2.7 Определение расхода пара на турбину
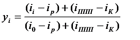
2.7.1 Коэффициенты недовыработки электроэнергии паром отборов
Для отборов до промежуточного перегрева
(2.2)
Для отборов после промежуточного перегрева
(2.3)
где y – коэффициент недовыработки электроэнергии паром отборов;
ii - энтальпия i-го отбора;
i0= ia- энтальпия свежего пара, ia=3294 кДж/кг;
ip= ic- энтальпия пара при входе в ППП, ic=2680 кДж/кг;
iППП = id- энтальпия пара после ППП, id=3800 кДж/кг;
ik= ie- энтальпия пара отработавшего в ЦНД, ie=2589 кДж/кг;
Находим значения коэффициентов недовыработки.




Для отборов после ППП





2.6.2 Расход свежего пара на ЦВД
(2.4)
где N=1000000 – электрическая мощность турбоагрегата, кВт;
hм – механический КПД турбины, hм = 0,995;
hг – КПД электрического генератора, hг =0,99
|
|
D0=722,618 кг/с=2599,2 т\час (см. приложение С)
По полученным данным выбираем за прототип турбину К-800-240D0=2450т/час
2.6.3 Расходы пара на отборы
Di=αi•D0; (2.5)
DI=23,84 кг/с,
DII=36,85 кг/с,
DIII=33,24 кг/с,
DIV=1,59 кг/с ,
DV=27,46 кг/с
DVI=10,1 кг/с,
DVII= 23,84 кг/с,
DVIII=18,77 кг/с
DIX=15,9 кг/с
DX=19,5 кг/с
Расход пара, полностью отработавшего в цилиндрах
Dе=αе•D0=(1- αI -αII -αIII- αIV -αV –αVI –αVII –αVIII –αIX )*D0=511,47 кг/с
Результаты расчета расхода пара на устройства тепловой схемы занесем в таблицу 8.
Таблица 8 - Расход пара на устройства тепловой схемы, кг/с
| Наименование расхода | Величина, кг/с | |
| Пар | ||
| Паропроизводительность ПГ | D=DТУ+DУТ =970,45 | |
| На турбоустановку DТУ | DТУ=D0+DУПЛ+DППП=963,25 | |
| На ЦВД | DЦВД =23,84 | |
| На ЦСД | DЦСД=D0(αI+αII+αIII+αIV)=95,56 | |
| На ППП | Dппп=αППП*D0=233,4 | |
| На ПВД 3 | DI= αI*D0=23,8 | |
| На ПВД 2 | DII= αII*D0=36,8 | |
| На ПВД 1 | DIII= αIII*D0=33,2 | |
| На Деаэратор | DIV=αIV*D0=1,59 | |
| На ЦНД | DЦНД= (αI +αII +αIII+ αIV +αV +αVI +αVII +αVIII +αIX+ αX) D0=210,97 | |
| На ПНД 5 | DV= αV*D0=27,5 | |
| Продолжение таблицы 8 | ||
| На ПНД 4 | DVI= αVI*D0=10,1 | |
| На ПНД 3 | DVII= αVII*D0=23,8 | |
| На бойлер | DVIII=18,77 | |
| На ПНД 2 | DVIII= αVIII*D0=15,9 | |
| На ПНД 1 | DIX= αIX*D0=19,5 | |
| На конденсатор турбины | De= αe*D0=511,47 | |
| На конденсатно-питательный тракт | ||
| Расход питательной воды | DПВ= D0=722,6 | |
| Расход добавочной воды,ут, упл | DДВ=DУТ=DУПЛ=0,01*D0=7,2 | |
| Расход на КН | DКН=αA*D0=(1,025-αI-αII-αIII-αIV- αV –αVI)*D0=543,1 | |
| Расход на эжекторы | DЭЖ=αЭЖ*D0=3,3 | |
| Расход на ДН | DДН=D0*( αVII+αVI+αV+αIV) =71,6 | |
2.7 Сравнение суммарной мощности потока пара с заданной
Для потоков пара до ППП
;(2.6)
Для потоков пара, проходящих через ППП
; (2.7)
где Ni – мощность i-го потока пара, проходящего через турбину, кВт;
Мощность потока пара, отработавшего в цилиндрах полностью;
; (2.8)
=0,995
=0,99
Находим значения Ni.
До ППП
N1=23,84*(3050-3049)*0,995*0,99=23,48 кВт
N2=36,85*(3050-2986)*0,995*0,99=2323,14кВт
N3=33,24*(3050-2893)*0,995*0,99=5140,66 кВт
N4= 1,59*(3050-2880)*0,995*0,99=271,67кВт
N5= 27,46*(3050-2760)*0,995*0,99=7844,34кВт
Через ППП
N6=10,1*((3430-2700)+(3540-3380))*0,995*0,99=8854,6 кВт
N7=23,84*((3430-2700) +( 3540-3290))*0,995*0,99=23013,9 кВт
N8=18,77*((3430-2700)+ ( 3540-3150))*0,995*0,99=20708,12 кВт
N9=15,9*((3430-2700)+ ( 3540-3085))*0,995*0,99=18559,82 кВт
N10= 19,5*((3430-2700)+ ( 3540-2910))*0,995*0,99=26123,53 кВт
Nе=511,47*((3430-2700)+ ( 3540-2600))*0,995*0,99=858468,814 кВт – мощность потока пара, отработавшего в цилиндрах полностью.
2.8 Полная мощность турбоагрегата
N*=∑N(2.9)
N* =971329,4 кВт;
где N* - полная мощность турбоагрегата (учитывая мощности, вырабатываемые конденсационным потоком пара, отборным паром).
; (2.10)
Δ=(1000000-971329,4)/1000000=2,86%
