I . Четырехполюсники.
1. Основные определения и классификация четырехполюсников.
Четырехполюсник — это обобщенное наименование электрической цепи, рассматриваемой по отношению к четырем ее зажимам.
Трансформатор, линию передачи энергии, мостовую схему и т. п. можно рассматривать как четырехполюсники.
Принято изображать четырехполюсник в виде прямоугольника с выходящими из него концами (полюсами) тп и pq . Если четырехполюсник содержит источники электрической энергии, то в прямоугольнике ставят букву А (активный); если буква А отсутствует, то это значит, что четырехполюсник пассивный.

В общем, практически мало распространенном случае рабочими парами зажимов четырехполюсника могут быть три пары зажимов. (например, пары mn, рm и pq). В этом случае режим им работы четырехполюсника определялся бы тремя независимыми уравнениями, в которые входили бы три независимых напряжения (что следует из второго закона Кирхгофа) между упомянутыми парами зажимов и тремя независимыми токами (что следует из первого закона Кирхгофа). На практике четырехполюсник обычно работает в режиме, когда одна пара зажимов, например, mn, является входной, а другая пара, например pq — выходной. Четырехполюсник, у которого рабочими являются две пары зажимов, называют проходным.
Входной ток обозначают
входное напряжение—
; ток и напряжение на выходе —
и
.
Четырехполюсник является передаточным звеном между источником питания и нагрузкой. К входным зажимам тп, как правило, присоединяют источник питания, к выходным зажимам pq — нагрузку.
Предполагается, что нагрузка четырехполюсника и напряжение на входе при работе четырехполюсника в качестве связующего звена могут изменяться, но схема внутренних соединений четырехполюсника и сопротивления в ней остаются неизменными.
Классификация четырехполюсников:
1. Линейные и нелинейные (ВАХ элементов четырехполюсника)
2. Пассивные и активные (наличие ЭДС)
3. С сосредоточенными параметрами и распределенными параметрами.
4. Симметричные и не симметричные (A=D, A≠D)
5. Эквивалентные и не эквивалентные.
2. Системы уравнений четырехполюсников.
Четырехполюсник характеризуется двумя напряжениями
и
и двумя токами
и
. Любые две величины из четырех можно определить через остальные. Так как число сочетаний из четырех по два равно шести, то возможны следующие шесть форм записи уравнений пассивного четырехполюсника:
A–форма:


B-форма:


Y-форма:


Z-форма:


H-форма:


G-форма:


Обратим внимание на попарную инверсию Y - и Z-форм, А- и В-форм, Н- и G-форм.
Исторически сложилось так, что для А-формы (ее будем считать основной) положительные направления для токов и напряжений соответствуют рис. 1, для Y-, Z-, H-G-форм — рис. 2, для B-формы — рис. 3.
Обратим внимание на то, что ток
на рис. 2 направлен противоположно току
на рис. 1.
На рис. 3
и
изменили направление по сравнению с токами
и
на рис. 1.
3. Входное сопротивление четырехполюсника при произвольной нагрузке.
1)
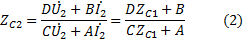
В случае несимметричного четырехполюсника (A≠D) рассматривают два характеристических сопротивления— Zc1 и Zc2, где Zc1— входное сопротивление со стороны зажимов mn, когда нагрузка подключена к зажимам pq и равна Zc2 (рис. 1):

ZC2 — входное сопротивление со стороны зажимов pq , когда нагрузка ZC1 подключена к зажимам тп (рис. 2); при этом коэффициенты А и D меняются местами:

Совместно решая уравнения (1) и (2) получим: 
Учитывая, что
получим:

2) Если четырехполюсник симметричен (A=D), то
где Zc равно входному сопротивлению четырехполюсника, когда он нагружен на Zc (рис. 3).
3) В теории цепей иногда пользуются понятием повторного сопротивления четырехполюсника ZП0B. Под ним понимают входное сопротивление со стороны зажимов тп, если к выходным зажимам pq присоединено ZПОВ. Из первой формулы, заменив в ней Zc 1 и Zc2 на ZПОВ, получим



4) Если четырехполюсник симметричный (A = D), то ZП0B =
, т. е. оно совпадает с характеристическим сопротивлением Zc. Сопротивление ZПОВ называют повторным потому, что оно повторяет сопротивление нагрузки на выходе четырехполюсника.
4. Соединения четырехполюсника.
При параллельно-параллельном подключении, последовательно-последовательном, параллельно-последовательном и последовательно-параллельном соединениях необходимо соблюдать условие регулярности соединения четырехполюсника – через оба первичных зажима каждого четырехполюсника должны течь равные по значению и противоположные по направлению токи; то же и к вторичным зажимам каждого четырехполюсника.
При регулярном соединении матрица каждого четырехполюсника должна оставаться такой же, какой она была до соединения четырехполюсников.
