Стоунхендж и архитектурные стандарты
Стоунхендж — местность на болотистой равнине Солсбери в юго-западной Англии (130 километров от Лондона), известна многим любителям детективного жанра. Именно там разворачивались леденящие душу события повести английского писателя Артура Конан Доила “Собака Баскервилей”. Внимание главного героя — известного детектива Шерлока Холмса было поглощено другими проблемами, иначе проницательный сыщик наверняка обратил бы всю мощь своего дедуктивного метода на разгадку тайны монолитных каменных глыб, усеявших болота Стоунхенджа. Причем не беспорядочно, а, как выяснилось, в строжайшей математической последовательности...

, ПУТЕШЕСТВИЕ СРЕДИ КАМНЕЙ ' ' ; •."•;.'
Стоунхендж — мегалитическое сооружение, расположенное на пологом склоне слегка всхолмленной равнины, лишенной каких-либо бросающихся в глаза природных ориентиров, и принадлежащее к кромлехам — кольцевым строениям, состоящим из врытых в землю каменных монолитов.
В Англии и Шотландии таких сооружений диаметром от 2 до 113 метров обнаружено несколько сотен. Хотя, как известно, остатки кромлехов встречают и во многих других странах мира, однако развалины Стоунхенджа поражают своим величием и загадочностью. Это неповторимое сооружение, возведенное за несколько столетий до падения гомеровской Трои, то есть почти четыре тысячи лет назад. Не будет преувеличением сказать, что во всем мире нет ничего подобного этим суровым каменным руинам.
Давайте хотя бы мысленно совершим краткую экскурсию по этому каменному сооружению.
Стоунхендж состоит из четырех больших каменных кругов. В центре Стоунхенджа находится огромный камень размером 4,8x1,0x0,5 метра. Этот камень, названный Алтарным, первоначально находился, видимо, в другом месте, и назначение его пока не совсем ясно. Вокруг него в виде небольшой самостоятельной подковы находятся так называемые “голубые камни”, то есть тесаные глыбы из зеленовато-голубого долерита, получившие такое название только потому, что в сырую погоду они приобретают синий оттенок. На самом деле они представляют собой “коллекцию” различных вулканических пород.
Далее в форме исполинской подковы диаметром около 15 метров высятся пять трилитов. Трилит, как известно, — это сооружение из двух вертикальных камней, на которые положен третий камень. Высота трилитов Стоунхенджа изменяется от 6,0 до 7,2 метра и увеличивается к центру подковы, а вес их доходит до 5 тонн. После того как один трилит был восстановлен в 1958 году, в настоящее время там стоят три трилита из пяти.
За трилитами сохранились остатки кольца, образованного тоже “голубыми камнями”, но более мелкими. Над землей их сейчас возвышается примерно двадцать, но под почвой скрыты обломки оснований других. Дальше трилиты окружены тридцатью вертикальными камнями высотой около 5,5 метра и весом 25 тонн. На этих опорах лежали, образуя кольцо, горизонтальные плиты. Диаметр этого кольца, которое называют “сарсеновым”, составляет около 30 метров. За сарсеновым кольцом располагалось еще несколько кольцевых, но уже не каменных сооружений.
Одно из них имело диаметр примерно 40 метров, и в нем было сделано 30 лунок. В этих лунках обнаружены следы давних трупосожжений. Другое кольцо диаметром 53,4 метра также имело 30 лунок. Следующее кольцо, диаметр которого равняется 87,8 метра, получило название в честь первого исследователя Стоунхенджа и хранителя древностей XVII века Джона Обри. Кольцо Обри образует 56 лунок около одного метра в поперечнике и полуметровой глубиной. “Лунки Обри”, как было установлено, оказались одной из самых интригующих загадок Стоунхенджа, но к ней мы вернемся несколько позже.
Далее за кольцом Обри проходил внутренний меловой вал. Его диаметр примерно 100 метров, ширина насыпи около шести метров и высота чуть менее двух метров. И, наконец, весь комплекс сооружений окружал внешний земляной вал диаметром 115 метров, ширина насыпи составляла 2,5 метра, а ее высота — 50—80 сантиметров.
Вход в Стоунхендж сделан с северо-востока, именно в эту строну открывается подкова трилитов. В том же направлении, на расстоянии примерно 85 метров от центра комплекса, стоит каменный столб, не носящий признаков обработки. Это менгир высотой до шести метров и весом примерно 35 тонн. Камень, кстати, наклонен в сторону центра круга под углом в 30 градусов. Его часто называют Пяточным камнем, хотя никакого углубления в форме пятки на этом менгире нет.
Ученые установили, что каменные глыбы для сооружения Стоунхенджа были доставлены из восточной части Уэльса, то есть из расположенных в 380 километрах гор Преселли, находящихся близ побережья Бристольского залива. Ближе никакого карьера, где бы находились несколько видов камней, из которых сложен Сто-унхендж, нет.
Следует отметить, что для перемещения подобных каменных глыб в настоящее время требуется специальная
строительная техника: мощные тягачи, сверхгрузовые платформы, гигантские краны и, наконец, специальные дороги. Несколько тысяч лет назад ничего этого, конечно, в Англии не было и не могло быть. Это свидетельствует о том. что комплекс Стоунхендж строился каким-то другим способом, нам неизвестным...
: КОГДА, КАК И ЗАЧЕМ
Каково назначение древнейшего памятника, созданного людьми, от которых, по-видимому, не осталось на Земле других материальных свидетельств? Что это — храм Солнца или место ритуальных церемоний? Языческий собор или священное убежище на благословенной Богом земле?..
Странное сооружение породило множество легенд. Сотни научных экспедиций исследовали загадочные развалины. На вполне законный вопрос “КОГДА?” ученым очень трудно дать точный ответ, даже радиоуглеродный метод тут не работает.
