1 основные Технические характеристики и условия строительства
1.1 Технические нормативы
При разработке документации были приняты следующие технические нормативы:
Категория дороги - III
Ширина земляного полотна - 12 м
Ширина проезжей части - 2х3.5 м
Число полос движения - 2
Ширина обочин - 2.5 м
Тип дорожной одежды - капитальный
Вид покрытия - асфальтобетон
Расчетные нагрузки для искусственных сооружений - А-14; НК-102,8
Расчетная нагрузка для дорожной одежды - АК-10
Расчетная нагрузка для земляного полотна - НК-60
Наименьший радиус кривых в плане - 600м
Наименьший радиус кривых в продольном профиле:
а) выпуклых - 10000м
б) вогнутых - 3000м
Максимальный продольный уклон - 50%о
Наименьшее расстояние видимости:
а) для остановки - 200 м;
б) встречного автомобиля - 350 м.
1.2 Природные условия
Участок дороги, подлежащий капитальному ремонту, расположен в Медвежьегорском районе Республики Карелия. Для данного района характерна частая смена ландшафта и значительная расчлененность рельефа. Рельеф района производства работ грядово-холмистый с проявлением интенсивных разрывных нарушений на докембрийских кристаллических породах чередующихся с болотными равнинами. Для описываемого региона в целом характерна значительная расчленённость рельефа и большое разнообразие его форм - результат сложного взаимодействия рельефообразующих процессов. Ведущими из них явились резко дифференцированные тектонические подвижки и многократные оледенения, чередовавшиеся с морскими трансгрессиями. Данный район относится к области возвышенных равнин с абсолютными отметками 100-150 м представляет собой всхолмленное каменистое плато с чехлом ледниковых и водно-ледниковых накоплений, осложненное мелкими водотоками, озерами и заболоченностью.
1.2.1 Климат
Согласно СНиП 23-01-99 «Строительная климатология» автомобильная дорога Р-21 «Кола» Санкт-Петербург -Петрозаводск - Мурманск - Печенга - граница с Королевством Норвегия км 622 - км 627 в Республике Карелия располагается во II-В климатическом подрайоне.
Климат территории расположения трассы автодороги умеренно континентальный с чертами морского. Характеризуется продолжительной, относительно мягкой зимой и коротким прохладным летом, большой облачностью и значительным количеством осадков в течение всего года.
Вследствие влияния Атлантики и близости к Северному Ледовитому океану климат Карелии крайне неустойчив, один тип погоды резко сменяется другим.
Карелия отличается продолжительной, относительно мягкой зимой, коротким прохладным летом, значительной облачностью.
Январь - самый холодный месяц зимы. Его средняя температура составляет минус 11,1оС-11.6оС. Абсолютный минимум температур воздуха может достигать от минус 38оС до минус 45 оС. Осадков за зиму в среднем выпадает 25-37мм в месяц.
Продолжительность залегания снежного покрова достигает 155 дня. Наибольшая из средних, толщина снежного покрова на открытом месте составляет 32см, наблюденный максимум 73см.
Весна вступает в свои права в конце марта. Ближе к середине апреля повсеместно устанавливается плюсовая температура. Среднемесячное количество осадков составляет 29-45мм. Снежный покров сходит в начале мая.
Самый теплый месяц лета июль, его средняя температура составляет 15.7оС-16.2 оС. Максимум температуры может достигать от 33.0оС до 35оС. Максимальное количество осадков выпадает летом, причем преобладают осадки ливневого характера, среднемесячное количество осадков составляет 56-81мм.
Осень длится со второй половины августа до середины октября. Погода осенью в основном пасмурная, сопровождается холодными ветрами. Снежный покров устанавливается в начале второй декады ноября. Осень обычно дождливая, среднее месячное количество осадков составляет 47-77мм.
1.2.2 Рельеф
