II . Переходные процессы в электрических цепях.
1.
Основные понятия и принципы анализа переходных процессов.

Такие токи устанавливаются лишь через некоторое время после вкл цепи или после изменения параметров. Могут существовать все время пока к ней приложено напряжение, и параметры остаются неизменными. 
Эти токи называются установившимися токами, а соответственно напряжение на отдельных участках установившимися напряжениями.
К каждому установившемуся режиму электрической цепи соответствует строго определенные энергетические состояния

рассеивает
накапливает напряжение


Любое изменение состояния электрической цепи (вкл, отк, изменение параметров и т. д.) называют коммутацией.
Будем считать, что процесс коммутации осуществляется мгновенно. Энергетическое состояние не может изменяться мгновенно.

Если предположить, что ток в цепи изменяется мгновенно от
к
, то это будет означать, что в индуктивности в этот момент времени индуцируется ЭДС самоиндукции
ток не может изменяться скачкообразно.
Любая ЭДС самоиндукция препятствует изменению тока цепи, поэтому предположение о мгновенном изменении токов цепи не верно!
Законы коммутации:
· Ток в цепи с индуктивностью не может изменяться скачком;
· Напряжение на зажимах конденсатора или другого емкостного элемента не может измениться скачком.
Индуктивные и емкостные элементы являются инерционными. Вследствие чего, для изменения энергет. состояния электрической цепи требуется некоторый промежуток времени в течении которого происходит переходный процесс. Длительность переходного процесса зависит от параметров цепи.
Как и любой динамический процесс, переходный процесс в электрических цепях описывают дифференциальными уравнениями. Режим линейных электрических цепей с постоянными параметрами R, L, C описываются линейными дифференциальными уравнениями с постоянными коэффициентами.
Пример:


Полное решение неоднородного дифференциального линейного уравнения находится в виде:

где
частное решение неоднородного дифференциального уравнения;
общее решение неоднородного дифференциального уравнения.
Ток
поддерживается в цепи напряжением источника питания и является установившемся током (принужденное составляющее). Ток
называется свободным током (свободное составляющее), т. к. его определяют в свободном режиме цепи.
6. Переходные процессы в rLC цепи(последовательном контуре).



Подставляя значение тока в исходное уравнение после дифференцирования получаем для Uс дифференциальное уравнение 2-го порядка:

Заряд на конденсаторе удовлетворяет такому же диф. уравнению:

Дифференцируя это уравнение по времени, получаем аналогичное уравнение для тока:
,
, 
Характер свободного процесса зависит только от параметров rLC цепи, т.е. от вида корней харктерестического уравнения.
Характер свободного процесса зависит от знака подкоренного выражения.
2. Переходные процессы в цепи с последовательным соединением элементов с R и L при подключении ее к источнику постоянного напряжения.
В начальный момент времени тока в цепи нет и энергия магнитного поля катушки равна 0: 
После подключения к источнику постоянного напряжения в установившемся режиме существует ток 

Следовательно, в то время когда происходит изменение энергии магнитного поля катушки, в цепи имеет место переходной процесс и существует переменный ток
как некоторая функция времени
, 
частное решение;
общее решение. 
Решаем однородное дифференциальное уравнение
,
, 
, 
Постоянную интегрирования
определяем с учетом первого закона коммутации. 
, 
где
имеет размерность времени. Ее называют постоянной времени цепи. Характеризует скорость протекания переменного процесса. Чем больше
, тем дольше существует ток
и тем длительнее переходный процесс.
Свободный ток
в момент времени t=0 равен по значению установившемуся току I, но противоположен по направлению. С течением времени этот ток уменьшается до 0. Общий ток цепи изменяется по экспоненциальному закону. При
.
Постоянная времени равна такому промежутку времени, в течении которого свободный ток уменьшается в
раз.
Как правило, уже при
ток в цепи отличается от установившегося тока менее чем на 1%, поэтому его можно считать установившемся.
Падение напряжения на резисторе изменяется по такому же закону что и ток