На самом деле Стоунхендж настолько древен, что уже в античную эпоху его истинная история была давно забыта. Предания древних британцев рассказывают о живших когда-то, еще до Первого потопа, гигантах — они-то и построили Стоунхендж. Недаром его называли “Пляской Великанов”. Стоунхендж не был построен ни греками, ни римлянами. Об этом красноречиво говорит сам факт молчания о нем и тех и других, то есть их авторы о Стоун-хендже ничего не писали. Когда римляне появились в Британии, старый Стоунхендж их нисколько не заинтересовал, и... они занялись своим привычным делом: наведением порядка на территории древних британцев.
В Стоунхендже прослеживаются несколько этапов строительства, причем некоторые из них отделены друг от друга тысячелетиями. На самой ранней стадии, которая в настоящее время датируется 3100 годом до нашей эры, был сооружен ров и внутренний вал в виде-окружности.
5 Зак. № 3783 Войцеховский

Вне этого круга находился Пяточный камень (“пятка бегущего монаха”), а внутри него — расположенные по окружности на равном расстоянии друг от друга лунки со следами трупосожжений. Позднее в пространстве внутри рва двумя концентрическими кругами были установлены “голубые камни”, которые впоследствии были переставлены в то положение, в каком они дошли до наших дней.
Радиоактивный анализ сожженных человеческих останков установил наиболее вероятную дату строительства комплекса — это 1900—1600 годы до нашей эры... Эта дата признана сегодня большинством исследователей Стоун-хенджа.
Однако вполне закономерен .вопрос о том, где доказательства того, что сожжение человеческих тел происходило в период сооружения Стоунхенджа? Это могло производиться и в ДАВНО СООРУЖЕННОМ КОМПЛЕКСЕ только с какого-то вполне определенного времени.
Известно, например, что Стоунхендж был священным местом друидов, жрецов древних кельтов, обитавших здесь во второй половине I тысячелетия до нашей эры. Кстати, предположение о том, что Стоунхендж был воздвигнут друидами, высказал еще Джон Обри.
Нужно отметить, что друиды являлись жреческой кастой в Британии, а также в северной Франции. Они руководили поклонением богам, регулировали общественные и частные жертвоприношения и, наконец, выносили ре-
шенияГПо религиозным вопросам. Вот что писал о друидах один из исследователей Стоунхенджа Д. Фарлонг в своей книге “Стоунхендж и пирамиды Египта”:
“...До нас не дошли письменные свидетельства о конкретных верованиях друидов. Их знания передавались ,,., через устные предания бардов, вплетенные в песни и сказки, предания, которые вполне могли датироваться временем, предшествовавшим нашествию кельтов. Друиды, несомненно, обладавшие большой властью и влиянием, были, возможно, мистическими потомками тех, кто стимулировал сооружение мегалитических , памятников...”
Только в Средние века нашей эры древние камни Стоунхенджа стали будоражить воображение людей. Однако попытки объяснить происхождение этого “каменного чуда” порождали многочисленные мифы и легенды.
В начале XVII века Стоунхендж посетил английский король Яков I. Громадные камни произвели на него такое сильное впечатление, что он приказал знаменитому архитектору Инито Джонсу составить план сооружения и установить доподлинно, кем и когда оно было создано. Тот, видимо, провел исследование Стоунхенджа, но никаких записей об этом не оставил. Однако уже в 1655 году зять И. Джонса — Джон Уэбб опубликовал первую книгу под названием “Самая замечательная древность Великобритании, именуемая в просторечии Стоун-Хенг, восстановленная”, в которой привел “беспорядочные заметки” своего тестя-архитектора и приписал сооружение Стоунхенджа... римлянам.
А точку, как считают некоторые исследователи, поставил в этом вопросе в 1963 году астроном Джерольд Хоккинс, доказавший, что Стоунхендж — это древняя обсерватория, позволявшая с большой точностью проводить астрономические наблюдения.
Далее, отвергнув версию о том, что строителями Стоунхенджа были друиды, Дж. Хоккине совершенно неог
боснованно почему-то доказывает британское происхождение памятника...
Вот таким образом вплоть до наших дней создаются легенды, теории, догадки о сооружении Стоунхенджа.,.
На вопрос “КАК?”, то есть каким способом были перевезены и установлены эти огромные камни — пока однозначного ответа не найдено. Интересную версию предложил чешский инженер П. Павел, о котором мы уже говорили выше в связи со статуями острова Пасхи. Исследователей давно интересовал вопрос, как предки англичан тысячелетия назад сумели взгромоздить на менгиры каменные пятитонные плиты. П. Павел уверен, что исконные жители Британии без кранов и прочих современных устройств могли поднимать на значительную высоту такие тяжести.
П. Павел хотел провести подобный эксперимент, но англичане отказались. Тогда в конце 1990 года в чешском городке Страконице появился фрагмент Стоунхенджа: два бетонных столба — точная копия тех, что тысячи лет стоят в туманном Альбионе. А рядом легла бетонная плита весом в пять тонн. С помощью канатов 18 помощников Павела, отнюдь не богатырей, смогли поднять эту плиту наверх. Так спустя тысячелетия 35-летний чешский инженер, возможно, нашел вполне безопасный и простой метод древних строителей Стоунхенджа.
Что же касается вопроса “ЗАЧЕМ?”, то есть с какой целью был построен Стоунхендж, то ответ вроде бы найден.
Уже давно высказывалось предположение, что Стоунхендж был не только храмом, но и астрономической обсерваторией. В самом деле, наблюдатель, находясь на центральной площадке комплекса, может увидеть сквозь одну из арок сарсенового кольца, как в день летнего солнцестояния наше дневное светило восходит прямо над менгиром. Во все же последующие дни так же как и во все предыдущие, точка восхода Солнца при наблюдениях располагается в правой части от менгира...