Рельеф местности - холмистый. Местность выражена моренно-ледниковым рельефом, для которого характерны холмы и гряды различной формы и высоты. Это озы - длинные валы из грубого песка и гравия высотой от 10 до 15 м, камы - округлые высокие холмы высотой до 50 м, образовавшиеся из мелкого песка, зандры - волнистые песчаные пространства, возникшие в устье бывших ледниковых рек. Особенно много моренных холмов на возвышенностях. Холмы и гряды чередуются с сильно заболоченными плоскими равнинами, озерными и болотными впадинами. Относительная высота холмов над прилегающими к ним впадинами обычно не превышает 50 м. Наибольшая высота возвышенности, расположенной в центральной части Карельского перешейка, составляет 205 м. Она называется Лемболовскими высотами. Для нее характерны многочисленные пологие моренные холмы, густая речная сеть и неглубокие, частью зарастающие озера. Вокруг возвышенности расположен холмистокамовый рельеф.
1.2.3 Растительность и почвы
В пределах района изысканий прослеживается зона таёжных лесов. В таёжной зоне всего северного полушария, самое низкое число видов деревьев отмечается в Феноскандии (3 аборигенных вида хвойных пород). Бореальные хвойные леса, по видовому разнообразию, беднее других типов умеренно широколистной лесной растительности, так как они существуют более короткий период времени. На рассматриваемом участке хвойные леса представлены, в основной массе сосной, елью и в меньшей степени можжевельниками.
Лиственные участки лесов и мелколесья состоят в основном из берёзы, осины, ольхи, рябины и ивы.
Исследуемая территория богата влажными травянистыми лесами, вторичными лугами и крупнотравными зарослями вдоль ручьёв. Пойменных лугов не много, они встречаются только в поймах рек.
На данной территории отмечается также наличие болот верхового и смешанного типа, а на незначительных уклонах поверхности, возникают склоновые болота. Все вышеперечисленные болота классифицируются как амбротрофные, так и минеротрофные.
Почвы подзолистые. Мощность почвенно-растительного слоя до 0.15 м.
1.3 Трасса дороги
Начало проектируемого участка ПК 0 соответствует км 622+176, конец участка ПК 50 соответствует км 627+176 существующей автодороги «Кола». Общая протяженность участка автодороги составляет 5 км. Учитывая сложный пересеченный рельеф местности (гряды, сопки, окруженные болотистыми равнинами, озера), существующая дорога построена с максимальным использованием существующего ландшафта местности.
В продольном профиле дорога в основном проходит по обертывающей. В местах пересечения гряд на выпуклых кривых, при разработке выемок, частично изменялся ландшафт местности. Нормативная видимость встречного автомобиля в этих местах, на отдельных участках не обеспечена. На основании вышеперечисленного, на участке можно принять расчетную скорость 90 км/ч, установленную как для трудных участков пересеченной местности, что соответствует нормам СНиП 2.05.02-85 п. 4.1.
Для максимального приближения проектируемой трассы к существующей дороге, в плане запроектировано 43 угла поворота с радиусами закругления от R=500 м до R=10000 м. На кривых радиусом менее 2000 м проектом предусмотрено устройство виражей. Величины поперечных уклонов проезжей части на виражах приняты, согласно п.4.17 СНиП 2.05.02-85*, для районов с частым гололедом - 30 - 40. На кривых радиусом менее 1000 м предусматриваются уширения проезжей части с внутренней стороны за счет обочин.
Ширина проектного земляного полотна 12-24,5 м по верху. Высота насыпи до 10 м.
Существующая полоса отвода, откосы насыпи и кюветы заросли подлеском и кустарником, документацией предусматривается расчистка существующей полосы отвода.
2 ОСНОВНЫЕ ПРОЕКТНЫЕ РЕШЕНИЯ
2.1 Темп потока
Расчетные сроки строительства работ.
(2.1.1)
где
- расчетная продолжительность выполнения дорожно-строительных работ;
- нормативные простои, включая выходные, праздничные, климатические дни;
- календарная продолжительность рабочих дней,
=173дней.
Для возведения земляного полотна и устройства основания дорожной одежды:

Для устройства асфальтобетонного покрытия:

Определяем скорость потока:
(2.1.2)
где
- скорость потока;
- длина строящейся автомобильной дороги,
= 5000 м.
173 – 63 = 110 дней,
110 – 39 = 71 день.


2.2 Земляное полотно
Земляное полотно является основанием для важнейшего и наиболее дорого элемента дороги – дорожной одежды, прочность и долговечность которой существенно зависят от прочности и устойчивости земляного полотна.
Продольный профиль запроектирован в условной системе высот, из условия обеспечения видимости и с учётом возможного использования существующего покрытия.
Отметки продольного профиля представлены в табличной форме и привязаны к реперам, местоположение и высотные отметки которых указаны в ведомости реперов.
Параметры продольного профиля практически на всем протяжении соответствуют требованиям СНиП 2.05.02-85:
- минимальный радиус выпуклой кривой - 10000 м;
- минимальный радиус вогнутой кривой - 3000 м;
- максимальный продольный уклон - 40 ‰.
Проектом предусмотрено максимальное доведение параметров продольного профиля до норм III технической категории без занятия дополнительных земель. На участке ПК14 – ПК 16 радиус вертикальной выпуклой кривой максимально приближен к нормативному и составляет 9400 м. Доведение его до 10000 м возможно только в рамках реконструкции с учетом дополнительного отвода земель.
Принятый тип поперечного профиля проезжей части – двускатный с уклоном20‰.
На кривых в плане малого радиуса предусматривается восстановление проезжей части с односкатным поперечным профилем (вираж).
Заложение откосов в насыпях:
- до 3 м – 1:4;
- свыше 3м до 6 м – 1:1.5.
Заложение откосов в выемках:
- внутренний – 1:4;
- внешний – 1:1.5.
В местах устройства прикромочных лотков сопрягающихся с барьерным ограждением заложение откосов в насыпях до 3 м и внутренних откосов выемок принято 1:1.5.
Предусмотрено восстановление параметров земляного полотна до ранее существующих, соответствующих III технической категории (ширина земполотна – 12.0 м (СНиП 2.05.02-85)).
Откосы земляного полотна укрепляются засевом трав по слою плодородного грунта толщиной 0.15 м.
2.3 Разработка конструкции дорожной одежды
2.3.1 Исходные данные
При разработке проекта были приняты следующие технические нормативы:
Категория дороги - III
Ширина земляного полотна - 12 м
Ширина проезжей части - 2х3.5 м
Число полос движения - 2
Ширина обочин - 2.5 м
Тип дорожной одежды - капитальный
Вид покрытия - асфальтобетон
Расчетные нагрузки для искусственных сооружений - А-14; НК-102,8
Расчетная нагрузка для дорожной одежды - АК-10
Расчетная нагрузка для земляного полотна - НК-60
Наименьший радиус кривых в плане – 600 м
Наименьший радиус кривых в продольном профиле:
а) выпуклых – 10000 м
б) вогнутых - 3000м
Максимальный продольный уклон - 50%о
Наименьшее расстояние видимости:
а) для остановки - 200 м;
б) встречного автомобиля - 350 м.
2.3.2 Расчет базового варианта дорожной одежды
Расчёт дорожной одежды выполнен по ОДН 218.046-01 на перспективный период 15 лет. Требуемый модуль упругости конструкции – 200 МПа.
Проектом предусмотрено усиление существующей конструкции дорожной одежды с частичным фрезерованием покрытия и устройством выравнивающих слоёв дорожной одежды, уширение и устройство новой дорожной одежды.
Расчётная нагрузка для расчёта дорожной одежды и проверки устойчивости земляного полотна -115 кН.
Принимая во внимание существующую дорожную одежду и требования нормативно – технической документации, а также результаты расчётов были приняты конструкции, отвечающие требованиям надёжности, экономичности и обеспечивающие возможность максимальной механизации при строительстве.
В проекте рассмотрено семь вариантов конструкций дорожной одежды, в результате технико-экономического сравнения вариантов и письма ФГУ Упрдор “Кола” № И-458/7 от 16.04.07 о согласовании конструкции дорожной одежды принят вариант № 1:
Устройство новой дорожной одежды
- Eтр – 200 МПа
- ЩМА-20 на вязком битуме БНД и БН: 60/90 E=3200 МПа – 5см;
- Асфальтобетон горячий пористый мелкозернистый марки 1 на вязком битуме БНД и БН: 60/90 E=2000 МПа – 7см;
- Щебень фр. 40-80мм трудноуплотняемый (гранитный) с заклинкой фракционированным мелким щебнем E=350 МПа – 15 см;
- Щебеночные смеси с непрерывной гранулометрией при максимальном размере зерен 80 мм E=260 МПа – 22 см;
- песок средней крупности – 30 см
Обочины укрепляются:
- на ширину 2,0 м - щебнем толщиной слоя 10 см с расклинцовкой асфальтобетонной крошкой (материал от фрезерования покрытия) толщиной слоя 2 см;
- на ширину 0,5 м – засевом трав по слою плодородного грунта толщиной 10 см.
Таблица 2.3.2.1 – Расчетная схема дорожной одежды на уширение
| № | Расчёт по упругому прогибу, МПа | Толщина слоя, см | Материал слоя |
| 1 | 2 | 3 | 4 |
| 1 | 3200 | 5 | ЩМА-20 на вязком битуме БНД и БН |
| 2 | 2000 | 7 | Асфальтобетон горячий пористый мелкозернистый марки 1 на вязком битуме БНД и БН |
| 3 | 350 | 15 | Щебень фр. 40-80мм трудноуплотняемый (гранитный) с заклинкой фракционированным мелким щебнем |
| 4 | 260 | 22 | Щебеночные смеси с непрерывной гранулометрией при максимальном размере зерен 80 мм |
| 5 | 160 | 30 | Песок средней крупности – ГОСТ 8736-93 |
Расчет по допускаемому упругому прогибу:
1) 
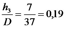
По приложению 1 табл. П.1.1 ОДН 218.046-01: р = 0,6 МПа, D = 37 см


