Рис 2.1. Индикаторная диаграмма и цикл ДВС с подводом теплоты при .
Глава 2
Циклы поршневых двигателей внутреннего сгорания
Двигатель внутреннего сгорания (ДВС) – это тепловой двигатель, у которого топливо сжигается внутри машины. (Турбины и паровые машины относятся к двигателям внешнего сгорания, так как у них топливо сжигается вне машины).
Индикаторная диаграмма – это результаты регистрации абсолютного давления внутри цилиндра ДВС и соответствующего изменения объема, полученные с помощью особых приборов – индикаторов.
Таким образом, индикаторная диаграмма отображает реальное необратимое изменение этих термодинамических параметров. Необратимость обусловлена действием сил трения, теплообменном при конечной разности температур, конечной скоростью движения поршня и т. д. По индикаторной диаграмме определяют индикаторные параметры двигателя: КПД, мощность, работу, удельный расход топлива. Индикаторная диаграмма не является термодинамическим циклом , поэтому не позволяет достаточно просто определять термодинамические параметры состояния рабочего тела. Для расчета ДВС применяются идеальные обратимые циклы, поэтому принимаются следующие допущения:
1. Рабочее тело – идеальный газ с постоянной теплоемкостью (
= Const,
);
2. Масса рабочего тела в цикле не изменяется;
3. Отсутствуют механические потери (потери на трение) и потери теплоты от стенок и с охлаждающей водой;
4. Процесс горения топлива заменяется обратимым процессом подвода теплоты
извне;
5. Процесс уноса теплоты при удалении продуктов сгорания из цилиндра двигателя заменяется обратимым отводом теплоты
.
Эти допущения позволяют заменить реальный процесс работы ДВС обратимым термодинамическим циклом и выполнить необходимые термодинамические расчеты.
2.1 Цикл ДВС с подводом теплоты при постоянном объеме (цикл Отто)
Горючая смесь – смесь топлива с воздухом.
Этот цикл впервые был использован немецким инженером Отто в бензиновом двигателе, созданном им в 1877г.
Рис 2.1. Индикаторная диаграмма и цикл ДВС с подводом теплоты при
.
Рабочий процесс ДВС складывается из четырех ходов (тактов ) поршня, совершаемых за два оборота кривошипа (коленвала).
Первый оборот коленвала:
Такт 1 (процесс 0-1) – всасывание горючей смеси(
).
Такт 2 – адиабатное сжатие горючей смеси (процесс 1-2), воспламенение и мгновенное сгорание горючей смеси при
(процесс 2-3).
Второй оборот коленвала:
Такт 3 (процесс 3-4) – адиабатное расширение продуктов сгорания топлива и открытие выхлопного клапана в точке 4.
Такт 4 (процесс 4-0) – удаление из цилиндра продуктов сгорания (выхлоп) при
(
).
Как следует из рис.2.1.,реальные процессы 4-0 (выхлоп) и 0-1 (всасывание) в обратимом термодинамическом цикле (
) заменяются процессом изохорного
) отвода теплоты
.
Введем обозначения:
Степень сжатия
(2.1.)
- это отношение полного объема цилиндра
к объему камеры сгорания 
Степень повышения давления
(2.2.)
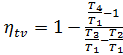
Термический КПД определяется по общей формуле

Удельная подведенная теплота в изохорном процессе 2-3

Удельная отведенная теплота в изохорном процессе 4-1

Тогда

Выразим термодинамические параметры рабочего тела в точках 2,3,4 через параметры точки 1 (начальные параметры)
Точка 2
Для адиабатного процесса 1-2 из уравнения Пуассона 
откуда
, или
(2.3.)
Из уравнения

(2.4.)
Точка 3
Из уравнений (2.2.) и (2.3.)
(2.5.)
B изохорном процессе 2-3
, откуда из уравнения (2.4.)
(2.6.)
Точка 4
Для адиабатного процесса 3-4,
, откуда из уравнения(2.5.)

или
(2.7.)
Из уравнения
и уравнения(2.6.)

или
(2.8.)
Подставляя (2.8.) и (2.6.) в формулу для
, получим

или
(2.9.)
Из формулы (2.9.) следует, что увеличение
и k приводит к увеличению термического КПД ДВС.
Анализ формулы (2.9.) показал, что увеличение ε свыше значений 10….12 больше не дает эффективного повышения
. Кроме того, при больших степенях сжатия топливная смесь может самовоспламениться из-за значительного повышения температуры или даже сдетонировать. Детонация – это не нормальное, а взрывное горение топлива.
Антидетонационные свойства зависят от сорта топлива, поэтому предельное значение степени сжатия ε зависят от сорта применяемого топлива. ( Детонационная стойкость топлива характеризуется его октановым числом.)
Обычно степень сжатия находится в пределах от 4 до 9. Такие циклы используются в карбюраторных ДВС.
Работа цикла ДВС с подводом теплоты
при 
;
или
(2.10.)
где
(2.11.)
На рис 2.2. представлен термодинамический цикл 1кг рабочего тела ДВС с подводом теплоты при 
Отводимая теплота
на T-S диаграмме представляет собой площадь 1-4-с-a-1

или
(2.12.)
Рис 2.2 Обратимый термодинамический
Цикл ДВС с подводом теплоты при
(цикл Отто)
2.2 Цикл ДВС с подводом теплоты при постоянном давлении
(цикл Дизеля)
Невысокие значения термического КПД ДВС, работающих по циклу с
обусловлены малыми допустимыми значениями степени сжатия ε(до ε ≈9).
В 1893 году немецкий инженер Рудольф Дизель получил немецкий патент на ДВС, работающий при высоких степенях сжатия (до ε ≈20). В цикле Дизеля воздух и топливо сжимаются раздельно и лишь затем смешиваются, образуя горючую смесь, которая самовоспламеняется.
Двигатели, работающие по циклу Рудольфа Дизеля, называются дизелями. Общепринято определять дизель, как поршневой ДВС с воспламенением от сжатия.
В цикле Дизеля воздух поступает в цилиндр ДВС и сжимается без топлива поршнем до ε= 14..18. При адиабатном сжатии атмосферного воздуха до ε=14..18 его давление в конце процесса сжатия повышается до 3..4 МПа, а температура – до 500..800 °С. В конце сжатия воздуха (ВМТ) в цилиндр подается жидкое топливо, распыленное в форсунках воздухом из специального компрессора под давлением 5..9 МПа. (Такие дизели называют компрессорными дизелями). Внутри цилиндра при этом образуется горючая смесь топлива и сжатого воздуха, которая самовоспламеняется вследствие высокой температуры воздуха. После самовоспламенения горючей смеси и начала движения поршня из ВМТ подача топлива в цилиндр не прекращается. Такой режим сжигания горючей смеси при одновременном увеличении объема, освобождаемого поршнем, обеспечивает практически изобарный процесс горении. Регулировка режима горения осуществляется топливной форсункой. На рис 2.3. изображена теоретическая индикаторная диаграмма компрессионого дизеля.
Цикл Д изеля на P-V и T-S диаграммах представлен на рис 2.4.
Рис. 2.3.Теоретическая
индикаторная диаграмма
компрессионного дизеля.
