5. Выбор гибких шин производится по длительно допустимому току (таблица 5).
Таблица 5–Условие выбора гибких шин
| Параметр шины | Условие выбора |
| Длительно допустимый ток | Iдоп > Iрасч |
Номинальные данные шин приведены в таблицах Б.7-Б.13
6.Условия выбора жестких шин ОРУ по существу нечем не отличается от условий выбора шин для ЗРУ. Добавляется лишь требование обязательной проверки выбранного сечения шин на корону. Выбор и расчет гибких шин производится так же, как и многопроволочных сталеалюминевых проводов такой же конструкции для линий высокого напряжения (таблица Б.14-Б.15).
Опорные изоляторы для шинных конструкций выбираются по номинальному напряжению, номинальному току (для проходных изоляторов) и по пропускной механической нагрузке, которая не должна быть больше 60% разрушающей нагрузки на изгиб (таблица 6).
Таблица 6– Условие выбора и поверки шин, кабелей и изоляторов
| Параметры шин, кабелей и изоляторов | Условие выбора |
| Длительно допустимый ток | Iдоп > Iрасч |
| Номинальный ток (для проходных изоляторов) | Iдоп > Iрасч |
| Допускаемое напряжение в материале(для шин) при коротких замыканиях |
|
| Максимально допускаемая температура при кратковременном нагреве |
|
| Допускаемая нагрузка на изолятор |
|
Номинальные данные для шин и изоляторов приведены в таблицах Б.7-Б.15
3.7 Расчет компенсирующих устройств
1. Передача по линиям больших значений реактивной мощности приводит к возрастанию потерь мощности в энергосистемах и снижению напряжения на приемной стороне линии электропередачи. Качество электрической энергии при этом может стать неприемлемым для использования.
Чтобы снизить потоки реактивной мощности по линиям вблизи узлов потребления и в ряде узлов энергосистемы устанавливают источники реактивной мощности. Источниками реактивной мощности могут служить синхронные компенсаторы, синхронные двигатели, тиристорные источники в сочетании с реактивными элементами (реакторами и конденсаторными батареями) и силовые конденсаторные установки.
2. Выбор типов устройств и их мощность производится по техническим и экономическим соображениям.
Наибольшее распространение получили БК, как наиболее дешевые компенсирующие устройства, удобные в эксплуатации. Требование экономичности при выборе КУ должно обеспечиваться минимумом приведенных затрат с одновременным учетом потерь мощности в сетях, затрат на установку КУ и потерь мощности в нем, а так же регулирующих устройств. Баланс реактивной мощности должен обеспечивать равенство генерируемой и потребляемой реактивной мощности при допустимых отклонениях напряжения в узлах.
3. Расчет компенсирующих устройств:
P ГПП = S ГПП · cos j(3.1)
Q ГПП = S ГПП · sin j(3.2)
P ГППН = S ГПП · cos j Н(3.3)
Q ГППН = S ГПП · sin j Н(3.4)
Q ку= Q ГПП - Q ГППН(3.5)
где Q ку–реактивная мощность, которую необходимо скомпенсировать.
4 Расчет заземляющих устройств
4.1 Общие положения
Заземлением называют преднамеренное гальваническое соединение металлических частей электроустановки с заземляющим устройством.
1. Различают следующие виды заземлений: защитное–выполняют с целью обеспечения электробезопасности при замыкании токоведущих частей на землю; рабочее предназначено для обеспечения нормальных режимов работы установки; молниезащитное–для защиты электрооборудования от перенапряжений и молниезащиты зданий и сооружений. В большинстве случаев одно и тоже заземление выполняет несколько функций, т.е. одновременно является защитным, рабочим и т.д.
Естественные заземлители–это различные конструкции и устройства, которые по своим свойствам могут одновременно выполнять функции заземлителей.
Под искусственными заземлителями понимают закладываемые в землю металлические электроды, специально предназначенные для устройства заземлений.
В настоящее время различают заземление грозозащиты, рабочее заземление и защитное заземление. В некоторых случаях один и тот же заземлитель выполняет несколько назначений одновременно.
2. Заземление молниеотводов, опор ВЛ, разрядников является необходимым условием эффективной грозозащиты электрических сетей. К рабочему заземлению относятся: заземление нейтралей силовых трансформаторов, дугогасящих аппаратов, генераторов, заземление фазы при использовании земли в качестве рабочего провода и др. Защитное заземление служит для обеспечения безопасности людей, обслуживающих электрическую установку, путем заземления металлических частей установки, например, генераторов, которые нормально имеют нулевой потенциал, но могут оказаться под напряжением при перекрытии или пробое изоляции.
3. Заземлитель характеризуется сопротивлением, которое окружающий грунт оказывает стекающему с него току. Для стекания с заземлителя относительно небольшого и медленно меняющегося во времени тока промышленной частоты заземлитель характеризуется стационарным сопротивлением (R). Сопротивление заземлителя при протекании импульсного тока связано с R соотношением:
Ri = a R (4.1)
где a –коэффициент импульса заземлителя.
Особенностями тока молнии являются его большая амплитуда и кратковременность, что сказывается на величине коэффициента импульса. При стекании с заземлителя тока плотностью d в грунте с удельным сопротивлением растеканию импульсного тока r и возникает электрической поле E и = d r и