Падение напряжения на индуктивной катушке:

Напряжение убывает с течением времени от значения напряжения источника питания до 0.
7. Общий случай расчета переходных процессов классическим методом.
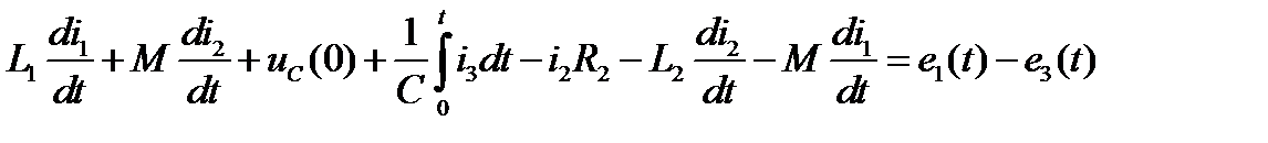
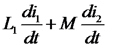
1) Для цепи после коммутации составляют систему ДУ по 1 и 2 закону Кирхгоффа: 
1 контур: 
2 контур: 


После подстановки Uc в исходную систему уравнений, и диф-ии, получим ситему уравнений для трех неизвестных токов:

2) Независимые начальные условия: ток на индуктивном элементе iL(0+) после коммутации и Uc(0+) неизвестны. Они определяются из расчета режима цепи до коммутации с применением закона коммутации:
1 закон: iL(0-)=iL(0+) 2 закон: Uс(0-)=Uc(0+)
Uc(0-)=E iL(0-)=I’=0 Начальные условия будут: Uc(0+)=E и iL(0+)=0
3)Запишем искомую величину в виде двух составляющих: своб-я и принуждения: 
4) Установившемуся состоянию найдем, рассчитав режим цепи, постоянную тока после коммутации:
5) Составим характерестичесое уравнение и найдем его корни. Они могут быть действительные, разные, равные или комплексные сопряженные.

6) Запишем свободную составляющую и пост. интегрирования, обращая внимание на вид корней.
, 
, 
7) Искомое решение с двумя пост. Интегрирования: 
8) Для определения двух постоянных интегрирования запишем полученные решения:
, 
Начальное значение тока определим из системы дифференциальных уравнений:
,
, 
В этой системе уравнений величины i(0) и Uc(0) были найдены. Следовательно остальные три величины i1(0), i2(0) и di/dt (при t=0) можно определить.
9) После определения постоянных А1 и А2, остается подставить их в искомое решение. Для определения других токов и напряжений не требуется заново выполнять все этапы расчета.
,
8. Основные положения операторного метода расчета переходных процессов в электрических цепях.
Операторный метод - основан на использовании понятия об изображении функции времени.
В этом методе каждой функции времени соответствует функция новой переменной (Р), и наоборот функции Р отвечает определенная функция времени.
Основан на преобразовании Лапласса: 
Операторный метод позволяет свести операцию дифференцирования к умножению, операцию интегрирования к делению, что облегчает интегрирование дифференциальных уравнений.
9. Изображение напряжения на индуктивности.
,
,
,
, 
При i(0)=0: 
10. Изображение напряжения на конденсаторе.
, 
К моменту времени t напряжение на конденсаторе определяется не только током, протекавшим через конденсатор, в интервале времени от 0 до t, но и тем напряжением которое на нем было при t=0.
,
, 
11. Закон Ома в операторной форме. Внутренние ЭДС.

