Минимум и максимум функции называются точками экстремума.
6.1. Производная, её геометрический и физический смысл
Дифференцирование функции – вычисление производной.
Дифференцируемая функция – функция, у которой есть производная.
| Определение производной.
| ||
| Геометрический смысл производной: значение производной функции | ||
| Уравнение касательной к графику функции
Уравнение нормали к графику функции
Нормаль Угол между кривыми
| |
| в точке касательная к графику функции в точке .
в точке касательная параллельна оси Ох. В т. функция достигает максимума:
непрерывна в точке , но в точке нет касательной в точке
при и при (функция возрастает)
при (функция убывает)
| |
| Физический смысл производной: | ||
6.2 Вычисление производной. Дифференциал
I . Правила дифференцирования.
– дифференцируемые функции
1. Константа:
;
2.
;
3. Сумма (разность):
;
4. Произведение: 
5. Константа умножить на функцию:
;
6. Частное:
;
7. Константа разделить на функцию:
.
| II . Таблица производных | ||||||
| Степенные функции 1. 2. 3. 4. Показательные функции 5. 6. Логарифмические функции 7. 8. | Тригонометрические функции 9. 10. 11. 12. Гиперболические функции 13. 14. 15. 16. | Обратные тригонометрические функции 17. 18. 19. 20. | ||||
| Производные высших порядков | ||||||
| Вторая производная n-ая производная | ||||||
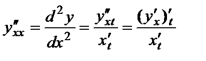
| Производные параметрически заданной функции | ||||||
| Дифференциал | ||||||
|
| 1. Геометрический смысл дифференциала:
2. 3. 4. 5. 6. 7. 8. | |||||
| 9. Формула приближённых вычислений : | ||||||
| Погрешности вычисления Найти
| ||||||
| 6.3 Теоремы о среднем. Правило Лопиталя | ||||||
|
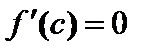
| Теорема Ролля . Функция 1. непрерывна на [a;b]; 2. дифференцируема в интервале (a;b); 3. Тогда существует по крайней мере одна точка Геометрический смысл: касательная к графику функции в точке | |||||
|
| Теорема Лагранжа . Функция 1. непрерывна на [a;b]; 2. дифференцируема в интервале (a;b). Тогда существует по крайней мере одна точка
Геометрический смысл: касательная к графику функции в точке | |||||
| Теорема Коши. Функции 1. непрерывны на [a;b]; 2. дифференцируемы в интервале (a;b); 3. Тогда существует по крайней мере одна точка
| ||||||
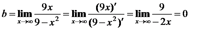
| Раскрытие неопределённостей в пределах | ||||||
| Правило Лопиталя. Функции 1. удовлетворяют условиям теоремы Коши в некоторой окрестности точки 2. | ||||||
| Раскрытие других видов неопределенностей | ||||||
|
| |||||
|
| |||||
|
| |||||
| Формула Тейлора. Функция где Формула Маклорена:
| ||||||
6.4 Приложение производных к исследованию функций
Определение. Функция имеет локальный максимум (минимум) в точке
, если она определена в точке
и некоторой ее окрестности
, и значение функции в точке
больше (меньше), чем ее значение во всех соседних точках: 
.
Минимум и максимум функции называются точками экстремума.
| Определение. Функция | Функция выпукла вверх Функция выпукла вниз | |||
| Исследование по первой производной
| |||
| Исследование по второй производной | ||||
|
| Если вторая производная существует, то в точке максимума В точке перегиба | |||
| План исследования функции | ||||
| 1. Область определения. 2. Чётность: 3. Асимптоты: 1) вертикальные асимптоты вида 4. Точки пересечения с осями: с 5. Интервалы монотонности и точки экстремума (по знаку первой производной 6. Интервалы выпуклости вверх (вниз) и точки перегиба (по знаку второй производной 7. Построение графика. | ||||
| Наибольшее M и наименьшее m значения непрерывной функции, заданной на отрезке [ a ; b ] | ||||
|
Наибольшее и наименьшее значения непрерывной функции, заданной на отрезке | ||||
6.5 Примеры решения задач
Пример 1. Найти уравнения касательной и нормали к кривой
в точке с абсциссой
.
Решение. Уравнения касательной и нормали – формулы (6.2) и (6.3).
.
.
Уравнение касательной:
или
.
Уравнение нормали:
или
.
Пример 2. Найти вторую производную
функции
и вычислить её в точке
.
,
.
Пример 3. Исследовать функцию
и построить её график.
Решение. Проведём полное исследование функции.
1. Область определения
.
2.
. В этом случае говорят, что функция
общего вида.
3. Асимптоты. Исследуем точку разрыва
на наличие в ней вертикальной асимптоты. Для этого найдём пределы функции слева и справа. Если хотя бы один предел будет равен бесконечности, то в точке
будет проходить вертикальная асимптота.
Предел слева: ,
Предел справа: .
| Прямая – вертикальная асимптота.
|
Наклонная асимптота
:
,
.
Таким образом, прямая
является наклонной асимптотой графика исследуемой функции.
4. Точки пересечения с осями.
С осью
, т.е. точки
.
С осью
, т.е. точка
.
5. Интервалы монотонности. Найдём производную
и точки, в которых она равна нули или не существует.