Рисунок 4–Электрическое поле, возникающее в грунте при стекании с заземлителя тока:1–заземлитель;2–дуговая зона;3–искровая зона;4–зона полупроводниковой проводимости;5–зона постоянной проводимости
Установлено, что с ростом напряженности поля r и грунтов плавно уменьшается, что связано, по-видимому, с явлением нелинейной проводимости, свойственной всем полупроводникам, в том числе и грунтам. При дальнейшем возрастании d напряженность электрического поля вблизи заземлителя достигает пробивной напряженности грунта (Егр=10 -12кВ/см). Искрообразование приводит к резкому снижению падения напряжения в искровом разряде (рисунок 4) который, в свою очередь переходит в дуговую стадию.
4. Импульсный характер воздействия напряжения приводит к необходимости подразделять заземлители на сосредоточенные и протяженные. Заземлитель, имеющий относительно небольшую длину, у которого собственная индуктивность практически играет малую роль, называется сосредоточенным и его импульсный коэффициент всегда меньше единицы. В случае заметного проявления влияния индуктивности имеет место протяженный заземлитель, импульсный коэффициент которого может быть как меньше, так и больше единицы. Это зависит от преобладающего влияния индуктивности или искровых процессов.
Стационарное сопротивление заземлителя в однородном грунте может быть определено аналитически. Предполагая, что наиболее простой полушаровой заземлитель радиусом r0, в грунте с удельным сопротивлением r присоединен к баку трансформатора для защиты в случае перекрытия или пробоя изоляции имеем:
(4.2)
сопротивление элементарного слоя:

и потенциал электрического поля заземлителя равен:
(4.3)
.
Человек, касающийся бака во время протекания тока, оказывается под разностью потенциалов бака и земли в месте расположения ног человека, под так называемым напряжением прикосновения:
U пр = U 0 – U ч(4.4)
Человек, идущий к трансформатору, оказывается под шаговым напряжением U ш. Таким образом, для обеспечения безопасности обслуживающего персонала заземляющее устройство следует проектировать таким образом, чтобы напряжение на теле человека от напряжения прикосновения и шага в любых условиях не превосходили безопасных для человека величин. Достигнуть этого можно уменьшением сопротивления заземлителя, выравниванием распределения потенциала заземлителя по поверхности земли вблизи заземленных объектов, а также увеличением сопротивления растеканию тока со ступней человека в землю путем подсыпки гравия или использованием изолирующих бот и др.
5. Для заземлителей используются горизонтальные и вертикальные электроды, углубленные на 0,5–2м от поверхности земли. Для горизонтальных заземлителей применяется полосовая сталь шириной 2–4см и толщиной не менее 0,4см и круглая сталь не менее 0,6см. В качестве вертикальных, заземлителей применяются стальные трубы, угловая сталь и металлические стержни. На тех участках, где сопротивление верхних слоев почвы велико (сухой песок) и сказывается большое влияние сезонных изменений удельного сопротивления грунта целесообразно применение глубинных вертикальных заземлителей. Длинные вертикальные электроды обеспечивают более пологую кривую распределения потенциала по поверхности земли, они относятся к группе протяженных заземлителей.
6. Защитное заземление на станциях и подстанциях необходимо выполнять во всех случаях для всех установок переменного и постоянного тока напряжением 500В и выше. Для рабочих и защитных заземлений установок используется общий заземлитель.
Исследования показывают, что в ряде случаев безопасные напряжения на теле человека могут быть достигнуты при большем, чем 0,5Ом, значении сопротивления заземления и при меньшем расходе металла. Поэтому согласно ПУЭ расчет защитного заземления станций и подстанций в сетях с заземленной нейтралью, необходимо производить по условиям ограничения напряжения на теле человека до допустимой величины при потенциале на заземлителе не выше 10кВ.
Заземления на подстанциях выполняется в виде контура из горизонтальных полос, проложенных на глубине до 0,8 м вокруг территории подстанции, с рядом вертикальных труб или стержней длиной l=2,5-3м на расстоянии a > (2-3)l по периметру контура. Внутри контура в ячейках прокладываются параллельные полосы, к которым присоединяются заземляющие провода от корпусов аппаратов, разрядников, нейтралей трансформаторов, грозозащитных тросов отходящих линий, оболочек кабелей, железнодорожных рельсов, арматура железобетонных фундаментов. Кроме того, на подстанциях с большим током замыкания на землю для уменьшения напряжения шага и прикосновения на повышенной глубине прокладывают дополнительные полосы (козырьки) в местах выхода из подстанции и частого нахождения обслуживающего персонала.
7. Заземление молниеотводов ОРУ в большинстве случаев выполняется путем присоединения их к заземлителю подстанции. Существенного снижения потенциала на корпусах оборудования достигают путем удаления места присоединения к заземлителю корпусов оборудования от места присоединения к нему молниеотвода, например, путем использования для их присоединения разных магистралей. По данным исследований наибольшее снижение потенциала приходится на первые 15–20м от места ввода тока и тем более значительно, чем больше размер заземлителя и меньше удельное сопротивление грунта.
Согласно правилам устройства электроустановок заземление опор ВЛ определяется требованиями грозозащиты линий. Сопротивление заземлителя опор, измеренное при частоте 50Гц и отсоединенном тросе, в течение грозового сезона не должно превышать значений, приведенных в таблице 7.
Таблица 7–Сопротивление заземлителя опор
| Удельное сопротивление грунта, r Ом*м | До 100 | Более 100 и до 500 | Более 500 и до 1000 | Более 1000 |
| Сопротивление заземлителя R , Ом | £ 10 | £ 15 | £ 20 | £ 30 |
Для линий с металлическими и железобетонными опорами (r грунта £ 300 Ом.м) допустимые сопротивления заземлителя могут быть обеспечены использованием железобетонных подножников опор, которые являются естественными заземлителями. В противном случае необходимо дополнительное устройство искусственного заземлителя в первую очередь на дне котлована.
Для ВЛ на деревянных опорах с тросами или защитными разрядниками нормированная величина сопротивления заземления опор должна обеспечиваться искусственным заземлением. При очень высоких удельных сопротивлениях грунта целесообразно прокладывать от опор к опоре одного или двух непрерывных горизонтальных заземлителей, называемых противовесами.
8. Расчет заземляющих устройств сводится к расчету заземлителя, так как для проектирования заземляющего устройства различных ЭУ необходимо предварительно определить наибольший ток, стекающий с заземлителя, а также наибольший ток, на который должны быть рассчитаны проводники заземляющего устройства (ЗУ). Эти токи зависят от системы рабочего заземления сети.
В эффективно заземлённых сетях ток однофазного короткого замыкания в месте повреждения определяется из выражения:

где E –переходная ЭДС;
X 1 и X 0- результирующие индуктивные сопротивления прямой и нулевой последовательностей до места замыкания. Для выполнения расчетов предполагается, что схема заземлителя и его размеры заданы, известен тип электроустановки и ее назначение, задано тип грунта и его параметры (таблица 8; 9).
Таблица 8–Сопротивление заземлителя в зависимости от характера заземляемого объекта
| № | Характеристика заземляемого объекта | Сопротивление заземлителя, Ом |
| 1. | Установка с эффективно заземленной нейтралью | 0.5 |
| 2. | Установка с изолированной нейтралью до 1 кВ Установка с изолированной нейтралью выше 1 кВ |
|
| 3. | Отдельно стоящий молниеотвод | 25 |
| 4. | Опоры ВЛ r , Ом*м 100 100-500 500-1000 1000-5000 более 5000 | 10 15 20 30 6*10-3* r |
| 5. | Разрядники | 5 |
| 6. | Опоры металлические r до 100 Ом*м r более 100 Ом*м | 30 0.3* r |
| 7. | Опоры высотой более 40 м | 15 |
Таблица 9–Сопротивление грунтов
| № | Характеристика грунта | Сопротивление, Ом*м |
| 1. | Скальный грунт | 1000-45000 |
| 2. | Гравий, щебень | 1000-4000 |
| 3. | Песок | 400-700 |
| 4. | Супесь | 200-300 |
| 5. | Глина, суглинок | 100-200 |
| 6. | Чернозем | 50-200 |
| 7. | Болотистая почва | 20-100 |
| 8. | Вода речная, почвенные воды | 10-30 |
Во всех случаях напряжение на заземляющем устройстве не должно превышать 10 кВ при однофазном к.з. на заземляющую систему, т.е.

При этом напряжения шага и прикосновения не должно превышать значений, указанных в таблице 10.
Таблица 10– Допустимые напряжения шага и прикосновения
| Продолжит действия напряжения, в секундах | 0.1 | 0.2 | 0.5 | 0.7 | 1.0 | свыше1сек. до5 сек. |
| Допустимое напряжение, В | 500 | 400 | 200 | 130 | 100 | 65 |
Рассчитать заземление - это определить при заданном токе потенциалы в любых точках поверхности земли определенные границами ЭУ.
При заданном токе I(1)кз и при напряжении на ЗУ 10 кВ расчёт заключается в следующем:
(4.5)
где Rи–сопротивление искусственного заземляющего устройства;
Rе- сопротивление естественных заземлителей к которым относятся: трубопроводы, оболочки кабелей и их броня, железобетонные основания фундаментов, погруженные свайные конструкции опор и сооружений.
(4.6)
где h –коэффициент использования заземлителей приблизительно равный 0.8.
Сопротивление кабеля:
(4.7)
где l–длина в м;
t–глубина заложения в м;
r –удельное сопротивление грунта в Ом/м.
Сопротивление фундаментов:
(4.8)
где Dэкв–эквивалентный диаметр (вид сверху рисунок 4.1,б)
(4.9)
dэкв–эквивалентный диаметр
(4.10)
t- глубина заложения фундамента (рисунок 4.1а)

Рисунок 4.1–Расположение элемента фундамента: а) глубина заложения; б) вид сверху.
Сопротивление сваи или железобетонной стойки:
(4.11)
где l–глубина погружения в (м);
dэкв–эквивалентный диаметр (при прямоугольной форме стойки аналогично фундаменту).
Определение параметров стойки или сваи (рисунок 4.2):

Рисунок 4.2–Расположение стойки или сваи: а) глубина погружения; б) размеры стойки прямоугольного сечения.
В общем случае конструкция ЗУ представляет собой металлическую сетку, выполненную из горизонтальных полос, заложенную на глубину 0.5 - 0.8 м и вертикальных электродов длинной l(м) заложенных на глубину t (м) (рисунок 4.3).