Замыкание ключа приводит к переходному процессу. До коммутации ток:

Выразим потенциал точки а через потенциал точки b для послеком-мутационного режима:
,
,

К последнему выражению применим преобразование Лапласса:
,
,
,
, 
,
,

z(p) представляет собой операторное сопротивление участка цепи между точками а и b.
L*i(0) – представляет собой внутренний ЭДС, обусловленный запасом энергии в магнитном поле индуктивности вследствие протекания через нее тока i(0) непосредственно до коммутации. Запасена энергия: 
Uc(p)/P – внутренняя ЭДС, обусловленная запасом энергии в электрическом поле конденсатора, в следствие наличия напряжения на нем Uc(0) непосредственно до коммутации
Уравнение (*) – закон Ома в операторной форе для участка цепи, содержащее ЭДС, при ненулевых начальных условиях.
Операторная схема замещения:
В частном случае, когда на участке отсутствует ЭДС и к моменту коммутации ток на индуктивности равен 0, и напряжение а конденсаторе до коммутации Uc(0-)=0, закон Ома запишется в виде:
- закон Ома в операторной форме для участка цепи, не содержащего ЭДС, и при нулевых начальных условиях.
12. Первый закон Кирхгофа в операторной форме
Алгебраическая сумма операторных токов в узле равна нулю. 
13. Второй закон Кирхгофа в операторной форме
Для любого замкнутого контура любой электрической цепи можно составить уравнение по второму закону Кирхгофа для мгновенных значений. Предварительно необходимо выбрать положительные направления для токов в ветвях и направление обхода контура.
Запишем уравнение по второму закону Кирхгофа для контура рис. 8.28. Контур обходим по часовой стрелке. Учтем, что индуктивности
и
связаны магнитно. При выбранных положительных направлениях для токов
и
между
и
имеет место согласное включение.
Падение напряжения на
равно
;— на
составляет
. При составлении уравнения учтем, что начальное напряжение на конденсаторе равно
. Пусть оно действует согласно с током
. Начальное значение
тока
Имеем
(8.44)
Каждое из слагаемых (8.44) заменим операторным изображением:
(8.45)
Подставив (8.45) в (8.44), объединим слагаемые с
и
перенесем в правую часть
,
и другие внутренние ЭДС. В результате получим
(8.46)
где 
В более общем виде у-ие (8.46) можно записать так:
(8.47)
Уравнение (8.47) представляет собой математическуюзапись второго закона Кирхгофа в операторной форме. В состав
в общем случае входят и внутренние ЭДС.
12. Первый закон Кирхгофа в операторной форме.

Применив преобразование Лапласса и воспользовавшись тем, что сумма изображений равна изображению сумм, получим, что сумма операторных токов в узле равна 0:


14. Расчет переходных процессов операторным методом в RC контуре при ступенчатом воздействии.
Схема замещения цепи для L-изображений (L- преобразование Лапласа ):
L- изображение токов в контуре

Найденному изображению согласно таблице соответствий находится оригинал. 
Он определяет закон изменения токов в контуре.
При нахождении L-изображения напряжения на ёмкости следует иметь в виду что оно равно сумме L-изображений напряжения на не заряженной емкости и начального условия.

Используя таблицу соответствия и учитывая линейность обратного преобразования Лапласа находим напряжение на конденсаторе как функция времени.
13. Второй закон Кирхгофа в операторной форме.





По второму закону Кирхгофа:
-
.
Каждое из слагаемых заменяем операторным выражением:
,
,
, 
,
,
, 



второй закон Кирхгофа.
В сумму
в общем случае входят и внутреннее ЭДС.
15. Расчет переходных процессов операторным методом в параллельном колебательном контуре при ступенчатом воздействии.
Пусть к параллельному колебательному контуру подсоеденены ступенчатые воздействия тока при нулевых начальных условиях
Нарисуем:
L-изображение воздействия:
Операторное: 
L-изображение напряжения на зажимах 

Используя таблицы соответствия находим оригинал:


По таблице соответствия находим оригинал токов:

Найденные решения соответствуют случаю комплексно-сопряженных полей полинома: 
Если воздействие к тому же контуру подведено при ненулевых начальных условиях, то целесообразно использовать схемы замещения реактивных элементов для ненулевых начальных условий, т.е. схемы замещения с источника тока, тогда L-изображения воздействия на контур:

Для нахождения соответствующего оригинала с помощью таблиц следует представить это изображение в виде суммы:

Если
, в результате простого преобразования находим выражение для напряжения на контуре в режиме переходных колебаний:

Аналогично могут быть найдены токи в элементах контура.
16. Расчет переходных процессов операторным методом в параллельном колебательном контуре при гармоническом воздействии
Контуру при нулевых начальных условиях подведено гармоническое воздействие t=0.