, 
,
.
6. Интервалы выпуклости вверх (вниз).
.
таких точек нет;
.
Найденные точки разбивают всю числовую ось на четыре интервала. Определим знаки первой и второй производной и поведение функции в каждом интервале.
| x |
| 1 |
| 2 |
| 3 |
|
| y’ | – | 0 | + |
| + | 0 | – |
| y’’ | + | + | + |
| – | – | – |
| y |
| –2 min |
|
|
| –6 max |
|
В точке
функция достигает минимума, в точке
– максимума:
,
.
| | 7. Для построения графика отмечаем точки пересечения с осями координат, точки экстремума и пунктирными линиями наносим асимптоты. Начинаем построение от вертикальной асимптоты. При слева предел функции равен , а при график функции приближается к наклонной асимптоте . Справа от вертикальной асимптоты , а при график функции приближается к наклонной асимптоте.
|
Пример 4. Дана функция
. Найти: 1) экстремум функции;
2) наибольшее M и наименьшее m значения функции на отрезке [-1, 4].
Решение.1)
. Находим точки, в которых производная равна нулю:

На числовой оси отмечаем точки
и
. Находим знаки производной в полученных интервалах и указываем соответствующее поведение функции:
В точке
функция достигает максимума, в точке
– минимума:
.
.
2) Вначале нужно найти точки, в которых производная функции равна нулю или не существует. Это
и
. Но точка
, поэтому дальше её не рассматриваем. Затем необходимо вычислить значение функции в концах отрезка и в точке
, т.к. она принадлежит отрезку
. После этого из полученных значений нужно выбрать самое большое M и самое маленькое m значения.

Таким образом,
,
.
Пример 5. Найти производные функций.
1)
.
2) производная суммы (разности) степенных функций:

.
3) производная произведения:
.
4) производная частного:

Пример 6. Выяснить, в какой точке кривой
касательная параллельна прямой
. Найти уравнение касательной в этой точке.
Решение. Угловой коэффициент прямой
равен угловому коэффициенту касательной, так как они параллельны:
. Тогда
,
. В точке
касательная к кривой
параллельна прямой
, её уравнение имеет вид
или 
Пример 7. Найти точку на кривой
, в которой касательная составляет угол
с положительным направлением оси
. Написать уравнение этой касательной.
Решение. Угловой коэффициент касательной
равен производной
рассматриваемой функции, поэтому
,
,
. Тогда в точке
рассматриваемой кривой
касательная составляет угол
с положительным направлением оси
. Её уравнение
, или
.
Пример 8. Тело движется по прямой по закону
. Определить скорость и ускорение движения тела в момент времени
.
Решение. Скорость тела равна производной пути по времени, ускорение – производная скорости:
,
.
Пример 9. Вычислить приращение длины стороны куба, если известно, что его объём увеличился от 64 до 64,3 м3.
Решение. Если
– объём куба, то его сторона
. По условию задачи
,
. Тогда приращение стороны куба
м.
Пример 10. Найти асимптоты и построить график функции
.
1) область определения D=(-¥;0) È (0;+ ¥). Вертикальная асимптота в точке разрыва х=0:
,
следовательно, х = 0- вертикальная асимптота.
2) Наклонная асимптота:


Т.о., прямая у = х + 2 – наклонная асимптота.
Построим график функции:

Пример 11. Найти асимптоты и построить график функции
.
1) Область определения D=(-¥;-3) È (-3;3) È (3;+ ¥). Вертикальные асимптоты в точках разрыва.


Прямые х = 3 и х = -3 – вертикальные асимптоты кривой.
Степень числителя меньше степени знаменателя, поэтому наклонной асимптоты нет. Найдем горизонтальную:

y = 0 – горизонтальная асимптота.

Пример 12. Найти асимптоты и построить график функции
.
1) D=(-¥; –2) È (–2;+ ¥).