Рисунок 4.3–Расположение заземляющей сетки и электродов
Сопротивление одной полосы:
(4.12)
Удельное сопротивление грунта на глубине заложения полосы
(4.13)
где К1–коэффициент, учитывающий просыхание и промерзание грунта на этой глубине.
Сопротивление всех продольных полос
(4.14)
где n–число продольных полос;
h –коэффициент использования.
Сопротивление всех поперечных полос:
(4.15)
Общее сопротивление всей сетки:
(4.16)
Суммарное сопротивление заземления:
(4.17)
Напряжение на заземляющем устройстве не должно превышать 10 кВ.
(4.18)
(4.19)

5 Молниезащита
5.1 Общие положения
1. Наиболее опасным проявлением молнии с точки зрения поражения зданий и сооружений является прямой удар.
Производственные, жилые и общественные здания и сооружения в зависимости от их назначения, а так же интенсивности грозовой деятельности в районах их местонахождения выделены в категории по степени устройств молниезащиты.
2. Здания и сооружения, отнесенные по устройству молниезащиты к I и II категориям, должны быть защищены от прямых ударов молнии, вторичных ее проявлений и заноса высокого потенциала через наземные (надземные) и подземные металлические коммуникации.
Здания и сооружения, отнесенные по устройству молниезащиты к III категории, должны быть защищены от прямых ударов молнии и заноса высокого потенциала через наземные (надземные) металлические коммуникации.
Наружные установки, отнесенные по устройству молниезащиты ко II категории, должны быть защищены от прямых ударов и вторичных проявлений молний.
Наружные установки, отнесенные по устройству молниезащиты к III категории, должны быть защищены от прямых ударов молнии.
Внутри зданий большой площади (шириной более 100 метров) не обходимо выполнять мероприятия по выравниванию потенциалов.
3. Для зданий и сооружений с помещениями, требующими устройства молниезащиты I и II или I и III категорий, молниезащиту всего здания или сооружения следует выполнять по I категории.
Если площадь помещений I категории молниезащиты составляет менее 30% площади всех помещений здания (на всех этажах), молниезащиту всего здания допускается выполнять по II категории независимо от категории остальных помещений. При этом на вводе в помещение I категории должна быть предусмотрена защита от заноса высокого потенциала по подземным и наземным (надземным) коммуникациям.
5.2 Расчет устройств молниезащиты
1. По карте определяют среднюю за год продолжительность гроз в часах и по таблице 11 удельную плотность ударов молнии в землю n, 1/(км2*год).
Таблица 11–Удельная плотность ударов молнии в землю
| Среднегодовая продолжительность гроз, ч | Удельную плотность ударов молнии в землю n, 1/(км2*год) |
| 10-20 | 1 |
| 20-40 | 2 |
| 40-60 | 4 |
| 60-80 | 5.5 |
| 80–100 | 7 |
| 100 и более | 8.5 |
Молниеотводы как средство защиты от прямых ударов молнии начали применять с 1794 г., когда Франклин предложил защищать строения "громоотводами" металлическими стержнями. Ломоносов впервые правильно указал, что молниеотвод предотвращает поражение объектов, принимая на себя разряд молнии.
Молниеотвод состоит из молниеприемника, возвышающегося над защищаемым объектом, заземлителя и токоотвода, соединяющего молниеприемник с заземлителем. Различают два типа молниеотводов - стержневые и тросовые. Тросовый молниеотвод располагается в виде горизонтально подвешенных тросов, стержневые в виде вертикально установленных мачт, соединенных с заземлителем.
Защитное действие молниеотводов проявляется в лидерной стадии развития разряда. Но на некоторой высоте Н над поверхностью земли (высоте ориентировки молнии), начинает сказываться искажение электрического поля земными сооружениями, что влияет на вероятностную траекторию разряда. Вероятность разряда в более низкие, чем молниеотвод объекты резко снижается. Пространство, защищенное от прямых ударов молнии, называется защитной зоной молниеотвода. Эта зона определяется на моделях, в которых канал молнии, имитируется стержнем, расположенным на высоте ориентировки молнии Н и на который подается импульс напряжения ГИН. Стержень располагается в местах, откуда вероятность поражения молнией объекта наибольшая.

Рисунок 5–Зона защиты стержневого молниеотвода
2. Зона защиты одиночного стержневого молниеотвода (рисунок 5) представляет собой круговой конус с вершиной на высоте h 0 < h, сечение которого на высоте hx имеет радиус rx граница зоны защиты находятся по формулам:
Зона А: h 0 =0,85 h;
r 0 =(1,1–0,002 h ) h;(5.1)
rx =(1,1–0,002 h )( h – ).
Вероятность прорыва молнии через границу зоны не превышает 0,005.
Зона Б: h 0 =0,92 h;
r 0 =1,5 h;(5.2)
rx =1,5( h – ).
Вероятность прорыва молнии через границу зоны не превышает 0,05.

