Упражнение 2. Обработка результатов косвенных измерений.
Определение ускорения свободного падения
1. Запишите в табл.0.5 значения периода колебаний маятника. Эти данные возьмите из упражнения 1.
Таблица 0.5
|
|
|
|
|
|
|
| 1 |
|
|
|
|
| |
| 2 | ||||||
| 3 | ||||||
| 4 | ||||||
| 5 | ||||||
|
2. Затем по формуле
вычислите среднее значение ускорения.
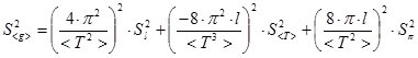
3. Вычислите дисперсию ускорения свободного падения по формуле

В качестве дисперсии длины маятника берется квадрат приборной погрешности. Дисперсия числа
находится из таблицы 0.5. (см. Приложение)
4. Найдите среднеквадратичное отклонение ускорения по формуле

5. Результат измерения ускорения запишите в виде
Упражнение 3. Порядок обработки совместных измерений. Определение ускорения свободного падения
В этом упражнении необходимо определить ускорение свободного падения из совместных измерений длины математического маятника и его периода колебаний.
Период колебаний математического маятника вычисляется по формуле
. Для того, чтобы воспользоваться методом обработки совместных измерений для зависимости
введем следующие обозначения:
;
; 
Таким образом, зная экспериментальную зависимость
или
, можем вычислить коэффициент
. Затем из соотношения
вычислим ускорение свободного падения.
1. Получите у преподавателя значение пяти различных длины , и для заданных значений длин математического маятника определите период его колебаний.
2. Полученные данные запишите в табл.0.6 (графы 2,3). В соответствии с вышеприведенными обозначениями заполните графы 4 и 5
Таблица 0.6
| 1 | 2 | 3 | 4 | 5 | 6 | 7 | 8 |
|
|
|
|
|
|
|
|
| 1 | |||||||
| 2 | |||||||
| 3 | |||||||
| 4 | |||||||
| 5 | |||||||
|
3. Проведите соответствующие вычисления и заполните графы 6,7
табл.0.6. В графу
вносится сумма соответствующих колонок.
4. По формуле (0.15) вычислите значения параметра
.
5. Проведите соответствующие расчеты и заполните графу 8.
Далее по формуле (0.16) вычислите дисперсии параметра А .
6. По формуле
вычислите ускорение свободного падения.
7. По формуле
вычислите среднеквадратичное отклонение ускорения свободного падения.
8. Окончательный результат запишите в виде
.
9. В координатах
постройте график зависимости
, там же нанесите звездочками экспериментальные точки
.
10. По формуле (0.20) найдите дисперсию адекватности. Дисперсию воспроизводимости найдите по формуле
, где
. Значения
возьмите из первого упражнения. По этим данным найдите критерий Фишера. Сравнивая полученное значение критерия Фишера с табличным, сделайте окончательный вывод о соответствии зависимости
полученным экспериментальным данным.
Контрольные вопросы
1. Дайте определение основным видам погрешностей. Приведите примеры.
2. Как установить наличие случайных погрешностей при проведении измерений?
3. Как установить наличие систематических погрешностей при проведении измерений?
4. Как установить наличие ”промахов” при проведении измерений? Как отбраковываются промахи?
5. Объясните, что понимается под генеральной совокупностью измеряемой величины
, и ее выборки.
6. Дайте определение среднего значения выборки, дисперсии, дисперсии среднего значения и среднеквадратичного отклонения.
7. Что такое прямые, косвенные и совместные измерения? Приведите примеры.
8. Объясните на числовом примере порядок обработки прямых измерений. Для чего используется коэффициент Стьюдента.
9. Объясните на примере два метода обработки косвенных измерений.
10. Для совместных измерений на примере линейной зависимости объясните сущность метода наименьших квадратов.
11. Используя условие наименьших квадратов, выведите формулу для вычисления параметра
в линейной зависимости
.
12. Как записывают окончательный результат прямых измерений?
13. Как проверяют гипотезу о соответствии экспериментальных данных предполагаемой зависимости? Что такое критерий Фишера?
14. Как находится дисперсия адекватности и дисперсия воспроизводимости?
15. Как проверяют гипотезу о равенстве средних значений двух выборок?
Приведите несколько примеров использования критерия о проверке равенства средних значений двух выборок.
Экспериментальные данные, полученные при выполнении лабораторной работы 0-1: Определение ускорение свободного падения с помощью математического маятника.