Прямая х = –2 – вертикальная асимптота кривой.
Найдем наклонные асимптоты.


Прямая у = х – 4 является наклонной асимптотой.

Пример 13. Исследовать функцию
и построить ее график.
1) Область определения D= (-¥; -1) È (-1; 1) È (1; ¥). х = 1, х = –1 – точки разрыва.
2) Асимптоты. В точках разрыва вертикальные асимптоты.


Прямые х = 1, х = –1 являются вертикальными асимптотами кривой.
Наклонная асимптота.


y = x – наклонная асимптота.
3) Четность – нечетность.
– нечётная функция. Значит, график симметричен относительно начала координат.
4) Точки пересечения с осями. С осью Ox: y=0,
. С осью Oy та же точка.
5) Интервалы монотонности и точки экстремума. Найдем производную функции
,


6) Интервалы выпуклости вверх – вниз, точки перегиба. Найдем вторую производную функции



.


Заполним таблицу:
| x |
|
|
|
|
| 0 |
| 1 |
|
|
|
| y’ | + | 0 | – |
| – | 0 | – |
| – | 0 | + |
| y’’ | – | – | – |
| – | 0 | – |
| – | – | – |
| y | Ç |
max
| Ç |
| Ç | 0 Точка перегиба | È |
| È |
min
| È |

Пример 14. Исследовать функцию
и построить ее график.
1). D= ( –¥; +¥).
2).
Þ Функция общего вида.
3). Точки пересечения с координатными осями: c осью Оу: x = 0; y = 1;
с осью Ох: y = 0; x = 1.
4). Точки разрыва и асимптоты: Вертикальных асимптот нет.
Наклонные асимптоты: общее уравнение y = kx + b;


у = –х – наклонная асимптота.
5). Возрастание и убывание функции, точки экстремума.
.
.
6) Выпуклость вверх-вниз, точки перегиба.
.
.
| x |
| 0 | (0;1) | 1 | (1;+¥) |
|
| y’ | – | 0 | – |
| – | |
| y’’ | + | 0 | – |
| + | |
| y | È | 1 Точка перегиба | Ç | 0 Точка перегиба | È | |
|
| ||||||
Пример 15. Исследовать функцию
и построить ее график.
1. D= ( –¥; 0) È (0;+¥)..

– непрерывная функция.
– приращением аргумента. Разность
– приращение функции. Производная равна пределу отношения приращения функции к приращению аргумента при стремлении последнего к нулю:
(6.1)
в точке
равно тангенсу угла наклона (угловому коэффициенту) касательной к графику функции
в точке
.
в точке
:
(6.2)
:
(6.3)
касательной в точке 
и
в точке пересечения
:
.
в точке
касательная к графику функции в точке
.
в точке
касательная параллельна оси Ох. В т.
функция достигает максимума:
непрерывна в точке
, но
в точке
нет касательной в точке
при
и при
(функция возрастает)
при
(функция убывает)
– путь,
– скорость,
– ускорение.
;
;
;
;
;
;
;
;
;
;
;
;
;
;
;
;
;
;
;
;
– это производная от первой производной:
.
– это производная от (n- 1)-ой производной:
.
,
– дифференцируемые функции
;
, если x – независимая переменная;
;
;
;
;
.
(6.4)
, если
. Тогда
,
– абсолютная погрешность x. Тогда
.
– абсолютная погрешность функции 
– относительная погрешность y.

.
), такая, что
.
параллельна оси Ox.
.
при
.
.
;
и существует
. Тогда
.
и её окрестности
и имеет в ней производные до порядка (n+1) включительно. Тогда
, (6.5)
– остаточный член в форме Лагранжа.
. (6.6)
называется выпуклой вверх (выпуклой вниз) на множестве
, если её график находится ниже (выше) любой касательной.

Функция убывает.
Функция возрастает

.
. При переходе через точку минимума
меняет знак с «–» на «+»
. При переходе через точку максимума
. 
.
функция выпукла вверх,
– выпукла вниз


– точка перегиба
, в точке минимума
.
.
и построение её графика
нечётность:
иначе – функция общего вида.
в точках разрыва 2-го рода;
;
.
.
).
).
, находятся либо в концах отрезка, либо внутри отрезка в точках экстремума.
,
Предел справа:
.
– вертикальная асимптота.
слева предел функции равен
, а при
график функции приближается к наклонной асимптоте
. Справа от вертикальной асимптоты
, а при
график функции приближается к наклонной асимптоте.
max
min