Вот как описывают это событие Н.Н. Непомнящий и А.Ю. Низовский в книге “100 великих тайн”:
“... Вдень летнего солнцестояния в Стоунхендж съез-:'~, жаются толпы народа — наблюдать восход Солнца над Пяточным камнем. Зрелище это действительно впечатляет. Сквозь сиреневый туман, обычно клубящийся в долине в этот ранний час, вдруг пробивается яркий луч — как раз над вершиной Пяточного камня! Точно закрепленные лучи зрения, по мнению астрономов, заставляли наблюдателя смотреть на строго определенные участки неба, задавали направление, где происходили ожидаемые явления...”
Стоунхендж не единственный в Англии мегалитический памятник. В 35 километрах к северу от него находится не менее загадочный объект Эйвберри, который был открыт еще Д. Обри и жалкие остатки камней которого растаскиваются с XIV века по наше время.
Большой каменный круг в Эйвберри считается наибольшим по размеру из подобных кромлехов на нашей планете. По современным подсчетам, эта конструкция, состоявшая из двух кругов, внешнего и внутреннего, насчитывала 274 каменные глыбы, а 97 пар таких же глыб окаймляли ведущую к нему дорогу. Внешний круг опоясан гигантским рвом шириной 21 метр и замыкает территорию почти в 12 гектаров. В отличие от Стоунхенджа камни Эйвберри не отесаны и не украшены узорами. Но и здесь, так же как и в случае со Стоунхенджем, все попытки разгадать тайну каменных колец оказались тщетны.
В 1928 году всего лишь в трех километрах от Стоунхенджа с помощью аэрофотосъемки был открыт Вудхендж (в полном смысле слова — деревянная копия Стоунхенджа!). По всей видимости, Эйвберри и Вудхендж представляли собой две “генеральные репетиции” Стоунхенджа.
К северу от Стоунхенджа, в районе Огборн, возле населенного пункта Эйвберри, был обнаружен еще более грандиозный объект, чем Стоунхендж." Это, во-первых,
гигантский круг, состоящий из каменного частокола — установленных вертикально монолитных плит. По площади он значительно превосходит Стоунхендж. В середине этого большого круга расположены два меньших круга, отмеченных камнями. Некоторые камни в Эйвберри превосходят по размерам глыбы Стоунхенджа.
Недалеко от Стоунхенджа возвышается над равниной рукотворный земляной холм неизвестного назначения, высота его 45 метров, а диаметр 180 метров. Это — Силь-бури Хилл, имеющий конусообразную ступенчатую форму. Он достаточно хорошо просматривается, несмотря на то, что “беспощадное время” почти полностью стерло его шесть мощных ступеней.
Ученым удалось установить, что сооружение Эйвберри и холм Сильбури Хилл были воздвигнуты, по крайней мере, за две тысячи лет до Стоунхенджа. А все эти сооружения: Стоунхендж — Сильбури Хилл — Эйвберри образуют равносторонний треугольник со стороной, равной 20 километрам, то есть ЭТИ ОБЪЕКТЫ СОСТАВЛЯЮТ ЕДИНОЕ ЦЕЛОЕ. И снова возникают многочисленные гипотезы, предположения и догадки...
“КОМПЬЮТЕР” ДРЕВНОСТИ
Как уже говорилось, в начале 1970-х годов английский астроном Джералд Хоккинс, который работал тогда в Бостонском университете (США), “оживил” безмолвные камни Стоунхенджа. Благодаря его многолетним исследованиям, приоткрылась одна из наиболее ранних страниц истории человечества.
Стоунхендж — это намного больше, чем просто установленные вертикально гигантские семиметровые каменные трилиты, и его истинная история гораздо интерес-' нее, чем все легенды, окутавшие его словно туман. Оказалось, что это древнейшая астрономическая обсерватория, которая позволяла с удивительной точностью вести календарный счет дням, отмечая времена года и даже предсказывая лунные и солнечные затмения.
Путем детального математического анализа на ЭВМ профессор Хоккинс доказал, что многотонные каменные арки служили безупречными визирами для закрепления направлений на особые точки горизонта. Они фиксировали все важнейшие точки восходов и заходов Солнца и Луны в различных стадиях их перемещения по небесной сфере. А 56 глубоких “лунок Обри”, расположенных строго по кругу на одинаковом расстоянии друг от друга, позволяли, как писал Хоккинс, с помощью шести камней (трех белых и трех черных) предсказывать наступление затмений:
“Я заметил, что эти лунки расположены вдоль правильной окружности на равном расстоянии друг от друга. Лунки глубиной около полуметра вырыты в мелком грунте и затем снова заполнены толченым мелом. Жрецы могли предсказывать год затмения, скажем, зимней Луны, перекладывая камушки из лунки в лунку по окружности, по одной лунке в год...”
Приведем здесь также мнение нашего соотечественника доктора физико-математических наук И.А. Клими-шина:
“Стоунхендж — действительно удивительная машина, позволяющая не только строго определять време-• < • ' на года, но и предсказывать солнечные и лунные затмения. На наш взгляд, строителям Стоунхенджа было вполне под силу такое (хотя, возможно, и неосознанное) моделирование системы Солнце — Земля — Луна...”
Новозеландский астроном Бич установил, что расстановка камней позволяла в далеком прошлом прогнозировать приливы и отливы. Французский исследователь Ша-телен подсчитал, что расположение отдельных элементов Стоунхенджа точно соответствовало точкам восхода и захода десяти главных звезд... 12 тысяч дет назад!..
Широта, на которой расположен комплекс — 51 градус 17 минут, — тоже, видимо, выбрана не случайно. По крайней мере, вероятность того, что Стоунхендж оказался тут нечаянно, весьма мала — один шанс из десяти миллионов! Математики говорят, что это практически невозможно. Вообще применять слова “случайность” и “совпадение” в отношении Стоунхенджа довольно трудно: слишком уж много, как мы убедимся, будет здесь этих “случайностей” и “совпадений”. Во всяком случае, какими бы мотивами ни руководствовались строители Стоунхенджа, их детище оказалось неповторимым чудом.