Мпа
2) 


Мпа
3) 


Мпа
4) 


Мпа
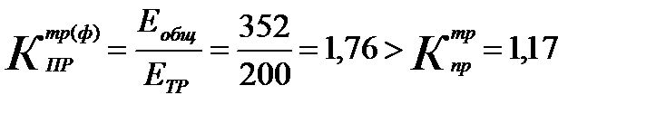
Определяют коэффициент прочности по упругому прогибу:
Следовательно, выбранная конструкция удовлетворяет условию прочности
по допускаемому упругому прогибу.
Рассчитываем конструкцию по условию сдвигоустойчивости в грунте:
Действующие в грунте активные напряжения сдвига вычисляем по формуле:
, (2.3.2.1)
где,
- удельное активное напряжение сдвига от единичной нагрузки, определяемое по номограммам;
- расчётное давление от колеса на покрытие,
МПа;
Для определения
предварительно назначенную дорожную конструкцию приводим к двухслойной расчетной модели.
МПа
По отношениям
и
, и с помощью номограммы находим удельное активное напряжение сдвига:
= 0,018 МПа.
Таким образом:
Т = 0,018×0,6 = 0,0108 МПа.
Предельное активное напряжение сдвига Тпр в песчаном слое определяем по формуле:
, (2.3.2.2)
где,
- сцепление в грунте земляного полотна (или в промежуточном слое), принимаемое с учётом повторности нагрузки,
МПа;
- коэффициент, учитывающий особенности работы конструкции на границе песчаного слоя с нижним слоем несущего основания,
;
- средневзвешенный удельный вес конструктивных слоёв, расположенных выше проверяемого слоя,
кг/см3
- глубина расположения поверхности слоя, проверяемого на сдвигоустойчивость, от верха конструкции,
см;
- расчётная величина угла внутреннего трения материала проверяемого слоя при статистическом действии нагрузки,
;
Тпр = 0,004×4 + 0,1×0,002×49×tg
= 0,022 МПа
> 
Рассчитываем конструкцию на сопротивление монолитных слоев усталостному разрушению от растяжения при изгибе:
, (2.3.2.3)
где
-прочность материала слоя на растяжение при изгибе с учетом усталостных явлений;
σ-наибольшее растягивающее напряжение от действия подвижной нагрузки;
Ro-нормативное предельное сопротивление от растяжения, МПа;
К1-коэффициент учитывающий снижение прочности в следствии усталостных явлений от многократного нагружения.
(2.3.2.4)
где α - коэф. учитывающий различие лабораторных испытаний от реальных α = 5,2(ОДН 218.046-01);
m - показатель степени, зависит от свойств материала монолитного слоя m = 5,5(ОДН 218.046-01).
– коэффициент, учитывающий снижение прочности монолитных слоев от погодно-климатических условий,
=0,9(ОДН 218.046-01, таблица 3.6);
νr –коэффициент вариации , νr = 0,1(ОДН 218.046-01, приложение 4);
t – коэффициент, учитывающий нормативное отклонение, t =1,71(ОДН 218.046-01, приложение 4).

