условию (1.2).
II . Так как
, то решение задачи (1.1) – (1.3) принадлежит
:

Очевидно, если

(4.18)
то на основании (4.15) получим неравенство

В классе функций
, таким образом, оценка (4.17) дает необходимый результат

Лемма 2. Уравнение (4.15) с условиями (1.2), (4.11), (4.12) и (4.18) имеет единственное решение в
.
Теорема 4*. При выполнении условий леммы 2 задача (1.1), (1.2), (4.11) разрешима в
и решение определяется правилом (4.17).
Итогом исследований данного пункта являются результаты теоремы 4*, где решение системы (1.1) рассматривается как строгое решение задачи (1.1) – (1.3) в
Очевидно, малые изменения
или
незначительно влияют на решение (4.17), значит, решение непрерывно зависит от этих данных. Поэтому вопрос о корректной постановке задачи (1.1) – (1.3) решается, исходя из результатов теоремы 4*.
Замечание 2. Результаты пункта 4.2 с учетом преобразования (4.12) могут быть использованы в отношении уравнений Навье-Стокса (1.1)
(1)
(2)
т.е. в области
пространства переменных
ограниченных поверхностью
, где t удовлетворяет неравенству
при известных условиях [13]
(3)
(4)
Действительно, применяя преобразование (4.12), т.е.
(5)
из (1) получим уравнение (4.13), а именно
(6)
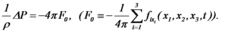
Откуда следует уравнение (4.14) в виде
(7)
Поскольку уравнение (7) является уравнением Пуассона, то для сравнения рассмотрим краевую задачу следующего вида
(8)
Тогда из уравнения (7) получаем выражение для неизвестного давления 
(9)
Теперь, учитывая (6) и (9), имеем
(10)
(11)
где

Полученного результата достаточно, чтобы, не вдаваясь в полное исследование задачи (10), (11), которое дано в [13, с. 349-351], ограничится тем, что обобщенное решение принимается, как решение в обычном смысле при достаточной гладкости
[13, стр.311-318, XXII]. Поэтому подобные выводы справедливы в отношении задачи (1) – (4), что и требовалось доказать.
Замечание 3. В пункте 2.2 приведено неравенство Билла-Като-Мажда. Поэтому, здесь укажем связь критерий регулярности Билла-Като-Мажда с результатами теоремы 4*, так как результаты этой теоремы приводят к глобальным классическим решениям уравнений Навье-Стокса (1.1) в классе
с точки зрения исходных данных, удовлетворяющих (4.17). Следовательно, при выполнении условий теоремы 4*, а также

имеет место
(4.19)
Как следствие, получим, аналогично формуле (2.24), оценку
(4.20)
Значит, выведенная нами оценка является оценкой типа Билла-Като-Мажда [5].