Сложный как целый комплекс астрономических инструментов и в то же время идеально простой с архитектурной точки зрения, тонкий и сложный по своим функциям, по виду экономичный и грандиозный, внушающий' трепет Стоунхендж являет собой немеркнущий образец гениального замысла.
Многим из нас сегодня известны сооруженные в древности “семь чудес света”:
— египетские пирамиды в Гизе (вернее одна Большая, или Великая пирамида Хеопса);
— “висячие сады” ассирийской царицы Семирамиды в Древнем Вавилоне;
— колоссальная (высотой более 17 метров) статуя верховного божества греков Зевса в Олимпии;
— храм богини охоты Артемиды в Эфесе — шедевр античного зодчества Древней Греции;
— усыпальница царя Мавсола — выдающееся сооружение древнегреческих зодчих, воздвигнутое в малоазиатском Галикарнасе (отсюда слово “мавзолей”);
— Колосс родосский — статуя высотой около 35 метров, воздвигнутая на одноименном острове в честь древнегреческого бога Солнца — животворящего Гелиоса;
— Александрийский маяк — стодвадцатиметровая башня, построенная в восточной части острова Фарос, недалеко от устья египетской реки Нил.
Все вышеперечисленные чудеса, за исключением вавилонских “висячих садов” и Колосса родосского, были сделаны из камня. Но ни в одном из них сам камень не был использован столь искусно для увековечеия результатов интеллектуального дерзания, как в потрясающем воображение храме на Солсберийской равнине.
Как предполагают некоторые исследователи, Стоунхендж мог сооружаться не менее трехсот лет! Если это действительно так, то из этого следует, что его строители должны были на несколько веков вперед (!) спланировать последовательность работ. Спрашивается, кто мог составить на столь продолжительный период такой план?.. Каким образом он передавался из поколения в поколение?.. Ведь тогда еще не существовало письменности...
Нет никаких исторических данных о том, что примерно около сорока веков тому назад (!) жители Земли имели какие-нибудь научные знания о своей родной планете или параметрах нашей Солнечной системы. Тем более у них не было топографо-геодезических приборов, без которых точнейшая расстановка камней в Стоунхендже была невозможна. И, наконец, самое главное, о чем следует сказать: для чего все это было нужно племенам, занимавшимся исключительно охотой и примитивным земледелием?
Кто знает, возможно, у них были какие-то неизвестные нам сегодня “учителя”, которые каким-то образом “внушали” людям неолита необходимость постройки грандиозного “памятника” и сумели как-то передать план этого сооружения, а затем и научили их пользоваться им в элементарных, понятных целях.
Истинный же смысл грандиозного каменного Стоунхенджа, конечно, не был ясен тем, кто передвигал и устанавливал его тяжелые камни. Они воспринимали творение своих рук исключительно как предмет религиозного культа. И лишь сами “учителя” (мы не будем здесь задавать вопрос, кто это мог быть?) и, может быть, еще верховные жрецы знали тайну сооружаемого каменного комплекса-кромлеха... Несомненно одно: в английском Сто-
унхендже, как и во многих других мегалитических памятниках наших далеких предков, можно открывать еще долгие годы много необыкновенного и значительного...
ТАИНСТВЕННАЯ ПЕНТАГРАММА
В расследовании загадок и тайн Стоунхенджа наступили “русские времена”... Так, например, в сборнике “Тайны XX века” (составитель И. Мосин), в известном альманахе “Не может быть”, в еженедельнике “Голос”, в газете “Рабочая трибуна” и во многих других периодических изданиях стали появляться публикации, авторы которых (В. Лаговский, В. Авинский и другие) пытаются доказать научной общественности, что нельзя рассматривать Сто-унхендж только как культовую постройку, астрономический “инструмент” или счетную машину древних.
Если принять во внимание любую из этих гипотез или даже всю их совокупность, то возникает вопрос: стоило ли древним людям вообще затевать такое небывалое по своим масштабам строительство? Или все же была какая-то неведомая цель (вспомним, например, наше предположение об “учителях”), повинуясь которой строители Стоунхенджа в течение трех веков с непостижимым упорством возобновляли брошенное не раз дело, а именно: устанавливали неоднократно гигантские блоки-трилиты?..
Предлагаем читателям,ознакомиться с доводами, изложенными в вышеупомянутых публикациях, о вновь открытых “возможностях” комплекса Стоунхендж и некоторых аспектах его “использования” как в прошлом, так и в наши дни.
В свое время загадки Стоунхенджа заинтересовали Валентина Терешина, математика и астронома-любителя из города Пучек Ивановской области. Изучая схемы этого комплекса и других памятников древности, он обнару-. жил удивительные закономерности.
Все началось с поиска Соотношений между диаметрами различных колец Стоунхенджа. Оказалось, что круглый меловой вал и сарсеновое кольцо имеют такое же
отношение диаметров, как диаметры Земли и Луны. Если вместо сарсенового кольца взять, к примеру, расположенный к востоку круглый могильник, то вырисовывается упрощенная модель системы “Земля — Луна”. Что же получается?.. Если в Стоунхендже действительно зашифрованы размеры Земли и Луны, то вполне естественно задать и такой вопрос: “Нет ли среди его колец и размеров Других планет Солнечной системы?”
Такую информацию помогла найти своеобразная ПЕНТАГРАММА — неправильный пятиугольник, выведенный В. Терешиным из одиннадцатиугольника. Наложение этой пентаграммы на план Стоунхенджа показывает, что именно эта фигура, никак на местности не отмеченная, положена в основу его планировки. Это действительно так, потому что размеры всех колец кромлеха совпадают с окружностями, образованными пентаграммой Терешина. Простые вычисления подтвердили соответствие диаметров колец Стоунхенджа поперечникам планет Солнечной системы и естественного спутника нашей планеты — Луны..