Рисунок 5.1–Зона защиты двух стержневых молниеотводов
h =(5.3)
3. Для двойного стержневого молниеотвода:
Зона А: Рпр=0,005;
hmin = h 0 при l = h;
hmin=h0-(0,17+3*10-4h)(l–h) при l > h;(5.4)
dx=rx при l=h;
dx=r0(hmin–hx)/hmin при l > h.
Зона Б: Рпр=0,05;
hmin = h 0 при l =1,5 h;
hmin=h0–0,14(l–1,5h) при l=1,5h; (5.5)
dx=rx при l=1,5h;
dx=r0(hmin–hx)/hmin при l > 1,5h.
где r 0–зона защиты одиночного молниеотвода на уровне земли (hx=0).
Если l > 3 h для Рпр=0,005 или l > 5 h для Рпр=0,05 молниеотводы следует рассматривать как одиночные.
4. Для тросовых:
Зона А: Рпр=0,005;
h 0 =0,85 h;(5.6)
rx =(1,35–0,0025 h )( h – ).
Зона Б: Рпр=0,05;
h 0 =0,95 h;(5.7)
rx =1,7( h –).
Для двух тросовых молниеотводов на расстоянии l друг от друга:
hmin = h 0 при l < h;
hmin = h 0 –(0,14+5*10-4 h )( l – h ) при l = h.(5.8)
5. ОРУ подстанций располагается на значительной территории и защищаются несколькими молниеотводами. При этом внешняя часть зоны защиты определяется так же, как и зона защиты двух молниеотводов (рисунок 5.1). Для защиты объекта высотой hx внутри треyгольника или прямоугольника, в вершинах которых установлены молниеотводы, диаметр окружности, проходящей через вершину треугольника, или диагональ прямоугольника должны удовлетворять условию:
D £ 8р( h - hx )=8 pha(5.9)
При произвольном расположении молниеотводов условие (5.9) проверяется для каждых трех ближайших друг к другу молниеотводов в отдельности. При этом высота hx всегда должна быть меньше высоты h0, определенной для каждой отдельно взятой пары молниеотводов.
|
|
Рисунок 5.2–Зона защиты и условия защиты при трех и четырех молниеотводах
5.3 Особенности молниезащиты высоких объектов
Защищать весьма высокие объекты с помощью еще более высоких отдельно стоящих молниеотводов нецелесообразно ни с технической, ни с экономической точки зрения, тем более, что эффективность молниеотводов снижается с увеличением их высоты.
1. Защита высоких объектов осуществляется с помощью молниеприемников, устанавливаемых на самом объекте. Поскольку высокие объекты, как правило, имеют металлический или железобетонный каркас, то он используется в качестве токоотвода. Для этого предусматривается надежное соединение, во время строительства, стальной арматуры железобетонных деталей каркаса.
Объекты высотой 100 м и более достаточно часто поражаются молнией. Например, Останкинская телевизионная башня (высота 537 м), поражается в среднем 30 раз в грозовой сезон. При этом поражениям подвергаются не только вершина, но и боковые выступающие части. Для предотвращения разрушений в местах возможного поражения молнией устанавливаются молниеприемники, соединяемые с каркасом сооружения. В качестве таких молниеприемников используются как конструктивные элементы сооружения, так и специальные металлические проводники.
К каркасу объекта, являющемуся токоотводом, с целью выравнивания потенциалов по горизонтальным уровням (через каждые 10 - 15 м по высоте) присоединяются трубопроводы, протяженные металлические элементы (например, каркасы лифтов), а также металлические экраны электропроводки и оболочки кабелей.
Каркас объекта через каждые 20 - 30 м пo его периметру присоединяется к заземляющему контуру.
2. Для защиты электрооборудования:
-все сети низкого напряжения как внутри, так и снаружи объекта прокладываются в стальных трубах;
-корпуса всей электроаппаратуры, а также нейтрали трансформаторов присоединяются к каркасу ;
-оболочки входящих в объект кабелей присоединяются в месте входа к каркасу или к заземляющему контуру.
Выполнение всех этих мероприятий позволяет обеспечить безопасность людей, предохранить от разрушения внешние непроводящие элементы объекта и обеспечить безаварийную работу электрооборудования.
Таблица 12–Замена разрядников на ОПН
| Разрядник | Ограничитель перенапряжений |
| РВП-3 (IV группа) | ОПНп-3/550/3,6-10-III-УХЛ1(2) |
| РВО-3 (IV группа) | ОПНп-3/550/3,6-10-III-УХЛ1(2) |
| РВМ-3 (II группа) | 2х ОПНп-3/550/3,6-10-III-УХЛ1(2) |
| РВРД-3 (I группа) | 3х ОПНп-3/550/3,6-10-III-УХЛ1(2) |
| РВП-6 (IV группа) | ОПНп-6/550/7,2-10-III-УХЛ1(2) |
| РВО-6 (IV группа) | ОПНп-6/550/7,2-10-III-УХЛ1(2) |
| ВМ-6 (II группа) | ОПНп-6/550/6,0-10-III-УХЛ1(2) |
| РВРД-6 (I группа) | 2x ОПНп-6/550/6,0-10-III-УХЛ1(2) |
| РВП-10 (IV группа) | ОПНп-10/550/12,7-10-III-УХЛ1(2) |
| РВО-10 (IV группа) | ОПНп-10/550/12-10-III-УХЛ1(2) |
| РВМ-10 (II группа) | ОПНп-10/550/10,5-10-III-УХЛ1(2) |
| РВРД-10 (I группа) | 2хОПНп-10/550/10,5-10-III-УХЛ1(2) |
| РВС-15 (III группа) | ОПНп-15/550/17,5-10-III-УХЛ1 |
| РВМ-15 (II группа) | ОПНп-15/550/17,5-10-III-УХЛ1 |
| РВС-20 (III группа) | ОПНп-20/550/24-10-III-УХЛ1 |
| РВМ-20 (II группа) | ОПНп-20/550/24-10-III-УХЛ1 |
| РВС-35 (III группа) | ОПНп-35/550/40,5-10-III-УХЛ1 |
| РВМ-35 (II группа) | ОПНп-35/550/37-10-III-УХЛ1 |
| РВС-110 (III группа) | ОПНп-110/550/88-10-III-УХЛ1 |
| ОПНп-110/550/100-10-III-УХЛ1 | |
| ОПНп-110/800/88-10-III-УХЛ1 | |
| ОПНп-110/800/100-10-III-УХЛ1 | |
| РВМГ-110 (II группа) | ОПНп-110/550/88-10-III-УХЛ1 |
| ОПНп-110/800/88-10-III-УХЛ1 | |
| РВС-150 (II группа) | ОПНп-150/420/120-10-III-УХЛ1 |
| ОПНп-150/550/120-10-III-УХЛ1 | |
| ОПНп-150/800/120-10-III-УХЛ1 | |
| РВМГ-150 (II группа) | ОПНп-150/550/110-10-III-УХЛ1 |
| ОПНп-150/800/110-10-III-УХЛ1 | |
| РВС-220 (III группа) | ОПНп-220/800/176-10-III-УХЛ1 |
| РВМГ-220 (II группа) | ОПНп-220/800/152-10-III-УХЛ1 |
| РВМГ-330 (II группа) | ОПНп-330/800/210-10-III-УХЛ1 |
Продолжение таблицы 12
| Разрядник | Ограничитель перенапряжений |
| ОПНп-330/800/220-10-III-УХЛ1 | |
| ОПНп-330/800/230-10-III-УХЛ1 | |
| ОПНп-330/1200/210-10-II-УХЛ1 | |
| ОПНп-330/1200/220-10-II-УХЛ1 | |
| ОПНп-330/1200/230-10-II-УХЛ1 | |
| РВМК-330 П | ОПНп-330/800/210-10-III-УХЛ1 |
| ОПНп-330/800/220-10-III-УХЛ1 | |
| ОПНп-330/800/230-10-III-УХЛ1 | |
| ОПНп-330/1200/210-10-II-УХЛ1 | |
| ОПНп-330/1200/220-10-II-УХЛ1 | |
| ОПНп-330/1200/230-10-II-УХЛ1 | |
| РВМГ-500 (II группа) | ОПНп-500/1200/303-20-II-УХЛ1 |
| ОПНп-500/1200/318-20-II-УХЛ1 | |
| ОПНп-500/1200/333-20-II-УХЛ1 | |
| ОПНп-500/1500/303-20-II-УХЛ1 | |
| ОПНп-500/1500/318-20-II-УХЛ1 | |
| ОПНп-500/1500/333-20-II-УХЛ1 | |
| ОПНп-500/2100/303-20-II-УХЛ1 | |
| ОПНп-500/2100/318-20-II-УХЛ1 | |
| ОПНп-500/2100/333-20-II-УХЛ1 | |
| РВМК-500 П | ОПНп-500/1200/303-20-II-УХЛ1 |
| ОПНп-500/1200/318-20-II-УХЛ1 | |
| ОПНп-500/1200/333-20-II-УХЛ1 | |
| ОПНп-500/1500/303-20-II-УХЛ1 | |
| ОПНп-500/1500/318-20-II-УХЛ1 | |
| ОПНп-500/1500/333-20-II-УХЛ1 | |
| ОПНп-500/2100/303-20-II-УХЛ1 | |
| ОПНп-500/2100/318-20-II-УХЛ1 | |
| ОПНп-500/2100/333-20-II-УХЛ1 | |
| РВМК-750 П | ОПНп-750/2100/455-20-II-УХЛ1 |
| ОПНп-750/2100/465-20-II-УХЛ1 | |
| ОПНп-750/2100/475-20-II-УХЛ1 | |
| РВМ-750 | ОПНп-750/2100/455-20-II-УХЛ1 |
| ОПНп-750/2100/465-20-II-УХЛ1 | |
| ОПНп-750/2100/475-20-II-УХЛ1 |
Таблица 13 – Определение замены вентильных разрядников на ОПН, необходимых при организации защиты нейтрали силовых трансформаторов 3-220 кВ
| Uном, кВ | Вентильный разрядник | Ограничители перенапряжений |
| 3 | РВМ-3 | ОПНп-3/550/3,6-10-III-УХЛ1 |
| 6 | РВМ-6 | ОПНп-6/550/6,0-10-III-УХЛ1 |
| 10 | РВМ-10 | ОПНп-10/550/10,5-10-III-УХЛ1 |
| 15 | РВМ-15 | ОПНп-15/550/17,5-10-III-УХЛ1 |
| 20 | РВМ-20 | ОПНп-20/550/24-10-III-УХЛ1 |
| 35 | РВМ-35 | ОПНп-35/550/37-10-III-УХЛ1 |
| 110 | 2хРВС-20; РВС-35+РВС-15,РВС-60 | ОПНп-110/550/56-10-III-УХЛ1 |
| 150 | РВС-110 | ОПНп-150/550/100-10-III-УХЛ1 |
| 220 | РВС-150 | ОПНп-220/550/120-10-III-УХЛ1 |
Приложение А
Пример расчета
Таблица А.1–Исходные данные
| S 1 , МВА | S 2 , МВА | L 1 , КМ | L 2 , КМ | L 3 , КМ | S Н1 , кВА | S Н2 , кВА | U 1 , кВ | U 2 , кВ | cosφ | P нз, Квт | Число отходящих ЛЭП | Категория потребите-лей % | ||
| I | II | III | ||||||||||||
| 2800 | 2200 | 20 | 24 | 2,9 | 14000 | 17000 | 110 | 10 | 0,82 | 800 | 40 | 0 | 40 | 60 |

