2.(линейность) Если , и сходятся ,то сходится и равен
3.Если
и
сходятся, f(x)
g(x)
,то 
4. Если существуют
и
, то существует. 
КРИТЕРИЙ КОШИ СХОДИМОСТИ ИНТЕГРАЛА.
Для сходимости интеграла
необходимо и достаточно выполнения условия :

ДОК. Сходимость интеграла равносильна существованию предела
, где
- первообразная функции
на
. Для существования
необходимо и достаточно по критерию Коши для предела функции, чтобы
.
Сформулируем теоремы сравнения 1 и 2 для несобственных интегралов на
.
Признак сравнения по неравенству. Пусть функции f(x) и g(x) интегрируемы по любому отрезку [a,b] и при
удовлетворяют неравенствам
. Тогда:
если сходится интеграл
, то сходится интеграл
;
если расходится интеграл
, то расходится интеграл 
Док-во:g(x)≥0,
xϵ[a,+
) Покажем, что Ф(b)=
неубывает. Пусть b1<b2,Ф(b2)=
Пусть
сходится
=> 

неубывает и ограниченно сверху
.Пусть
расходится д.п.
сходится
сходится!!!!!!!ПРОТИВОРЕЧИЕ
(Предельный признак сравнения )Пусть f(x) и g(x) определены на [a,
интегрируемы на
если
сходится или расходится одновременно.Док-во:
выберем ɛ так ,что ʎ+ɛ>0.1) пусть
сходится
сходится(свойство линейности)
сходится .
(теорема о сходимости абсолютно сходящегося интеграла) В некоторых приложениях несобственных интегралов возникает необходимость использования углубленного понятия сходимости. (Одно из таких приложений рассматривается в разделе "Интегралы, зависящие от параметра".) С этой целью рассмотрим следующие возможные случаи.
1. Пусть функция f(x) интегрируема на полубесконечном интервале [A, ∞). Если наряду с интегралом
сходится и интеграл
, то интеграл
называется абсолютно сходящимся. Говорят также, что функция f(x) абсолютно интегрируема на промежутке [A, ∞).
2. Если интеграл
сходится, тогда как интеграл
расходится, то интеграл
называется условно сходящимся.
Заметим, что из сходимости интеграла
вытекает сходимость интеграла
, тогда как обратное утверждение является несправедливым.Док-во:Предпологается что функция f(x) определена при
:
т.к.
по условию сходится, то сходится и интеграл
следовательно, по признаку сравнения сходится интеграл
НО тогда сходится интеграл
ЧТД.
Определенный интеграл от неограниченной на отрезке функции не существует; функцию, заданную на неограниченном промежутке, нельзя проинтегрировать по этому промежутку. Эти ограничения оказываются неудобными при рассмотрении многих теоретических и прикладных задач. Поэтому возникает необходимость расширить понятие интеграла. Это делается с помощью дополнительного предельного перехода. Рассмотрим сначала интегралы по неограниченному промежутку.
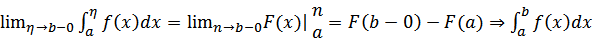
Пусть функция f(x) определена при x > a и интегрируема на любом отрезке [a, b]. Тогда на промежутке [a, +∞) определена функция
Если существует (конечный) предел
то этот предел называется несобственным интегралом (1-го рода) от функции f(x) по промежутку [a, +∞) и обозначается
В случае существования предела последний интеграл называют сходящимся, в противном случае - расходящимся. Если f(x) > 0 и интеграл
сходится, то значение этого интеграла можно истолковать геометрически как площадь бесконечной криволинейной трапеции. Для функции f(x), заданной для x ≤ b и интегрируемой на любом отрезке [a, b], можно рассмотреть несобственный интеграл
Если же функция f(x) определена на всей вещественной прямой и интегрируема на любом отрезке [a, b], то, выбрав произвольно точку c на этом отрезке, можно рассмотреть несобственный интеграл
Такой интеграл считается сходящимся, если существуют оба предела в правой части последнего равенства. Нетрудно проверить, что сходимость (т.е. существование) интеграла
и его значение не зависят от выбора точки c. Из определений несобственных интегралов следует, что для непрерывной функции f(x) в случае сходимости соответствующих интегралов справедливы следующие обобщения формулы Ньютона-Лейбница:
где F(x) - первообразная функции f(x) на соответствующем промежутке