Существенно дополняют вышеизложенное результаты, полученные кандидатом физико-математических наук В. Комиссаровым, который многие годы занимался исследованием загадок Стоунхенджа. Этот ученый установил, что кольца Стоунхенджа моделируют и орбиты планет в Солнечной системе. Причем если верить параметрам Стоунхенджа, то планет у нас должно быть... двенадцать!? За последней планетой Плутоном должны находиться еще две планетьг. Одна на расстоянии 50 астрономических единиц, а другая — около 60 астрономических единиц. Отметим, что за единицу измерения здесь берется расстояние от Земли до Солнца, равное 150 миллионам километров. Диаметры этих небесных тел соответственно Должны составлять 1800 и 1700 километров.
Нужно сказать, что существование дюжины планет в нашей Солнечной системе не противоречит современным научным представлениям. Одна из неучтенных планет — это взорвавшийся Фаэтон, который превратился, каксчи-
тают некоторые ученые, в современный пояс астероидов. Две другие вполне могут располагаться и за орбитой Плутона. Астрономы, кстати, их упорно ищут и по сей день...
Следует отметить, что косвенное подтверждение такому предположению дают и полеты американских космических кораблей “Пионер” и “Вояджер”. По мере приближения к границам Солнечной системы их траектории все больше и больше отклонялись от расчетных. Американские исследователи Харрингтон и Ван-Фледерн провели соответствующие расчеты на ЭВМ и показали, что незапланированные отклонения “Пионера” и “Вояджера” могут быть вызваны гравитационным влиянием неизвестной нам пока планеты с массой порядка десяти земных, которая должна находиться за планетой Плутон на расстоянии от 50 до 150 астрономических единиц.
Дошедшие до наших дней свидетельства шумерской цивилизации также сообщают о 12 планетах в Солнечной системе. Правда, одна из них имеет совершенно отличную от остальных планет орбиту. Об этом мы будем говорить в заключительной части этой книги...
Однако вернемся к рассмотрению пентаграммы Тере-шина... В дальнейшем выяснилось, что “пятиугольник Те-решина” является универсальным ключом для расшифровки планов не только отдельных мегалитических сооружений Англии, таких, например, как Стоунхендж, Эйв-берри, Уэст-Кеннет и других, но и всего комплекса древних памятников Великобритании.
Так, увеличение пентаграммы Стоунхенджа в 60 раз с сохранением ее ориентации показывает, что вновь полученная гигантская пентаграмма “контролирует” все главные окрестные памятники древних времен — они оказались или на описанной "окружности, или на ребрах, или в углах “большой пентаграммы”.
Более того, последовательное увеличение диаметра Стоунхенджа в 60 раз выявило, что и САМО РАСПОЛОЖЕНИЕ КОМПЛЕКСА НА ЗЕМНОМ ШАРЕ ТАКЖЕ “КОНТРОЛИРУЕТСЯ” ПЕНТАГРАММОЙ И СОГЛАСОВАНО С ГЕОМЕТРИЕЙ... ПИРАМИДЫ ХЕОПСА И ЕЕ
КООРДИНАТАМИ. Имеются данные и в пользу существования ГЛОБАЛЬНОЙ ПЕНТАСИСТЕМЫ В РАСПОЛОЖЕНИИ МИРОВЫХ МЕГАЛИТИЧЕСКИХ ПАМЯТНИКОВ.
И, наконец, самое удивительное... Анализируя план Стоунхенджа, зарубежные ученые даже вычислили некоторые астрономические ориентиры, которые указывают на... созвездие Девы. Но стоит ли нам, уважаемые читатели, забираться так далеко от нашей планеты, в беспредельные космические дали?..
ИНФОРМАЦИЯ ИЗ ГЛУБИНЫ ВЕКОВ
Стоунхендж — это не просто счетная машина, а сложная ЭВМ. Построена она не для примитивных расчетов, а для показа... ВИДЕОИНФОРМАЦИИ. Но не среди камней “английского феномена”, а с их помощью... Такова точка зрения В. Комиссарова. Анализируя параметры древней постройки, ему удалось получить “картинки”, на которых были изображены зажатые в кольцевом пространстве плавные кривые. В самих кольцах угадывались пропорции Стоунхенджа, другие кривые напоминали ветви галактик, а третьи являлись изображениями магнитного поля какой-то неизвестной планеты...
Все предполагаемые особенности Стоунхенджа, как считает В. Комиссаров, перечислить невозможно. Так, например, в комплексе зашифрованы строение атомов, расположение элементов в таблице Менделеева, скорость света и т.п. В многочисленных трудах о Стоунхендже утверждается, что это сооружение позволяет вычислить число “пи” и обосновать выбор способа отсчета времени; определить массы дейтерия*, протона и электрона; решать дифференциальные уравнения методом конечных элементов и т.д.
Различные высоты одних элементов Стоунхенджа представляют собой некую ФУНКЦИЮ, другие — ее ПЕРВУЮ ПРОИЗВОДНУЮ по времени, третьи - ВТОРУЮ ПРОИЗВОДНУЮ и т.д. А все вместе они моделируют
ОСНОВНЫЕ УРАВНЕНИЯ МАТЕМАТИЧЕСКОЙ ФИЗИКИ, а именно: УРАВНЕНИЕ ДИФФУЗИИ и УРАВНЕНИЕ, ОПИСЫВАЮЩЕЕ КОЛЕБАТЕЛЬНЫЕ И ВОЛНОВЫЕ ПРОЦЕССЫ. Не “круто” ли для времени каменного века?..
Одновременно нужно напомнить о том, что вся каменная постройка строго ориентирована на Солнце; чтобы добиться этого, древние строители должны были знать астрономию, знать, например, что наша Земля — это шар, и шар не простой, а сплюснутый... Отдельные элементы Стоунхенджа расставлены таким образом, что по их расположению можно вычислять, например, время приливов и отливов, предсказывать солнечно-лунные затмения, отслеживать фазы Луны и т.д., и т.п.