Рисунок A.1–Схем участка электрической сети

Рисунок A.2–Суточные графики нагрузок для зимнего максимума и летнего минимума
Определяется присоединённой мощности S Н3.
Двигатель, асинхронный мощностью 800 КВт типа ВАО2 560LB-4,
U-10 кВ, КПД
=94, cos
=0,94

Определяется ток нагрузки
(двигателя): 
Определяется суммарная мощность на шинах ГПП:
+
+
МВА
Определяется ориентировочная мощность силового трансформатора:

Экономически целесообразный интервал для технико-экономических расчетов лежит между стандартными мощностями 10МВА и 16МВА.
Производится масштабирование зи
мнего и летнего графиков нагрузки
Принимаем Smax зима=77мм, тогда по ступеням зимнего графика
Smax зим =77мм Smax лет =70,5мм
S1 З =31905 S3 Л =29211
S2 З =30661 S4 Л =27968
S5 З =27761 S7 Л =24446
S6 З =25068 S9 Л =22167
S8 З =22996 S10 Л =21131
S11 З =15745 S12 Л =14087
S13 З =7458 S15 Л =6215
S14 З =6630 S17 Л =4972
S15 З =6215 S18 Л =4765
S16 З=5593 S19 Л =3729

Рисунок А.3–График электрических нагрузок в выбранном масштабе
Для построения годового графика нагрузок по продолжительности составляется расчётная таблица(рисунок А.4).