МПа
МПа





Проверка дорожной конструкции на морозоустойчивость:
В районах сезонного промерзания грунтов земляного полотна при неблагоприятных грунтовых и гидрологических условиях, наряду с требуемой прочностью и устойчивостью должна быть обеспечена достаточная морозоустойчивость дорожных одежд.
Земляное полотно в основном возведено из флювиогляциальных отложений, которые в литологическом отношении представлены разнозернистыми неоднородными песками, местами нижняя часть высоких насыпей отсыпана из валунных грунтов с заполнителем песком пылеватым. Верх рабочего слоя отсыпан из песков средней крупности, песков крупных и гравелистых, на отдельных участках в песках встречаются включения гравия от 5% до 25%, грунт слежавшийся и в зависимости от коэффициента пористости находится в среднем и плотном состоянии.
Так как рабочий слой выполнен из непучинистых материалов, расчет на морозоустойчивость не выполняется.
Усиление дорожной одежды
Eтр – 200 МПа
- Щебеночно-мастичный асфальтобетон -20 - 5 см;
- асфальтобетон из горячей пористой крупнозернистой смеси I марки – 7 см;
- выравнивающий слой из горячей пористой мелкозернистой асфальтобетонной смеси I марки – средней толщиной 7 см ;
- существующая дорожная одежда.
- Eрасч – 202 МПа
Таблица 2.3.2.2 – Расчетная схема дорожной одежды на усиление
| № | Расчёт по упругому прогибу, МПа | Толщина слоя, см | Материал слоя |
| 1 | 2 | 3 | 4 |
| 1 | 3200 | 5 | ЩМА-20 |
| 2 | 2000 | 7 | Асфальтобетон из горячей пористой крупнозернистой смеси I марки ГОСТ 9128-97 |
| 3 | 2000 | 7 | Асфальтобетон из горячей пористой мелкозернистой смеси I марки ГОСТ 9128-97 |
| 4 | 350 | 15 | Щебень фр. 40-80мм трудноуплотняемый (гранитный) с заклинкой фракционированным мелким щебнем |
| 5 | 260 | 22 | Щебеночные смеси с непрерывной гранулометрией при максимальном размере зерен 80 мм |
| 6 | 160 | 30 | Песок средней крупности – ГОСТ 8736-93 |
Расчет по допускаемому упругому прогибу:
1) 
По приложению 1 табл. П.1.1 ОДН 218.046-01: р = 0,6 МПа, D = 37 см


МПа
2) 


МПа
3) 


МПа
4) 


МПа
5) 