В свое время В. Комиссаров и бывший в то время аспирантом МВТУ им. Баумана А. Злобин взяли самое простое математическое уравнение, ввели его в компьютер и дополнили программу граничными условиями, найденными именно в Стоунхендже. В итоге электронная машина выдала исследователям составленное из кривых .очень знакомое им графическое изображение, в котором угадывался... Большой сфинкс из предместья Каира! Это обстоятельство несомненно свидетельствует о какой-то неизвестной пока связи английского Стоунхенджа со знаменитым египетским изваянием.
Например упоминавшийся выше Д. Фарлонг считает, что мегалитические сооружения и в Англии и в Египте построены людьми, имеющими общее происхождение.
“Предположим, что где-то в Атлантическом океане существовал остров или группа островов.,, служивших домом некоего общества со значительными научными знаниями. Если на эту островную цивилизацию обрушилось какое-то несчастье, которое оставило время лишь небольшим группам люден спастись на своих судах, каким должен быть результат?..
Неопровержимые данные... добавляют убедительности... показывая, что ПРИБЫВШИЕ в Англию и Египет в то время ПРИНЕСЛИ С СОБОЙ ТОНКОЕ ПОНИМАНИЕ АСТРОНОМИИ, ТОПОГРАФИИ И ГЕОМЕТРИИ..'. СХЕМЫ, выстроенные среди холмов Марлборо, ЯВЛЯЮТСЯ ФРАГМЕНТАМИ ЗАБЫТОЙ НАУКИ, ВКЛЮЧАЮЩЕЙ ГЕОМЕТРИЧЕСКИЕ ПРИНЦИПЫ, НАХОДЯЩИЕСЯ В ПРЯМОЙ, ГАРМОНИЧЕСКОЙ СВЯЗИ С ПРОПОРЦИЯМИ ЗЕМЛИ...”
Однако продолжим... В. Комиссаров убежден, что Сто-унхендж — это послание людям. Оно тысячелетиями ждет своего “звездного часа”, то есть того времени, когда высокоразвитое человечество сумеет его расшифровать и понять. А информация, которую удалось, как говорится, “заполучить” сегодня, — это всего лишь подсказка-намек: ищите дальше и найдете... Но кто ее (или его) оставил?.. Пришельцы из космоса?..
Предположим, считает ученый, кому-то на древней Земле понадобилось подать о себе весточку грядущим поколениям. Да так, чтобы она обязательно дошла в некий определенный момент времени, когда человечество накопит для ее осмысления достаточный объем знаний.
Другими словами, ПОСЛАНИЕ, с одной стороны, ДОЛЖНО БЫЛО долго ХРАНИТЬСЯ В ЗЕМНЫХ УСЛОВИЯХ, а с другой — не привлекать до поры до времени повышенного внимания. Логика подсказывает, что лучше всего в данном случае воспользоваться подручными средствами и материалами.
Наши предки вполне могли додуматься до такого решения — строили на века. Но камнями описать видеоинформацию — это вряд ли. Не настолько они бы^и мудры. Да и вообще сам принцип представляет собой “ноу-хау” высочайшей технологии. Отсюда следует вывод: ДРЕВНИМИ СТРОИТЕЛЯМИ СТОУНХЕНДЖА КТО-ТО УСПЕШНО РУКОВОДИЛ!..
Английский писатель Джонатан Свифт, замечает В. Комиссаров, дает нам еще одну подсказку к пониманию тайн Стоунхенджа. Современники знали его как писателя-сатирика, автора романов, памфлетов и эпиграмм. Конечно, главным трудом его жизни стал его роман “Путешествие Лемюэля Гулливера в некоторые отдаленные страны света”. Третье его путешествие — на летающем острове Лапуте разительно отличается от всех остальных. Оно изобилует научными и техническими подробностями, не характерными для Дж. Свифта.
Он, например, пишет, что астрономы летающего острова беседуют о двух спутниках Марса, которые, кстати, были открыты только 160 лет спустя! Один из них, говорят астрономы-лапутяне, вращается на расстоянии трех марсианских диаметров, а другой — на расстоянии пяти диаметров. Между тем в наше время науке известно, что орбиты спутников Марса — Фобоса и Деймоса составляют соответственно полтора и три с половиной диаметра планеты. По этому поводу американский астроном Левит сказал:
“Сходство между гипотетическими спутниками Свифта и реальными настолько близко, что это можно признать одним из наиболее загадочных подвигов размышления...”
Помимо марсианских спутников, Дж. Свифт упоминал в своем произведении и о молекулярном составе воздуха, и об устройствах, похожих на компьютеры, и о тяжелой воде, да и вообще о многом другом, что было явно не свойственно его времени. Все это уводит современного читателя в область сверхъестественного. Откуда Дж. Свифту были известны эти “черты будущего”... Остается предположить только одно из двух: или он знался с “пришельцами”, или, как это сейчас модно говорить, он психо- . графировал информацию, поступающую откуда-то из бескрайних просторов Вселенной. Правды нам сегодня все равно не узнать, поэтому мы обратимся к самой книге писателя.
Вот что писал Дж. Свифт:
“... Остров имеет форму правильного круга... в центре острова находится пропасть... Но главной достопримечательностью... является огромный магнит, по форме напоминающий ткацкий челнок... В самой середине магнита проделано поперечное отверстие, сквозь которое проходит чрезвычайно прочная магнитная ось... Магнит -подвешен в полом алмазном цилиндре... Цилиндр напоминает гигантское алмазное кольцо... он укреплен горизонтально на восьми алмазных ножках... Цилиндр вместе с ножками составляет одно целое с массивной алмазной плитой, образующей основание острова... При помощи этого магнита остров может опускаться, передвигаться с одного места на другое...”