Рисунок А.4–Пример расчетной таблицы

Рисунок А.5–Годовой график электрических нагрузок по продолжительности
Определяется число часов использования максимальной нагрузки
=
.
Определяется время максимальных потерь.
Время максимальных потерь определяется из графика зависимости


Определяется коэффициент 
где СЭ=1,45·10-2 руб./(кВт·час).
Стоимость 1 кВт/ч потерь электрической энергии
В соответствии с номограммами при
мощность силового трансформатора принимается равной 16000кВА типа ТДН-16000/110/10,5.
При выводе одного трансформатора в ремонт или при его аварийном отключении второй оставшийся в работе трансформатор дожжен обеспечить электроснабжение потребителей 1й и 2й с допустимой перегрузкой, в соответствии с ГОСТ 14209-85.
Для этого необходимо определить перегрузочную способность выбранного трансформатора. С этой целью график зимнего максимума преобразуется в эквивалентный прямоугольный двухступенчатый.
Определяются: коэффициент начальной нагрузки К1, коэффициент аварийной нагрузки К2, продолжительность перегрузки h ч.

Рисунок А.6–Суточный эквивалентный прямоугольный график нагрузок для зимнего максимума
Определяется коэффициент начальной нагрузки К1.
=
=0,557.
Для участка перегрузки, над линией номинальной мощности рассчитывается предварительный коэффициент аварийной перегрузки
.
=1,856;
Определяется коэффициент максимальной перегрузки исходного графика
К max =
=1,994.
Сравнивается значения полученных коэффициентов К max и
.
Так как
=1,795 то К max =
, h =13 часов.
Таким образом, для эквивалентного прямоугольного двухступенчатого графика итоговые значения: К1=0,557; К2=1,856; h=13 часов.
В соответствии с ГОСТ 14209-85 допустимый коэффициент перегрузки
К2доп=1,4 при h=13 часов
Проверка возможности обеспечения электроснабжения одним трансформатором всей нагрузки в случае выхода из строя другого трансформатора:
Sтр·Кп=16000·1.4=22400<31905
Трансформатор мощностью 16000кВА не обеспечивает всю нагрузку ГПП. В этом случае разрешается на время аварийных перегрузок отключать часть потребителей III категории.
Определяется, какое количество, в процентном отношении, потребителей III категории необходимо отключить на время перегрузки.
31905-22400=9505; 
По заданию потребителей III категории 60%, а потребителей II категории 40%. Трансформатор ТДН-16000 в послеаварийном режиме нормально обеспечит электроснабжение 40% потребителей II категории и 30% потребителей III категории.
К исполнению принимается трансформатор типа ТДН-16000/110/10,5 кВ.
Расчёт токов короткого замыкания для заданного участка сети.

Рисунок А.7–Эквивалентная схема замещения участка сети для расчёта токов короткого замыкания.
Рассчитываются сопротивления систем S 1 и S 2
U рас =1,05·110=115кВ
;
;
Расчет сопротивлений линий электропередачи 110 кВ.
Сопротивление линий: 
ХЛ2
где ХУД –удельное сопротивление Ом/км=0,4.
Рассчитывается ток короткого замыкания в точке К1 от первой системы.
=
;
Рассчитывается ток короткого замыкания в точке К1 от второй системы.
=
;
Определяется суммарный ток короткого замыкания в точке К1.
+
.
Рассчитывается результирующее сопротивление в точке К1.

Рассчитывается сопротивление трансформатора, приведенное к напряжению 110 кВ. Для трансформатора ТДН-16000-110/10,5 UK%=10,5/
.
Рассчитывается результирующее сопротивление в точке К2 приведенное к напряжению 110кВ,
Рассчитывается сопротивление в точке К2 приведенное к напряжению
10кВ.
=89
=0,74 Ом.
Рассчитывается ток короткого замыкания в точке К2 приведенному к напряжению 10кВ:
Рассчитывается ток короткого замыкания в точке К3.
Выбирается типа и сечение кабеля питающего электрический двигатель 10 кВ с присоединённой мощностью S 3=905кВА.
Определяется номинальный ток нагрузки кабеля:
.
Рассчитывается
по формуле:

где ЕН=0,15–нормированный коэффициент, учитывающий эффективность капиталовложений (для вновь вводимых объектов),
–суммарные амортизационные отчисления:

Для прокладки в земляной траншее выбирается кабель типа ААБ (алюминиевая жила, изоляция из маслопропитанной бумаги, алюминиевая оболочка, броня из стальной ленты, наружный покров из кабельной пряжи пропитанной гудроном).
При рассчитанной
по номограмме определяется сечение кабеля F=70 мм2, ААБ 10 кВ (3х70).
Определяется активное сопротивление кабеля при заданной длине L 3 =2900 м.
=
=1,16 Ом
Р Al–удельное активное сопротивление алюминия,
L–длина кабеля в метрах,
S–сечение жилы кабеля в мм2.
Определяется индуктивное сопротивление кабеля. Для данного кабеля ХУД=0,086 (Ом/км),тогда:
Ом.
Определяется полное сопротивление кабеля:
=
.
Результирующее сопротивление в точке К3:
=1,51Ом.
Рассчитывается ток короткого замыкания в точке К3:
Определяются ударные токи в расчетных точках:
Ударный ток определяется по формуле:
; где
=1,8–ударный коэффициент.
·
=
·1,8·9,49=24,1кА,
·
=
·1,8·8,2=21кА,
·
=
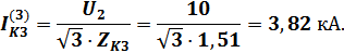
·1,8·3,82=9,7кА.
Выбор оборудования ГПП на стороне 110кВ.
Выбор выключателей
Принимается к исполнению высоковольтный выключатель типа ВЭКТ-110-40/630 УХЛ1 (В-выключатель, Э-элегазовый, КТ-колонкового типа; 110 кВ– номинальное напряжение, 40 номинальный ток отключения в кА, 630-номинальный рабочий ток, А, УХЛ– для работы в районах с умеренным и холодным климатом; 1– для работы на открытом воздухе.
Достоинством этих выключателей являются: высокие механические, термические и сейсмические свойства.
Проверка выключателя
•по номинальному напряжению: U В=126 кВ>U сети=110 кВ;
•по номинальному току: ток трансформатора на стороне высшего напряжения
,
тогда
, 630 А>117,6 А;
•по термической стойкости к току КЗ:
,
где
-время действия короткого замыкания
=0,55 с.
4,0·109 А2·с>9,49·0,55·106 А2·с.
•по динамической стойкости к ударному току:
I ДИН = 60 кА> 
Параметры выключателя ВЭКТ-110-40/630 УХЛ1 удовлетворяют всем техническим требованиям условия эксплуатации.
Выбор разъединителей
К исполнению принимается разъединитель типа РНДЗ.2-110/1000 ХЛ 1.
(Р–разъединитель, Н–наружной установки, Д–двухколонковый, З.2–с двумя заземляющими ножами, 110 кВ–номинальное напряжение, 1000–номинальный ток, А, ХЛ–для работы в районах с холодным климатом, 1–для работы на открытом воздухе.
Проверка аналогична проверке выключателя:
•по номинальному напряжению: U В=126 кВ>U сети=110 кВ;
•по номинальному току: ток трансформатора на стороне высшего напряжения
,
тогда
, 1000А>117,6А;
•по термической стойкости к току КЗ:
,
где
время действия короткого замыкания
=0,55 с.
315002·109 А2с>9,492·0,55·106А2с.
•по динамической стойкости к ударному току КЗ:
.
Привод для разъединителя принимается типа ПРН–110ХЛ1.
Разъединитель удовлетворяет всем техническим требованиям.
Выбор ограничителей перенапряжения
Для защиты изоляции оборудования от атмосферных и внутренних перенапряжений применяются ограничители перенапряжения типа ОПНп.
К исполнению принимается ОПНп–110/55/88.
U опн –110кВ= U сети –110кВ.
В нейтраль трансформатора устанавливается:
ОПНп–40/550/24–10–III-УХЛ1.
Выбор гибких шин для ОРУ–110 кВ.
В ОРУ 110 кВ выбираются гибкие щины из провода марки АС (сталеалюминевый) и должен быть проверен по следующим условиям:
•по экономической плотности тока S
; где S ЭК–экономическое сечение проводника, мм2, при котором обеспечивается минимум суммарных эксплуатационных расходов в связи с уменьшением потерь электрической энергии в проводе, I раб–ток нормального режима, А;
J эк =1,3А/мм2– значение экономической плотности тока определяется из таблицы А.2.
Таблица А.2–Экономическая плотность тока
| Проводники | Экономическая плотность тока, А/мм2, при числе часов использования максимума нагрузки в год | ||
| более 1000 до 3000 | более 3000 до 5000 | более 5000 | |
| Неизолированные провода и шины: | |||
| Медные | 2,5 | 2,1 | 1,8 |
| Алюминиевые | 1,3 | 1,1 | 1,0 |
| Кабели с бумажной и провода с резиновой и поливинилхлоридной изоляцией с жилами: | |||
| Медными | 3,0 | 2,5 | 2,0 |
| Алюминиевыми | 1,6 | 1,4 | 1,2 |
| Кабели с резиновой и пластмассовой изоляцией с жилами: | |||
| Медными | 3,5 | 3,1 | 2,7 |
| Алюминиевыми | 1,9 | 1,7 | 1,6 |
; принимается провод марки АС-70/11.
Проверяется сечение провода на нагрев по допустимому току:

Проверяется сечение провода по условиям короны в соответствии с таблицей А.3.
Таблица А.3–Минимальные сечения и диаметры проводников по условиям короны
|
Провод АС-70/11 проходит по условиям короны. Выбор трансформаторов ток.
Для силового трансформатора выбираются трансформаторы тока встроенные бушлинги высоковольтных вводов, типа ТВТ–110-III-300/5
(Т–трансформатор тока, В–встроенный, Т–для силовых трансформаторов, 110–номинальное напряжение ввода трансформатора кВ, 300–номинальный первичный ток основного ввода, 5–номинальный вторичный ток, А). Первичный ток по ответвлениям 100-150-200-300 А. Номинальная предельная кратность по ТКЗ n к–20, номинальная предельная кратность по термической стойкости n ТЕРМ=25 при действии тока КЗ 3 секунды.
Односекундный ток термической стойкости I тер вык =17,5> 
Ток электродинамической стойкости
52 кА> 
К исполнению принимается трансформатор тока типа ТВТ-110-III-300/5,
т. к. его технические параметры соответствуют условиям эксплуатации в нормальных и аварийных режимах.