МПа
Определяют коэффициент прочности по упругому прогибу:
Следовательно, выбранная конструкция удовлетворяет условию прочности
по допускаемому упругому прогибу.
Рассчитываем конструкцию по условию сдвигоустойчивости в грунте:
Действующие в грунте активные напряжения сдвига вычисляем по формуле:
,
где,
- удельное активное напряжение сдвига от единичной нагрузки, определяемое по номограммам;
- расчётное давление от колеса на покрытие,
МПа;
Для определения
предварительно назначенную дорожную конструкцию приводим к двухслойной расчетной модели.
МПа
По отношениям
и
, и с помощью номограммы находим удельное активное напряжение сдвига:
= 0,020 МПа.
Таким образом:
Т = 0,020×0,6 = 0,012 МПа.
Предельное активное напряжение сдвига Тпр в песчаном слое определяем по формуле:
,
где,
- сцепление в грунте земляного полотна (или в промежуточном слое), принимаемое с учётом повторности нагрузки,
МПа;
- коэффициент, учитывающий особенности работы конструкции на границе песчаного слоя с нижним слоем несущего основания,
;
- средневзвешенный удельный вес конструктивных слоёв, расположенных выше проверяемого слоя,
кг/см3
- глубина расположения поверхности слоя, проверяемого на сдвигоустойчивость, от верха конструкции,
см;
- расчётная величина угла внутреннего трения материала проверяемого слоя при статистическом действии нагрузки,
;
Тпр = 0,004×4 + 0,1×0,002×64,2×tg
= 0,022 МПа
> 
Рассчитываем конструкцию на сопротивление монолитных слоев усталостному разрушению от растяжения при изгибе:
, (2.3.2.3)
где
-прочность материала слоя на растяжение при изгибе с учетом усталостных явлений;
σ-наибольшее растягивающее напряжение от действия подвижной нагрузки;
Ro-нормативное предельное сопротивление от растяжения, МПа;
К1-коэффициент учитывающий снижение прочности в следствии усталостных явлений от многократного нагружения.
(2.3.2.4)
где α - коэф. учитывающий различие лабораторных испытаний от реальных α = 5,2(ОДН 218.046-01);
m - показатель степени, зависит от свойств материала монолитного слоя m = 5,5(ОДН 218.046-01).
– коэффициент, учитывающий снижение прочности монолитных слоев от погодно-климатических условий,
=0,9(ОДН 218.046-01, таблица 3.6);
νr –коэффициент вариации , νr = 0,1(ОДН 218.046-01, приложение 4);
t – коэффициент, учитывающий нормативное отклонение, t =1,71(ОДН 218.046-01, приложение 4).

МПа
МПа





Проверка дорожной конструкции на морозоустойчивость:
В районах сезонного промерзания грунтов земляного полотна при неблагоприятных грунтовых и гидрологических условиях, наряду с требуемой прочностью и устойчивостью должна быть обеспечена достаточная морозоустойчивость дорожных одежд.
Земляное полотно в основном возведено из флювиогляциальных отложений, которые в литологическом отношении представлены разнозернистыми неоднородными песками, местами нижняя часть высоких насыпей отсыпана из валунных грунтов с заполнителем песком пылеватым. Верх рабочего слоя отсыпан из песков средней крупности, песков крупных и гравелистых, на отдельных участках в песках встречаются включения гравия от 5% до 25%, грунт слежавшийся и в зависимости от коэффициента пористости находится в среднем и плотном состоянии.
Так как рабочий слой выполнен из непучинистых материалов, расчет на морозоустойчивость не выполняется.
2.3.3 Расчет проектного варианта дорожной одежды
Устройство новой дорожной одежды:
- Eтр – 200 МПа
- асфальтобетон из горячей плотной мелкозернистой смеси II марки типа Б - 5 см;
- асфальтобетон из горячей пористой крупнозернистой смеси I марки – 6 см;
- щебень фракционированный 1-3 класса уложенный по способу заклинки с расклинцовкой – 15 см;
- песчано- гравийно-щебеночная смесь – 20 см;
- песок средней крупности – 60 см
Укрепление обочин производится щебнем (20%) с добавлением ФАМ ( 80%) толщиной 0,20 м
Таблица 2.3.3.1 – Расчетная схема дорожной одежды
| № | Расчёт по упругому прогибу, МПа | Толщина слоя, см | Материал слоя |
| 1 | 2 | 3 | 4 |
| 1 | 3200 | 5 | Асфальтобетон из горячей плотной мелкозернистой смеси IIмарки типа Б-ГОСТ 9128-97 |
| 2 | 2000 | 6 | Асфальтобетон из горячей пористой крупнозернистой смеси I марки ГОСТ 9128-97 |
| 3 | 350 | 15 | Щебень фракционированный по способу заклинки ГОСТ 9128-97 |
| 4 | 275 | 20 | ЩПГС С-4 ГОСТ 9128-97 |
| 5 | 120 | 60 | Песок средней крупности – ГОСТ 8736-93 |
Расчет по допускаемому упругому прогибу:
1) 
р = 0,6 МПа, D = 37 см


МПа
2) 


МПа
3) 


МПа
4) 


МПа
Определяют коэффициент прочности по упругому прогибу:
Следовательно, выбранная конструкция удовлетворяет условию прочности
по допускаемому упругому прогибу.
Рассчитываем конструкцию по условию сдвигоустойчивости в грунте:
Действующие в грунте активные напряжения сдвига вычисляем по формуле:
,
где,
- удельное активное напряжение сдвига от единичной нагрузки, определяемое по номограммам;
- расчётное давление от колеса на покрытие,
МПа;
Для определения
предварительно назначенную дорожную конструкцию приводим к двухслойной расчетной модели.
МПа
По отношениям
и
, и с помощью номограммы находим удельное активное напряжение сдвига:
= 0,035 МПа.
Таким образом:
Т = 0,035×0,6 = 0,021 МПа.
Предельное активное напряжение сдвига Тпр в песчаном слое определяем по формуле:
,
где,
- сцепление в грунте земляного полотна (или в промежуточном слое), принимаемое с учётом повторности нагрузки,
МПа;
- коэффициент, учитывающий особенности работы конструкции на границе песчаного слоя с нижним слоем несущего основания,
;
- средневзвешенный удельный вес конструктивных слоёв, расположенных выше проверяемого слоя,
кг/см3
- глубина расположения поверхности слоя, проверяемого на сдвигоустойчивость, от верха конструкции,
см;
- расчётная величина угла внутреннего трения материала проверяемого слоя при статистическом действии нагрузки,
;
Тпр = 0,004×4 + 0,1×0,002×46×tg
= 0,0213 МПа
> 
Рассчитываем конструкцию на сопротивление монолитных слоев усталостному разрушению от растяжения при изгибе
,
где
-прочность материала слоя на растяжение при изгибе с учетом усталостных явлений;
σ-наибольшее растягивающее напряжение от действия подвижной нагрузки;
Ro-нормативное предельное сопротивление от растяжения, МПа;
К1-коэффициент учитывающий снижение прочности в следствии усталостных явлений от многократного нагружения.

где α - коэф. учитывающий различие лабораторных испытаний от реальных(5,2);
m - показатель степени зависит от свойств материала монолитного слоя (5,5).

МПа
МПа





Проверка дорожной конструкции на морозоустойчивость:
В районах сезонного промерзания грунтов земляного полотна при неблагоприятных грунтовых и гидрологических условиях, наряду с требуемой прочностью и устойчивостью должна быть обеспечена достаточная морозоустойчивость дорожных одежд.
Земляное полотно в основном возведено из флювиогляциальных отложений, которые в литологическом отношении представлены разнозернистыми неоднородными песками, местами нижняя часть высоких насыпей отсыпана из валунных грунтов с заполнителем песком пылеватым. Верх рабочего слоя отсыпан из песков средней крупности, песков крупных и гравелистых, на отдельных участках в песках встречаются включения гравия от 5% до 25%, грунт слежавшийся и в зависимости от коэффициента пористости находится в среднем и плотном состоянии.
Так как рабочий слой выполнен из непучинистых материалов, расчет на морозоустойчивость не выполняется.
