4. Определение атрибутов и наборов их значений (доменов).
5. Организация данных в виде отношений "сущность-связь".
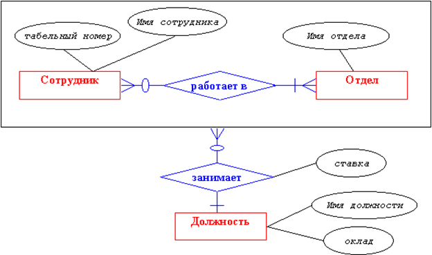
Пример:


7. Обор нотаций, используемых при построении диаграмм «сущность-связь».
Нотация Чена
Связь соединяется с ассоциируемыми сущностями линиями. Возле каждой сущности на линии, соединяющей ее со связью, цифрами указывается класс принадлежности.
Список атрибутов приводится внутри прямоугольника, обозначающего сущность. Ключевые атрибуты подчеркиваются. Связи изображаются линиями, соединяющими сущности, вид линии в месте соединения с сущностью определяет кардинальность связи:
Имя связи указывается на линии ее обозначающей.
Нотация IDEF1X
Список атрибутов приводится внутри прямоугольника, обозначающего сущность. Атрибуты, составляющие ключ сущности, группируются в верхней части прямоугольника и отделяются горизонтальной чертой.
Обозначения связей:

Обозначение кардинальности связей:

Нотация Баркера
Сущности обозначаются прямоугольниками, внутри которых приводится список атрибутов. Ключевые атрибуты отмечаются символом # (решетка). Связи обозначаются линиями с именами, место соединения связи и сущности определяет кардинальность связи:

Для обозначения отношения категоризации вводится элемент "дуга":

