Жидкость со средней вязкостью с условием
5. Жидкость с Вязкостью
Рассмотрим вязкую жидкость с небольшим числом Рейнольдса, где все инерционные члены содержатся в уравнениях Навье-Стокса для несжимаемой жидкости с вязкостью [12]. Выше отмечено, что уравнения Навье-Стокса такого вида, если не считать работы [8, 9], не исследованы в полном объеме. Технические приложения теории жидкости ограничены при очень больших значениях вязкости, если не поднимать вопросы теории смазки и падение маленьких шариков в густом масле [12]. Однако теоретические исследования в этом направлении важны для науки и практики. Это вызывает к разработке методов интегрирования уравнений Навье-Стокса со средним размером вязкости при наличии всех членов уравнения, поэтому в данном параграфе разработаны методы решения таких задач в пространстве
и класс подходящих решений, построенных на основе леммы K. Фридрихса [15] в
.
Для этого модифицируются основные методы параграфа 4: (4.2) и (4.12) на основе регулирующих функций
, причем задача (1.1) – (1.3) не допускает ограничений (А1) и (А2), в чем и заключается актуальность исследований этого параграфа.
5.1. Жидкость со средней вязкостью с условием
Итак, если исходные данные
подчинены условию
(5.1)
то для определения компонент скоростей введем следующее правило
(5.2)
причем
(5.3)
Тогда, принимая во внимание (5.2) и (5.3), получим
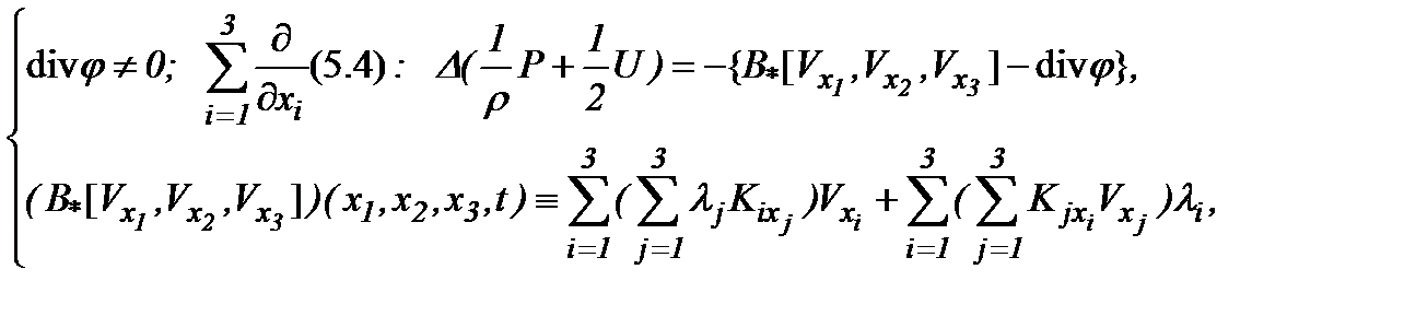
(5.4)
Значит, на основании (5.4) имеем
(5.5)
так как имеет место

Тогда систему (5.4) можно эквивалентно преобразовать к виду
(5.6)
т.е. заменить одним уравнением с одной неизвестной
. Следовательно, неизвестная функция
определяется уравнением
(5.7)
где

Уравнения (5.7) содержат неизвестные функции
Дифференцируя (5.7) по
и вводя обозначение
(5.8)
преобразуем выражение (5.7) в систему

(5.9)
которая (5.9) состоит из четырех интегральных уравнений 2-го рода по переменной
с четырьмя неизвестными функциями.
Для доказательства однозначной совместимости этой системы положим, что
(5.10)
и
(5.11)
Тогда решение (5.9) существует и единственно и его можно найти по методу Пикара
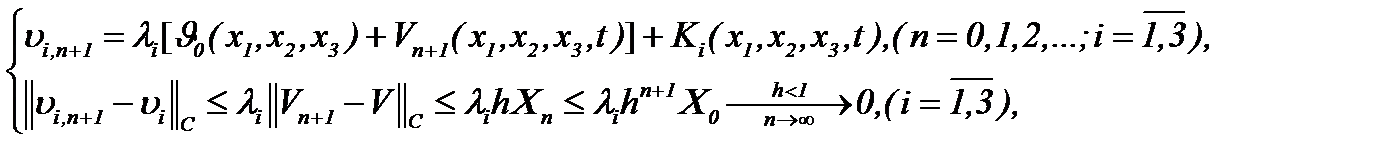
(5.12)
Поэтому на основе математических выводов метода Пикара последовательности функций
являются сходящимися и фундаментальными в
, при этом, то, что элементы построенных последовательностей принадлежат
доказывается на основе выражения (5.11). Значит, последовательности
сходятся к пределу
, т.е.
(5.13)
Тогда на основе правила (5.2), получим
(5.14)
а это означает, что последовательности
стремятся к пределу 
(5.15)
Теорема 6. Задача Навье-Стокса при условиях (1.2), (1.3), (5.1) и (5.15) имеет единственное непрерывное решение в
, которое определяется с помощью правила (5.2).
Замечания:
I . Единственность очевидна на основе метода от противного. Результаты (5.13) с условиями (5.1), (5.10), (5.11) получены, когда гладкость функций до требуемого порядка требуется только по
, так как производная первого порядка по времени определяется для всех
. Тогда с учетом (5.13) система (5.9) имеет единственное непрерывное решение, а потому уравнение (5.7) имеет единственное решение
Значит, на основе (5.2), (5.14) и (5.15) 
II . Алгоритм (5.2) также справедлив в случае, если
(5.16)
На основе (5.16) и (5.2) получим (5.4). Следовательно,

(5.17)
а поэтому имеет место
(5.18)
где выражение (5.17), как видно, отличается от (5.5), так как 
Тогда с учетом (5.18), (5.7) и (5.8), получаем систему (5.9)
(5.19)
Относительно трансформированной системы (5.19), требуя выполнения условий (5.10), (5.11), (5.13), как следствие (5.14), получим
(5.20)
Значит, получен результат, аналогичный результату теоремы 6, что и требовалось доказать.