Вопрос 15
(Сформулировать определение несобственного интеграла 2-го рода и признаки сходимости таких интегралов)
Пусть функция f(x) определена на [a, b) и интегрируема на любом отрезке [a.n]
, неограничена при
.Несобственный интеграл от функции f(x) по промежутку [a,b) называется 
называется несобственным интегралом (2-го рода) от неограниченной функции f(x) по промежутку [a, b) и обозначается:
(интеграл
называют сходящимся если предел существует и конечен, и расходящемся есть предел равен бесконечности или не существует).Если F(x) первообразная f(x) на [a,b), то
=
сходится тогда и только тогда когда существует конечный
.
- Теорема (признак сравнения):
Пусть функции f(x) и g(x) интегрируемы на отрезке [a, b] при любом b, и пусть для любого x ≥ a выполняется неравенство 0 ≤ f(x) ≤ g(x).
Тогда из сходимости интеграла
следует сходимость интеграла
, а из расходимости
, следует расходимость 
- Доказательство:
Из неравенства f(x) ≤ g(x) следует, что для любого b

Если второй из этих интегралов сходится, то, ввиду неотрицательности g(x) для некоторой константы C при всех b a выполняется неравенство
. Но тогда из предыдущего неравенства для интегралов следует, что при b ≥ a: 
Если интеграл
расходится, а интеграл
сходится, то мы получаем противоречие с только что доказанным. Поэтому расходимость первого интеграла влечет
расходимость второго, Теорема доказана.
-Теорема (признак сравнения в предельной форме):
Пусть функции f(x) и g(x) положительны при x ≥ a и интегрируемы на любом отрезке [a, b]. Тогда, если существует предел

то интегралы
и
сходятся или расходятся одновременно.
-Доказательство:
В теореме содержатся четыре утверждения. Докажем лишь одно из них: если интеграл
сходится, то сходится и интеграл
. Возьмем
. Тогда при всех x ≥
выполняется неравенство

Т.к.
, то отсюда следует, что при всех указанных x выполняется неравенство
g(x) < f(x). На основании предыдущей теоремы получаем, что сходится интеграл

а тогда сходится и интеграл
. Остальные утверждения теоремы доказываются аналогично. Теорема доказана.
Замечание :
Из этой теоремы вытекает, что если f(x) и g(x) положительны (по крайней мере для достаточно больших x) и являются эквивалентными бесконечно малыми при
, то интегралы от этих функций указанного вида сходятся или расходятся одновременно.
-Теорема (о сходимости абсолютно сходящегося интеграла):
Если интеграл
сходится абсолютно, то он сходится.
-Доказательство:
Здесь, как обычно, предполагается, что функция f(x) определена при x ≥ a и интегрируема на каждом отрезке [a, b]. Напишем очевидное неравенство, верное для любого x ≥ a :

Т.к.
по условию сходится, то сходится и интеграл
. Следовательно, по признаку сравнения сходится интеграл

Но тогда сходится и интеграл

Теорема доказана.
Вопрос 16
(Фигура ограничена кривой y = f ( x ) ≥ 0, прямыми x = a , x = b и y = 0. Вывести формулу для вычисления с помощью определенного интеграла площади этой фигуры)
Рассмотрим вопрос о вычислении площади с помощью определенного интеграла. Выше было установлено, что при f(x) > 0 площадь S соответствующей криволинейной трапеции вычисляется по формуле
Если на отрезке [a, b] функция f(x) неположительная, т.е. f(x) ≤ 0, то, очевидно,
Пользуясь этими замечаниями, нетрудно установить, что если плоская геометрическая фигура ограничена сверху и снизу соответственно графиками непрерывных функций
(x) и
(x),
(x) >
(x), a ≤ x ≤ b, а с боков - отрезками прямых x = a и x = b, то площадь S этой фигуры вычисляется по формуле
Если плоская кривая задана параметрически, т.е. в виде x =
( x ), y =
( x ),
причем
,
, a < b ,
> 0 на [a , b]
то эту же кривую можно задать и явным уравнением y = y ( x ), a ≤ x ≤ b
где y(x) =
;
− функция, обратная по отношению к
(t). Все это хорошо известно из начального курса анализа.Если y(x) > 0, то площадь S соответствующей криволинейной трапеции можно вычислить следующим образом: 
Т.о., в данном случае справедлива формулa
Нетрудно видеть, что при
< 0 эта формула справедлива лишь с точностью до знака; поэтому в общем случае 
Вопрос 17
(Фигура ограничена лучами
,
и кривой
. Здесь r и
– полярные координаты точки, 0 ≤ α < β ≤ 2 π . Вывести формулу для вычисления с помощью определенного интеграла площади этой фигуры)
Криволинейным сектором называется геометрическая фигура, ограниченная отрезками лучей
= α,
= β и кривой r = r(
),
∈ [α, β]