Пусть частота воздействия совпадает с резонансной частотой контура.
L-изображение воздействия:
, 
Последнее выражение находится, если воспользоваться методом неопределенных коэффициентов. Изображению U соответствует оригинал:

При типовых значениях добротности контура
Q>>1 w1≈w0 

Функция, описывающая колебания, отличается от гармонической тем, что ее амплитуда монотонно возрастает, стремясь к установившемуся значению. Закон, по которому возрастает амплитуда колебания описывается огибающей колебания частотно заполняющего период:
.
Принципиально важным является то, что время установления колебания тем больше, чем ярче выражено в контуре явление резонанса.
17. Последовательность расчета ПП операторным методом
1. Из докумматационной схемы определяются токи через катушки индуктивности,и индуктивности и напряжения на конденсаторе (независимые начальные условия)
2. Составляется операторная схема замещения
3. Рассчитывается операторная схема и определяются искомые величины
4. По изображениям находят оригинал искомой величины, используя либо форменные выражения, либо таблицы соответсвия.
18. Расчет переходных процессов методом переменных состояния.
Метод переменных состояния основан на составлении и решении ур-ий состояния - диф.ур. первого порядка, разрешенных отн-но производных. Известно, что расчет ПП сводится к интегрированию диф-го ур-я перв. порядка:
- напряжение, ток, заряд.
- функция, зависящая от параметров источников энергии.
Это уравнение сводят к системе
диф.ур. первого порядка путем введения переменных состояния:
,
,
.
Таким образом, переменными состояния могут быть сама исходная величина и ее производная.
Из уравнений переменных состояния получают систему диф.ур.перв.порядка:

Система ур-ий эквивалентна одному уравнению n-ого порядка.
19. Последовательность расчета переходных процессов методом переменных состояния.
1. Выбирают переменные состояния. Токи в инд.катушках и напряжения на емкостных элементах.
2. Из докоммутационной схемы определяют токи через катушки индуктивности и напряжения на конденсаторах и составляют матрицу начальных значений независимых переменных.
3. Для послекоммутационного режима составляют систему диф.ур.перв.порядка и разрешают ее относительно производных. Через переменные
,
и параметров источников ЭДС и источников тока. Уравнения состояния получают либо с применением законов Кирхгофа, либо с применением метода наложения, либо с помощью топологических соотношений.
4. Составляют уравнения для выходных переменных (искомых величин), в кот. искомые переменные выражают через переменные состояния и параметров источников энергии. Полученные уравнения удобнее записывать в матричной форме.
5. Решают уравнения состояния и находят закон изменения искомой величины функции времени.
20. Численный метод решения уравнений состояния динамической цепи.
Основой используемых численных методов является вычисление приращений переменных состояния Dxj за рассматриваемый промежуток времени — шаг интегрирования Dtk = tk+1 – tk = h

Методы численного интегрирования различаются по способу аппроксимации подынтегральной функции в последнем выражении. Наиболее простой вид имеют формулы
· явного метода Эйлера Dx = fk(xk, tk)h = fkh;
· неявного метода Эйлера Dx = fk+1h;
· метода трапеций Dx = (fk + fk+1)h/2.
Поскольку и последнее выражение содержит значения fk+1, не известные в начале вычислений на данном шаге, то метод трапеций также является неявным.
Реализация неявных методов требует на каждом шаге решения системы уравнений относительно неизвестных значений xk+1 в конце данного шага. Выбор шага интегрирования h связан с обеспечением точности и устойчивости численного решения. Обеспечение устойчивости является определяющим при интегрировании так называемых жестких систем дифференциальных уравнений, у которых корни характеристического уравнения резко различаются по модулю.