8. Иерархическая модель данных. Структура данных. Операции над данными. Ограничения целостности.
Структура данных
Организация данных в СУБД иерархического типа определяется в терминах: элемент, агрегат, запись (группа), групповое отношение, база данных.
Атрибут (элемент данных)- наименьшая единица структуры данных. Обычно каждому элементу при описании базы данных присваивается уникальное имя. По этому имени к нему обращаются при обработке. Элемент данных также часто называют полем.
Запись - именованная совокупность атрибутов. Использование записей позволяет за одно обращение к базе получить некоторую логически связанную совокупность данных. Именно записи изменяются, добавляются и удаляются. Тип записи определяется составом ее атрибутов. Экземпляр записи - конкретная запись с конкретным значением элементов.
Групповое отношение - иерархическое отношение между записями двух типов. Родительская запись (владелец группового отношения) называется исходной записью, а дочерние записи (члены группового отношения) - подчиненными. Иерархическая база данных может хранить только такие древовидные структуры.
Операции над данными, определенные в иерархической модели:
- ДОБАВИТЬ в базу данных новую запись. Для корневой записи обязательно формирование значения ключа.
- ИЗМЕНИТЬ значение данных предварительно извлеченной записи. Ключевые данные не должны подвергаться изменениям.
- УДАЛИТЬ некоторую запись и все подчиненные ей записи.
- ИЗВЛЕЧЬ:
– извлечь корневую запись по ключевому значению, допускается также последовательный просмотр корневых записей
– извлечь следующую запись (следующая запись извлекается в порядке левостороннего обхода дерева)
Ограничения целостности.
Поддерживается только целостность связей между владельцами и членами группового отношения (никакой потомок не может существовать без предка). Как уже отмечалось, не обеспечивается автоматическое поддержание соответствия парных записей, входящих в разные иерархии.
9. Сетевая модель данных. Структура данных. Операции над данными. Ограничения целостности.
Структура данных.
Сетевая модель данных определяется в тех же терминах, что и иерархическая. Она состоит из множества записей, которые могут быть владельцами или членами групповых отношений. Связь между записью-владельцем и записью-членом также имеет вид 1:N.
Основное различие этих моделей состоит в том, что в сетевой модели запись может быть членом более чем одного группового отношения. Согласно этой модели каждое групповое отношение именуется и проводится различие между его типом и экземпляром. Тип группового отношения задается его именем и определяет свойства общие для всех экземпляров данного типа. Экземпляр группового отношения представляется записью-владельцем и множеством (возможно пустым) подчиненных записей. При этом имеется следующее ограничение: экземпляр записи не может быть членом двух экземпляров групповых отношений одного типа.
Операции над данными.
ДОБАВИТЬ - внести запись в БД и, в зависимости от режима включения, либо включить ее в групповое отношение, где она объявлена подчиненной, либо не включать ни в какое групповое отношение.
ВКЛЮЧИТЬ В ГРУППОВОЕ ОТНОШЕНИЕ - связать существующую подчиненную запись с записью-владельцем.
ПЕРЕКЛЮЧИТЬ - связать существующую подчиненную запись с другой записью-владельцем в том же групповом отношении.
ОБНОВИТЬ - изменить значение элементов предварительно извлеченной записи.
ИЗВЛЕЧЬ - извлечь записи последовательно по значению ключа, а также используя групповые отношения - от владельца можно перейти к записям - членам, УДАЛИТЬ - убрать из БД запись. Если эта запись является владельцем группового отношения, то анализируется класс членства подчиненных записей. Обязательные члены должны быть предварительно исключены из группового отношения, фиксированные удалены вместе с владельцем, необязательные останутся в БД.
ИСКЛЮЧИТЬ ИЗ ГРУППОВОГО ОТНОШЕНИЯ - разорвать связь между записью-владельцем и записью-членом, а от подчиненной записи к владельцу набора.
Ограничения целостности.
Как и в иерархической модели обеспечивается только поддержание целостности по ссылкам (владелец отношения - член отношения).
10. Реляционная модель данных. Структура данных. Отношения. Свойство отношений.
Структура данных
В реляционной модели достигается гораздо более высокий уровень абстракции данных, чем в иерархической или сетевой. В упомянутой статье Е.Ф.Кодда утверждается, что "реляционная модель предоставляет средства описания данных на основе только их естественной структуры, т.е. без потребности введения какой-либо дополнительной структуры для целей машинного представления". Другими словами, представление данных не зависит от способа их физической организации.
Отношение: Отношением R, определенным на множествах D1,D2,…,Dn называется подмножество декартова произведения D1*D2*…*Dn . При этом:
– множестваD1,D2,…,Dn называются доменами отношения;
– элементы декартова произведения d1*d2*…*dn называются кортежами;
– числоn определяет степень отношения ( n=1 - унарное, n=2 - бинарное, ..., n-арное);
– количество кортежей называется мощностью отношения.
Свойства отношений
Свойства отношений непосредственно следуют из приведенного выше определения отношения. В этих свойствах в основном и состоят различия между отношениями и таблицами.
- Отсутствие кортежей-дубликатов. Из этого свойства вытекает наличие у каждого кортежа первичного ключа. Для каждого отношения, по крайней мере, полный набор его атрибутов является первичным ключом. Однако, при определении первичного ключа должно соблюдаться требование "минимальности", т.е. в него не должны входить те атрибуты, которые можно отбросить без ущерба для основного свойства первичного ключа - однозначно определять кортеж.
- Отсутствие упорядоченности кортежей.
- Отсутствие упорядоченности атрибутов. Для ссылки на значение атрибута всегда используется имя атрибута.
- Атомарность значений атрибутов, т.е. среди значений домена не могут содержаться множества значений (отношения).
Замечание. Из свойств отношения следует, что не каждая таблица может задавать отношение. Для того, чтобы некоторая таблица задавала отношение, необходимо, чтобы таблица имела простую структуру (содержала бы только строки и столбцы, причем, в каждой строке было бы одинаковое количество полей), в таблице не должно быть одинаковых строк, любой столбец таблицы должен содержать данные только одного типа, все используемые типы данных должны быть простыми.
11. Целостность реляционных данных. Null – значения. Трехзначная логика. Потенциальные ключи. Целостность сущностей.