Ученые попробовали изобразить все это на чертеже, пользуясь указанными писателем размерами. И не поверили своим глазам: на бумаге в определенном масштабе явственно проступал план... Стоунхенджа со многими деталями... Например подвешенный магнит в форме челнока, которым управлялась Лапута, сопоставлялся в данном случае с лежащим в центре Стоунхеиджа Алтарным кам-нем> о котором мы уже упоминали выше. Назначение его действительно неясно, к тому же он состоит из иного минерала, нежели весь древний комплекс.
Кстати, один из исследователей Стоунхенджа, англичанин Тони Веддом, давно обратил внимание на связь между силовыми линиями этих мест и так называемыми НЛО. Действительно, план самого кромлеха при взгляде с воздуха похож на НЛО. Кольцевые насыпи и рвы — это внешний обвод НЛО, лунки кольца Обри — иллюминаторы, а сарсеновое кольцо — кабина. Алтарный камень в этом случае может сойти за кабину НЛО, а так называемые голубые камни —.за членов экипажа (гуманоидов)...
Напомним, что слово “Стоунхендж” буквально означает “подвешенный камень”. Возможно, что после постройки гигантского сооружения Алтарный камень как раз
и был определенным образом “подвешен” — примерно так, как описывает это Дж. Свифт. Другого “подвешенного камня” в Стоунхендже попросту нет.
Однако данное обстоятельство ведет нас прямиком в... Египет — ближе к пирамидам. По преданию, в тамошних местах располагался храм бога Атона, или, как его еще называли, “храм поднятого камня”. Был он поставлен во славу Солнца, построен без крытых помещений. Но главное, в нем находится таинственный “поднятый камень” (или по-другому “Бен-Бен”) — камень, на котором впервые поднялось наше светило Солнце. Можно предположить, что Стоунхендж — это воспроизведенный в Англии храм египетского бога Атона. Очень уж они похожи друг на друга по описаниям...
А что касается каменного Стоунхенджа, то следует сказать, что этот древний, единственный в своем роде памятник — необычайно многозначен. Занявшись им как следует, утверждает В. Комиссаров, можно получить не только, например, данные о принципиальном устройстве летательных аппаратов, пока не известных нам, представителям земной цивилизации, но и массу другой чрезвычайно ценной информации. Данное предположение ученого полностью подтвердилось...
ФОРМУЛА ФУНДАМЕНТАЛЬНЫХ КОНСТАНТ
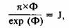
Российскому ученому А. Злобину, о некоторых исследованиях которого, проведенных совместно с В. Комиссаровым, мы уже упоминали выше, удалось получить, можно сказать “п"о подсказке” Стоунхенджа, формулу для фундаментальных констант “пи”, “е” и “фи”. Эту формулу на протяжении нескольких веков не могли найти ведущие математики всего мира. В данном случае “пи” — лудоль-фово число, равное 3,1415... “е” — основание натуральных логарифмов (неперово число), равное 2,7182... и, наконец, “фи” — число “золотого сечения”, равное 1,6180... Перечисленные константы — универсальны, поскольку
они, по существу, три кита, на которых стоит все современное мироздание.
Иррациональные величины “пи”, “е” и “фи” широко распространены в различных закономерностях. И нет таких областей человеческой деятельности и знаний, где бы они не играли определяющей роли. Именно это обстоятельство заставляло крупных ученых искать уравнения, которые бы объединили эту триаду мировых констант природы. Такие попытки предпринимались неоднократно, но безуспешно... Объединить удавалось, к сожалению, толькр два числа. Величайшим триумфом математики, например, считается установление зависимости между значениями “пи” и “е”, которую вначале вывел знаменитый Эйлер, а затем не менее знаменитый де Муавр. Впрочем, именно именем последнего обсуждаемая формула и была названа.
И вот российский математик, кандидат технических наук Андрей Евгеньевич Злобин получил невероятно про-стое соотношение для трех констант:

где стоящая в правой части величина J = 1,0079... — точный атомный вес водорода.
Мы не будем приводить в данном случае вывод для этой универсальной “формулы Злобина”, который достаточно прост для тех, кто знаком с высшей математикой. Комментируя полученное выражение, его автор полагает, что всем его предшественникам просто не везло, а вот ему, расшифровавшему то, что было кем-то давным-давно заложено в Стоунхендже, повезло больше и удалось сделать не только математическое, но и археологическое открытие. Что же касается самого полученного соотношения, то А. Злобин обращает прежде всего внимание на такие его особенности...
Во-первых, эта формула соединяет в одно целое гармонию числа и формы. Ко всему прочему — и формы
живого, поскольку “фи” — “золотая пропорция” — так или иначе присутствует в нас и во всех живых существах нашей планеты. Генетический код, музыка, архитектура, поэзия, биоритмы и движение планет — повсюду можно найти “золотую пропорцию”.
Во-вторых, важный смысл формулы в том, что в ее правой части находится исключительно физический параметр (атомный вес водорода), который выражается через приведенные в левой части фундаментальные константы. В данном случае впервые мирозданию придана вполне определенная математическая логика, а также еще раз подтверждено правило всеобщей взаимосвязи.
В-третьих, формула автоматически задает универсальную систему измерений — массы, длины и времени, что, по мнению А. Злобина, является ее самым главным следствием. Поскольку водород — самый распространенный элемент во Вселенной, то отмеренные на этот “галактический аршин” относительные единицы измерений впол^ не могут быть универсальными для всей Вселенной.
Ученые, занимающиеся проблемами связи с внеземными цивилизациями (проблемы SETI и CETI), а также фантасты-литераторы давно разрабатывают идею о том, что для вступления в контакт с представителями “вселенского братства” (вспомним “Великое Кольцо” Ивана Ефремова в его непревзойденной “Туманности Андромеды”) необходим некий “кодовый пропуск”. Например разработка и передача (или получение и расшифровка) определенного сигнала-кода, до понимания которого цивилизация — кандидат в “контактеры” должна дойти своим умом.
