Расчет балки на прочность
Определение реакций опор

Проверка:
SmB = 0; 80 – 70 · 8 + 20 · 6 · 5 – 20 – 50 · 2 = 0; 0 = 0.
(Верно)
Построение эпюр Qy, Mz
Балка имеет четыре грузовых участка.
1-й грузовой участок: 0 ≤ х ≤ 2 м.
SY = 0
, Qy = 0;
SmO = 0, 4 · M + Mz = 0,
Mz = –4 · M = –80 кН·м.
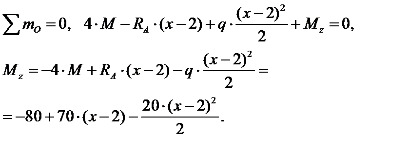
2-й грузовой участок: 2 м ≤ х ≤ 8 м.
|
|
|
|
SY = 0,
RA – q · (x – 2) – Qy = 0,
|
|

х = 2 м, Qy = 70 кН;
х = 8 м, Qy = – 50 кН
(так как Qy на участке меняет знак, то Mz имеет экстремум).

Найдем положение экстремума:
x = 5,5 м,
х = 2 м, Mz = –80 кН×м;
х = 5,5 м, Mz = 42,5 кН×м;
х = 8 м, Mz = –20 кН×м.
Для грузовых участков 3 и 4 вычисление Mz и Qy выполнять аналогично, рассматривая правую отсеченную часть балки.
Эпюры Qy и Mz показаны на рис. 4.22.
Определение положения опасных сечений
· 1-е опасное сечение:
кН×м;
· 2-е опасное сечение:
кН;
· 3-е опасное сечение: Mz = – 100 кН×м; Qy = 50 кH.
Определение размеров поперечных сечений балки
Из условия прочности по нормальным напряжениям в опасных точках D (рис. 4.23, 4.24) 1-го опасного сечения определим требуемый момент сопротивления:
= 0,5·10–3 м3 = 500 см3,
= 500 см3.
Поперечное сечение варианта (а) (см. рис. 4.23) состоит из двух швеллеров. Для одного швеллера Wz =
= 250 см3.
По ГОСТ 8240-89 находим:
[ № 24, Wz = 242 см3;
2 [ № 24, Wz = 484 см3.

Рис. 4.23

Рис. 4.24
Проверяем прочность принятого сечения по нормальным напряжениям:

Перенапряжение

что допустимо.
Проверка прочности по касательным напряжениям в опасной точке С (см. рис. 3.4) 2-го опасного сечения (чистый сдвиг):


Значение Sz для точки С, расположенной на нейтральной оси, берем из того же ГОСТ 8240-89.
Проверка прочности в опасной точке K (см. рис. 4.23) 3-го опасного сечения, где имеет место плоское напряженное состояние:
189,7 МПа;
15,9 МПа.
По гипотезе прочности наибольших касательных напряжений имеем:
. Для балки при прямом поперечном изгибе получим:

192,4 МПа < 200 МПа.
По энергетической гипотезе прочности имеем:

191,7 МПа < 200 МПа.
Следовательно, прочность материала балки во всех точках обеспечена.
Рассмотрим расчет сварной балки – вариант (б) с поперечным сечением, показанным на рис. 4.24.
Определим положение центра тяжести сечения:

Вычислим момент инерции:

Момент сопротивления

Из условия прочности по нормальным напряжениям в опасной точке D (см. рис. 4.24) 1-го опасного сечения требуемый момент сопротивления равен
= 464,2d 3 = 500.
Отсюда
.
В соответствии с найденной величиной
принимаем размеры поперечного сечения с округлением до 1 мм (см. рис. 4.24). Пересчитав характеристики сечения, получим: Iz = 9017,6 см4, Wz = 503,8 см3. Напряжение smax = 198,5 МПа < R = 200 МПа.
Проверка прочности по касательным напряжениям в опасной точке С (рис. 4.25) 2-го опасного сечения:
;
32,2 МПа < 120 МПа,
т.е. условие прочности в точке С выполнено.

Рис. 4.25
Проверка прочности в опасной точке K (см. рис. 4.25) 3-го опасного сечения, где имеет место плоское напряженное состояние:

= –175,2 МПа,
16,1 МПа.
По гипотезе прочности наибольших касательных напряжений имеем:

178,1 МПа < 200 МПа.
По энергетической теории прочности получим:

177,4 МПа < 200 МПа.
Условие прочности в точке K выполнено.
Расчет по предельной несущей способности (поперечное сечение приведено на рис. 4.26).

| Рис. 4.26 |
Дано:
= 240 МПа, k = 1,2.
Определить размер
.
Площадь поперечного сечения равна

Нейтральная ось z1 не проходит через центр тяжести сечения и делит площадь поперечного сечения А на две равновеликие
площади:

Предельный момент в пластическом шарнире имеет выражение
Mlim = s s·Ws.
Пластический момент сопротивления

Из условия прочности по предельной нагрузке

d3 = 0,780 см3; d = 0,920 см.
Сопоставив результаты расчетов методами расчетного сопротивления (d = 1,025 см) и предельной несущей способности (d = 0,920 см), увидим, что более экономичное сечение получается при расчете методом предельного равновесия.