По мнению А. Злобина, полученная им универсальная формула и является таким кодом. В графическом изображении она представляет собой набор из пяти окружностей. Переведенный на язык радиоизлучений — это набор из пяти частот, причем главной в нем должна быть частота радиоизлучений водорода. А все они вместе — это код, который надо передать “братьям по разуму” одним “аккордом”, а не отдельными “нотами”. Таких попыток, к
сожалению, человечество еще не делало, хотя первые шаги в этом направлении уже были предприняты.
Андрей Злобин убежден, что Стоунхендж — это великий памятник Разума, содержащий многочисленные послания высокоразвитому человечеству. И полученная им уникальная формула — это только начало, а впереди нас ждут принципиально новые данные и знания. И последнее... Стоунхендж — это не единственное на Земле сооружение, содержащее зашифрованные знания древних людей или их “учителей”.
На нашей планете есть еще несколько таинственных мест, которые своим “присутствием” бросают вызов современному человечеству. Среди них египетские пирамиды, каменные колоссы острова Пасхи, гигантские рисунки на перуанском острове Пасхи, Каллениш в Шотландии, Зорац-Кар в Армении... Мы не знаем, зачем наши предки все это построили. Но наверняка у них была какая-то очень важная цель, побудившая их совершить титаническую работу...
В КАМНЯХ СКРЫТА ТАЙНА И ЦЕЛИТЕЛЬНАЯ СИЛА...
Итак, Стоунхендж представляет собой своеобразную “каменную ЭВМ”, использовавшуюся кем-то в далеком прошлом и хранящую “в своей памяти” информацию, “программы” и знания, которые представляют для современного человечества огромный интерес. Где же истоки знаний, которые были положены в основу и Стоунхенд-жа и других “мегалитических компьютеров”?..
К сожалению, в письменных источниках никаких сведений по этому поводу нет. Остаются только легенды...
Существуют, например, легенды, в которых сооружение Стоунхенджа связывается с именем мага и чародея Мерлина, который якобы говорил:
“Не смейся, не поразмыслив... в этих камнях скрыта тайна и целительная сила их против многих болезней.
Великаны в старину принесли из дальних пределов Африки. .. И нет среди них камня, не наделенного силой волшебства”.
Англичанин Джеффри Монмаузский в своей “Истории” утверждал, что Мерлин Мудрый — легендарный, строитель Стоунхенджа — реальная историческая личность, и что он перемещал гигантские камни, используя сверхчеловеческие возможности. По мнению одного чешского художника, зарисовавшего древние развалины, каменные глыбы Стоунхенджа передвигались с помощью левитации, которая вызывалась силой звука и мысли. Английские исследователи, в частности, Энтони Роберте, обнаружили в фольклоре и традиционной истории Древнего мира упоминания о живших некогда гигантах и “летающих драконах”, которых некоторые уфологи считают палеоНЛО.
Заметим, что сам Стоунхендж и находящийся недалеко от него маленький городок Ваминстер расположены в районе, где действительно апериодически наблюдаются странные явления: полеты и посадки НЛО; экзотические запахи, остающиеся после их взлета; здесь видели неизвестных гигантов и их следы; слышали звуки “невидимых пешеходов” и т.д.
Подобные “феномены” .отмечались в этих местах и в давние времена. В записках Джона Обри от 1670 года упоминается, например, странное приведение, замеченное недалеко от Спринчестера. На вопрос: добрый дух ты или плохой? — от привидения ответа не последовало, но существо исчезло, оставив необычайный запах и очень мелодичный звон.
А вот еще несколько случаев...
Однажды группа людей, находившаяся в районе Стоунхенджа, услышала пощелкивающий звук, исходивший от камней. В испуге люди побежали прочь, звук же поднялся в небо. При этом возникло что-то напоминающее гигантское огненное колесо, которое, вращаясь, тоже ушло вверх. Позже, когда видевшие все это люди нахо-
дились дома и отдыхали, они заметили, как перед ними материализовалась женская фигура, одетая в желтое. У нее были длинные волосы и прическа, как у древних египтянок...
В 1954 году один местный фотограф обнаружил на своих фотографиях луч прожектора, бьющий в облачное февральское небо от центрального трилита...
В 1968 году некто Артур Шаттлевуд видел НЛО вблизи выхода огненного круга, возникшего прямо из камней Стоунхенджа. Когда наблюдатель подошел к НЛО ближе, тот стремительно ушел ввысь...
Октябрьским вечером 1977 года несколько человек наблюдали, как из древнего кромлеха вылетали пылающие огни. Они двигались по небу строем, могли внезапно зависать на месте или мгновенно менять направление полета. Причем, не плавно, как самолет, а резко. Компасы наблюдателей в данном случае неверно показывали направление сторон света, а на портативном телевизоре изображение становилось неустойчивым. Огни удалось снять на кинопленку. Из приведенных выше примеров можно сделать вывод, что Стоунхендж ведет себя достаточно активно, что позволяет нам задать и такой вопрос: “А не является ли Стоунхендж своеобразным маяком для “космических гостей”, посещающих и сегодня нашу планету?”...
Что же касается целительной силы камней Стоунхенджа, то мудрец Мерлин вроде бы не прихвастнул... Это утверждают, кстати и наши, российские ученые. Например, академик РАН Р. Авраменко полагает, что совокупность элементов кромлеха служит своего рода фазированной антенной решеткой, которая позволяет концентрировать Стоунхенджу энергию вакуума, в том числе и целительного. Интересно, что аналогичными свойствами обладают и египетские пирамиды...
Мерлин утверждал, что камни Стоунхенджа волшебные. Но ведь раньше все, что было непонятным, называли волшебством. Математические и астрономические знания древних жрецов, умевших решать математические зада-
чи и предсказывать время затмений, приливов и отливов и т.п., тоже могли считаться волшебными.
Именно это обстоятельство и позволило А. Злобину сделать следующее заявление:
