Вопросы по распространению радиоволн
1 вопрос.
Уравне́ния Ма́ксвелла — система уравнений в дифференциальной или интегральной форме, описывающих электромагнитное полеи его связь с электрическими зарядами и токами в вакууме и сплошных средах. Вместе с выражением для силы Лоренца, задающим меру воздействия электромагнитного поля на заряженные частицы, образуют полную систему уравнений классическойэлектродинамики, называемую иногда уравнениями Максвелла — Лоренца. Уравнения, сформулированные Джеймсом Клерком Максвеллом на основе накопленных к середине XIX века экспериментальных результатов, сыграли ключевую роль в развитии представлений теоретической физики и оказали сильное, зачастую решающее, влияние не только на все области физики, непосредственно связанные с электромагнетизмом, но и на многие возникшие впоследствии фундаментальные теории, предмет которых не сводился к электромагнетизму (одним из ярчайших примеров здесь может служить специальная теория относительности).
При помощи формулы Остроградского — Гаусса и теоремы Стокса дифференциальным уравнениям Максвелла можно придать форму интегральных уравнений:

ведённые обозначения:
— двумерная замкнутая в случае теоремы Гаусса поверхность, ограничивающая объём
, и открытая поверхность в случае законов Фарадея и Ампера — Максвелла (её границей является замкнутый контур
).
— электрический заряд, заключённый в объёме
, ограниченном поверхностью
(в единицах СИ — Кл);
— электрический ток, проходящий через поверхность
(в единицах СИ — А).
При интегрировании по замкнутой поверхности вектор элемента площади
направлен из объёма наружу. Ориентация
при интегрировании по незамкнутой поверхности определяется направлением правого винта, «вкручивающегося» при повороте в направлении обхода контурного интеграла по
.
Словесное описание законов Максвелла, например, закона Фарадея, несёт отпечаток традиции, поскольку вначале при контролируемом изменении магнитного потока регистрировалось возникновение электрического поля (точнее электродвижущей силы). В общем случае в уравнениях Максвелла (как в дифференциальной, так и в интегральной форме) векторные функции
являются равноправными неизвестными величинами, определяемыми в результате решения уравнений.
2 вопрос.
Плоская волна — волна, фронт которой имеет форму плоскости.Фронт плоской волны неограничен по размерам, вектор фазовой скорости перпендикулярен фронту. Плоская волна является частным решением волнового уравнения и удобной моделью: такая волна в природе не существует, так как фронт плоской волны начинается в
и заканчивается в
, чего, очевидно, быть не может. Кроме того, плоская волна переносила бы бесконечную мощность, и на создание плоской волны потребовалась бы бесконечная энергия. Волну со сложным (реальным) фронтом можно представить в виде спектра плоских волн с помощью преобразования Фурье по пространственным переменным.
Уравнение любой волны является решением дифференциального уравнения, называемого волновым. Волновое уравнение для функции
записывается в виде

где
— оператор Лапласа;
— искомая функция;
— радиус-вектор искомой точки;
— скорость волны;
— время.
2.1 Монохроматическая волна — модель в физике, удобная для теоретического описания явлений волновой природы, означающая, что в спектр волны входит всего одна составляющая по частоте.
Монохроматическая волна — строго гармоническая (синусоидальная) волна с постоянными во времени частотой, амплитудой и начальной фазой.
2.2 Диэлектри́ческая проница́емость среды абсолютная — коэффициент, входящий в математическую запись закона Кулона и уравнение связи векторов электрической индукции и напряженности электрического поля [1]. Абсолютную диэлектрическую проницаемость εa (от англ. absolute — абсолютный) представляют[2] в виде произведения εa = εr ε0 относительной диэлектрической проницаемости среды εr (от англ. relative — относительный; εr для краткости часто называют простодиэлектрической проницаемостью и обозначают ε) и электрической постоянной ε0.
Диэлектри́ческая проница́емость среды относительная — физическая величина, характеризующая свойства изолирующей (диэлектрической) среды и показывающая, во сколько раз сила взаимодействия двух электрических зарядов в этой среде меньше, чем в вакууме.
2.3 Поляриза́ция волн — характеристика поперечных волн, описывающая поведение вектора колеблющейся величины в плоскости, перпендикулярной направлению распространения волны. В продольной волне поляризация возникнуть не может, так как направление колебаний в волнах этого типа всегда совпадает с направлением распространения.
затухание волн — Уменьшение волнения и волнового нагона в прибрежной зоне.
3 вопрос.
3.1.Всякая электрическая цепь, по которой протекает переменный ток, может излучать электромагнитные волны. Эти волны, распространяясь в диэлектрике, окружающем источник, переносят определенную энергию
3.2.Диполь Герца – это малый отрезок линейного проводника, по которому течёт ток, неизменный вдоль его длины
Поле, созданное таким излучателем в точке, отстоящей на расстоянии r от средней точки отрезка l, характеризуется вектор-потенциалом

Ближняя зона или зона индукции – это область, в которой преобладают слагаемые, пропорциональные
. Дальняя зона или зона излучения – это область, в которой преобладают слагаемые, пропорциональные
. Для ближней зоны
, следовательно, можно считать
,
т. е. в этом случае запаздыванием можно пренебречь. Тогда приближённые значения проекций для поля в ближней зоне

В дальней зоне (рис. 1.17)
, поэтому запаздыванием пренебрегать нельзя. Соответственно получим для дальней зоны проекции

3.3 Рамочная антенна обычно представляет собой круглый виток радиусом а, по которому течёт синусоидальный ток одной величины во всех точках рамки. Вектор-потенциал
имеет только одну составляющую

Для рамки, как и для диполя Герца, можно выделить ближнюю (
) и дальнюю (
) зоны. Для ближней зоны

При математических подсчётах оказывается, что второй интеграл здесь равен 0.
Для дальней зоны

3.4Симметричный вибратор – прямолинейный проводник, возбуждаемый сторонней напряженностью в центре. Распределение тока по проводнику может быть описано формулой:

Используя вычисления, аналогичные произведённым для других излучателей, получим для симметричного вибратора проекции векторов электромагнитного поля в дальней зоне

Следовательно, характеристика направленности рассматриваемого источника по напряжённости поля имеет вид

Здесь
и
– максимальные значения амплитуд, соответствующие
в плоскости, перпендикулярной оси проводника;
– значение амплитуды, соответствующее
.
Диаграммы направленности вибратора показаны на рис.

4 вопрос.
4-1) для продольной волны угол отражения
, равен углу падения θ, а угол преломления
определяется равенством

4-2)


4-3) ЛЕОНТОВИЧА ГРАНИЧНОЕ УСЛОВИЕ - приближённое соотношение, связывающее на поверхности хорошо проводящего тела (среда 2) тангенциальные составляющие электрич.,
и магн.,
векторов эл--магн. поля в диэлектрике (среда 1). Если для комплексного показателя преломления n2 проводящего тела выполняется условие
так что глубина проникновения поля в проводник
(толщина скин-слоя) мала по сравнению с наим. пространств. масштабом L, характеризующим поле в диэлектрике (длина волны, радиус кривизны границы, расстояние от источника поля, толщина проводника и т. д.), то с точностью до членов
поле в проводнике имеет структуру плоской волны, распространяющейся в направлении нормали
к границе.
5 вопрос.
5.1
Ферриты — химические соединения оксида железа Fe2O3 с оксидами других металлов, обладающие особыми магнитными (ферримагнетики)свойствами, сочетающие высокую намагниченность и полупроводниковые или диэлектрические свойства, благодаря чему они получили широкое применение какмагнитные материалы в радиотехнике, радиоэлектронике, вычислительной технике.
Пла́зменная частота́ — частота собственных продольных колебаний пространственного заряда (ленгмюровских колебаний) в однородной плазме в отсутствиемагнитного поля. В пренебрежении движением ионов плазменная частота электронного газа равна (в системе СГС)

где
— заряд электрона,
— его масса,
— концентрация электронов.
Гирочастота
- это частота, с которой электрон будет обращаться по спирали вокруг силовой линии магнитного поля в отсутствие электромагнитного излучения. При отсутствии эатухания Re будет стремится к бесконечности, если частота приложенного электрического поля будет равна
.
5.2



5.3



6 вопрос.
1)Длинная линия — модель линии передачи, продольный размер (длина) которой превышает длину волны, распространяющейся в ней (либо сравнима с длиной волны), а поперечные размеры (например, расстояние между проводниками, образующими линию) значительно меньше длины волны. Проводящая плоскость является экваториальной плоскостью диполя.
Проводящие плоскости ( на рисунке заштрихованы) разделены изолирующим горизонтальным диском и соединены по краям.
2) Поперечная волна — волна, распространяющаяся в направлении, перпендикулярном к плоскости, в которой происходят колебания частиц среды (в случае упругой волны) или в которой лежат векторы электрического и магнитного поля (для электромагнитной волны).
К поперечным волнам относят, например, волны в струнах или упругих мембранах, когда смещения частиц в них происходят строго перпендикулярно направлению распространения волн, а также однородные плоские электромагнитные волны в изотропном диэлектрике или магнетике; в этом случае поперечные колебания совершают векторы электрического и магнитного полей.
Поперечная волна обладает поляризацией, то есть вектор её амплитуды определённым образом ориентирован в поперечной плоскости. В частности, различают линейную, круговую и эллиптическую поляризации в зависимости от формы кривой, которую описывает конец вектора амплитуды. Понятие поперечной волны так же, как и продольной волны, до некоторой степени условно и связано со способом её описания. «Поперечность» и «продольность» волны определяются тем, какие величины реально наблюдаются. Так, плоская электромагнитная волна может описываться продольным вектором Герца. В ряде случаев разделение волн на продольные и поперечные вообще теряет смысл. Так, в гармонической волне на поверхности глубокой воды частицы среды совершают круговые движения в вертикальной плоскости, проходящей через волновой вектор
, то есть колебания частиц имеют как продольную, так и поперечную составляющие.
Определение критической частоты означает определение частоты, при которой начинается отрыв кинематической пары измерительной цепи при определенной амплитуде. В данном случае отрыв возможен только в месте соприкосновения измерительного наконечника с измеряемой поверхностью. Очевидно, что пока реакция f ( t) присутствует, шток не оторвется от детали. [1]
3) Прямоуго́льный волново́д — металлический волновод прямоугольной формы, способный поддерживать распространяющиеся вдоль него волны. Особенность волновода в том, что в нем существует нижний предел пропускаемых частот, то есть волны ниже определенной частоты затухают и не могут в нем распространяться.
Основные преимущества прямоугольного волновода являются:
· достаточно большая мощность передаваемого сигнала;
· почти полное отсутствие потерь на излучение энергии в окружающую среду.
Возбуждением волновода называется создание в нем высокочастотного электромагнитного поля. Рассмотренные ранее свободные волны волновода (E-, H- ,T-волны) - это возможные поля при отсутствии внешних энергетических связей. Созданные электромагнитные поля представляют собой следствие действия источников. При определенных условиях вынужденное поле в волноводе может быть очень близким по строению к свободному полю того или иного типа. Возбуждение волны заданного типа может быть осуществлено следующими способами: применением возбуждающего устройства, которое создает в некотором сечении волновода электрическое поле, совпадающее по направлению электрических силовых линий с полем волны желаемого типа; использованием возбуждающего устройства, которое
создает магнитное поле, совпадающее по направлению силовых линий с магнитным полем волны желаемого типа; применением возбуждающего устройства, создающего в стенках волновода высокочастотные токи, направление и распределение которых на некотором участке волновода совпадают с токами волны желаемого типа.
Соответственно возбуждающие устройства могут быть следующих типов: штыревые, рамочные (петлевые), щелевые. Для наиболее эффективного возбуждения полей штырь нужно располагать в месте, где напряженность электрического поля максимальна. Ось штыря должна совпадать с направлением вектора E. Устройства в виде рамки располагают в месте, где напряженность магнитного поля в волноводе максимальна, причем плоскость рамки перпендикулярна H. Для
возбуждения в волноводе поля требуемого типа с помощью щелевого устройства щели в волноводе необходимо прорезать перпендикулярно силовым линиям тока. Внешним источником на щели создается электрическое поле с силовыми линиями, продолжающими силовые линии тока. Условия и способы возбуждения легко объяснить на основании
принципа взаимности, согласно которому конструкции для возбуждения и извлечения энергии должны быть одинаковы.
Предположим, что в узкой стенке волновода прорезаны две щели, одна из которых ориентирована в осевом направлении, а вторая − в поперечном (рисунок 25). Первая из них характерна тем, что она перерезает линии поверхностного тока под углом
. Ток, подтекающий к верхней кромке разреза, вызовет здесь избыток положительных зарядов (рассматривается электротехническое направление тока). Очевидно, что на нижней кромке будет наведен равный по величине отрицательный заряд. Во времени эти заряды будут изменяться в такт с колебаниями генератора. Подобные щели ведут себя как излучатель электромагнитных волн.
Совсем по другому ведет себя щель, прорезанная параллельно линиям тока. Из-за узости такой щели колчество наведенных зарядов будет весьма невелико, так что излучение из щели будет незначительным.
Итак, может быть сформулирован общий принцип: щель в стенке волновода излучает в том случае, если она перерезает линии тока.
Излучающие щели находят широкое применение при создании так называемых щелевых волноводных антенн в диапазоне сантиметровых волн. В ряде случаев возникает потребность в неизлучающих щелях, позволяющих вводить внутрь волновода различные измерительные устройства без нарушения структуры поля. В качестве примера на рисунке показан схема волноводной щелевой измерительной линии − одного из важных измерительных приборов СВЧ. Здесь подвижный зонд, т.е. миниатюрная антенна, соединенная с детектором, перемещается вдоль узкой щели, прорезанной в осевом направлении точно посередине широкой стенки волновода. Выбор такого расположения щели обеспечивает отсутствие излучения из волновода. Измеряя ток детектора в различных точках по оси волновода, можно изучать картину распределения стоячей волны и находить параметры нагрузок, подключаемых к волноводу.
7 вопрос.
ОТКРЫТЫЙ РЕЗОНАТОР - колебательная система, состоящая из отражателей (напр., в случае эл--магн. волн металлич. или диэлектрич. зеркал), осуществляющих путём многократных отражений волновых пучков локализацию (удержание) резонансных волновых полей в конечной области пространства. Обычно характерные размеры О. р. заметно превышают длины волн (d
)возбуждаемых колебаний, что во мн. случаях позволяет исследовать свойства О. р. в приближении квазиоптики. При этом поляризация поля несущественна, а описание О. р. универсально и пригодно для колебании любой природы - эл--магн., акустических и т. п. Практически первым вариантом О. р. стала система из двух плоскопараллельных зеркал конечных размеров (разновидностьинтерферометра Фабри - Перо). Предложенная А. М. Прохоровым, Р. Г. Дикке (R. Н. Dicke), А. Л. Шавловом (A. L. Schawlow) и Ч. Таунсом (Ch. Townes) (1958), она предназначалась для эл--магн. колебаний субмиллиметрового и оптич. диапазонов. Впоследствии идеи этого варианта О. р. были перенесены в др. диапазоны эл--магн. колебаний, а также на волновые поля иной природы. Ниже для определённости рассматриваются только О. р. для эл--магн. колебаний.
В известном смысле О. р. можно рассматривать как модификацию экранированных объёмных резонаторов с частично убранными стенками. Спектр собств. колебаний идеального экраннров. резонатора с увеличением его объёма уплотняется
и при наличии даже малого поглощения превращается в сплошной, так что такая система фактически перестаёт быть резонансным устройством. Возникает естеств. потребность в разрежении спектра (в селекции мод). В О. р. разрежение осуществляется простейшим образом - увеличением радиац. потерь нежелательных мод, к-рые "высвечиваются" в окружающее пространство. Это прежде всего моды, группирующиеся в лучи, не задевающие отражателей. С др. стороны, подбором размеров и профилей отражателей удаётся снизить потери на излучение (дифракц. потери) полезных (рабочих) мод и сделать их высокодобротными. Для избират. уменьшения потерь может быть использовано отражение от границы диэлектрик - вакуум. В О. р., образованном диэлектрич. стержнем с проницаемостью
размещённым между параллельными пластинами (рис. 1, а), колебания с малыми потерями представляют собой волновые пучки, полностью отражающиеся от границы диэлектрик - вакуум. Поперечное к оси резонатора волновое число
этих мод в области
= 1 является чисто мнимым, в области
> 1 действительным. Для высокодобротных мод пространство с
= 1 представляет закритич. волновод (см. Волновод и Волновод диэлектрический). Число таких колебаний увеличивается с ростом разности
- 1. В "инвертированной" системе (рис. 1, б)высокодобротные колебания сосредоточены в оптически менее плотной среде. Они излучают в более плотную среду, и это излучение не обращается в нуль даже для идеальных диэлектриков. Высокодобротными являются колебания в виде волновых пучков, скользящих вдоль границы диэлектриков. Поперечные волновые числа пучков близки к пулю внутри резонатора в среде с
= 1 и действительны в среде с
> 1. Частоты колебаний близки к критич. частотам внутр. волновода.

Аналогичные условия отражения могут быть реализованы и без применения диэлектриков: полное отражение от закритич. волновода - плавным уменьшением расстояния между отражателями (рис. 1, в), сильное отражение на частотах, близких к критич. частотам внутр. волновода, - внесением неоднородностей: скачкообразным изменением расстояния между отражателями (рис. 1, г)или ограничением размеров отражателей (рис. 1, д). Высокодобротные колебания будут иметь в этих случаях разный характер. В первом существует каустика, разграничивающая области докритич. и закритич. волноводов, в последнем - поле быстро (экспоненциально) убывает при удалении от каустики, во втором случае поле ограничивается областью сильного отражения. Оба способа повышения добротности применяются в О. р. Когда не требуется высокой добротности рабочей моды, часто используются резонаторы с постепенным увеличением расстояния между отражателями (рис. 1, е). Благодаря высоким значениям отношения запасённой энергии к энергии потерь добротности совр. О. р. достигают рекордных цифр по всех достаточно КВ-диапазонах эл--магн. волн: от 106 в диапазоне миллиметровых волн до 109 в оптическом.
Моды в О. р. суть волновые пучки, к-рые в квазиоптич. приближении можно представить как поля, распространяющиеся вдоль направления соответствующих геометрооптич. лучей и локализованные в поперечном сечении с плавными (в масштабе
) огибающими. Поэтому конструирование и расчёты О. р. базируются сначала на рассмотрении характера поведения многократно отражающихся от зеркал геометрооптич. лучей и затем уже на установлении распределения полей, обычно с помощью Леонтовича параболического уравнения для комплексных амплитуд. В результате, как и для обычных экраниров. резонаторов, решается задача о собств. ф-циях (модах) и собств. частотах, последние даже при наличии идеальных отражателей в принципе комплексны из-за неустранимых потерь на излучение.
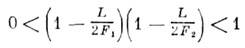
Различают устойчивые и неустойчивые моды О. р. (впрочем, иногда говорят просто об устойчивости О. р. как таковых). Устойчивой считается мода, "скелетные" геометрооптич. лучи к-рой локализованы внутри каустики, лежащей внутри О. р. На рис. 1 в показан "каркас" лучей для первой симметричной моды устойчивого двухзеркального О. р. со сферич. зеркалами с фокусными расстояниями F1 и F2. Каустич. поверхность имеет характер гиперболоида вращения. Она существует, если

(L - длина резонатора; фокусные расстояния считаются положительными, если зеркала вогнутые). При невыполнении этого условия двухзеркальный О. р. является неустойчивым. Пример такого О. р. дан на рис. 1 е; после многократных отражений лучи вырываются из него, что иногда используется для возбуждения О. р. или для вывода энергии из него (дифракц. вывод излучения - дифракц. связь). Аналогичным образом строятся моды для разнообразных многозеркальных О. р. При этом принципиально различают два класса приборов: в первом, к к-рому, в частности, относятся двухзеркальные комбинации (рис. 1, в - е), поле в продольных ("лучевых") направлениях имеет характер стоячих волн с масштабом
/2; во втором классе приборов - т. н. кольцевых О. р., к к-рым относится, в частности, трёхзеркальный О. р. (рис. 2), - существуют две самостоят. бегущие (вращающиеся) навстречу друг другу моды одинаковых частот. Впрочем, иногда с помощью невзаимных устройств, перегораживающих пучок, вырождение этих мод снимается вплоть до формирования одной бегущей волны.

Поперечные вариации мод О. р., ограниченных каустиками, почти всегда имеют характер стоячих волн с сильно растянутой "длиной волны":

где
- характерный продольный размер О. р. Спектр собств. частот О. р. зависит от числа продольных и поперечных вариаций поля, отличаемых продольными и поперечными индексами, и имеет разный характер для устойчивых и неустойчивых мод. Так, для устойчивых мод двухзеркального аксиально-симметричного резонатора


где q (обычно
1), т, п (целые числа) - продольный азимутальный и радиальный индексы соответственно.
Потери на излучение таких мод экспоненциально малы и носят характер туннельного "просачивания" поля от каустики к краю зеркала. При отсутствии дифракции на краях зеркал собств. частоты двухзеркального неустойчивого О. р. с выпуклыми зеркалами определяются соотношением

к-рое показывает, что дифракц. потери быстро увеличиваются с ростом поперечных индексов. В общем случае потери на излучение в О. р. определяются безразмерным параметром Френеля
определяющим число зон Френеля, укладывающихся на апертуре зеркала диам. 2а (см. Дифракция света).
Дифракция на краях зеркал играет определяющую роль в формировании колебаний, находящихся на границе перехода от устойчивых к неустойчивым, к к-рым относятся моды О. р. с плоскими зеркалами. Собств. частоты такого О. р. с круговыми зеркалами равны

где vm,n - корень ф-ции Бесселя Jm (x). При недостаточно большом коэф. отражения от зеркал и большом параметре Френеля моды с разными поперечными, но одинаковыми продольными индексами вырождаются и О. р. с плоскими зеркалами становится обычныминтерферометром Фабри - Перо.
Возбуждение О. р. производится с помощью полупрозрачных зеркал, пластин, а также посредством щелей, отверстий и т. д. Устойчивые О. р. широко применяются в качестве фильтров, спектроанализаторов и волномеров в диапазоне длин волн от оптических до сантиметровых. Они являются естеств. колебат. системами автогенераторов в этих диапазонах - лазеров (см. Оптический резонатор ),мазеров, оротронов и т. д. В мощных лазерах и мазерах на циклотронном резонансе (гиротронах) часто используются неустойчивые О. р. с дифракц. выводом излучения. Кольцевые резонаторы применяются в лазерных гироскопах. С увеличением эффективности связи О. р. с внеш. линиями передачи селекция типов колебаний - превышение дифракц. потерь нерабочих мод над дифракц. потерями рабочих - уменьшается. Повышение её достигается, как правило, усложнением конструкции О. р. В О. р. различают селекцию поперечных мод, отличающихся друг от друга структурой поля на зеркалах, и селекцию продольных мод, имеющих идентичные поперечные структуры поля, но отличающихся числом полуволн, укладывающихся между зеркалами. Селекция поперечных мод основывается на различии в их пространств. структурах и достигается ограничением пучков поглощающими диафрагмами, в том числе т. н. мягкими, с плавно увеличивающимся к краю коэф. поглощения, применением профильных зеркал, зеркал с постепенно изменяющимся коэф. отражения, ограничением угл. спектра пучков. Эфф. методом селекции поперечных типов колебаний оказывается применение дифракц. вывода, при этом приходится принимать меры для преобразования получающегося излучения в волновые пучки, обладающие низким уровнем потерь при канализации, высокой направленностью, малым уровнем боковых лепестков. Методы селекции продольных мод основаны на применении диспергирующих элементов: интерферометров Фабри - Перо, призм, дифракц. решёток, связанных резонаторов и т. п.





Возбуждение резонатора производится при помощи емкостной связи в области максимального напряжения.
Образование стоячих волн в объемном резонаторе. Возбуждение резонатора и отбор энергии из него могут осуществляться вибратором и петлей связи.
Возбуждение резонатора металлическим витком с током ( магнитный диполь, или система магнитных диполей), плоскость которого нормальна силовым линиям магнитного поля требуемого типа колебаний.
Возбуждение резонатора. Возбуждение резонатора осуществляется с помощью зонда или петли связи. На рис. 119, а показан способ возбуждения резонатора при помощи зонда. Оболочка трубчатого фидера соединяется с корпусом, а открытый центральный проводник этого фидера ( зонд) служит элементом связи. Зонд располагают в пучности электрического поля. Электрическое поле этого проводника, совпадающее с направлением электрических силовых линий резонатора, возбуждает в нем незатухающие колебания.
Возбуждение резонатора. а - с помощью вонда, б - с помощью петли связи. Возбуждение резонатора осуществляется с помощью зонда или петли связи. На рис. 75, а показан способ возбуждения резонатора при помощи зонда. Оболочка трубчатого фидера соединяется с корпусом, а открытый центральный проводник этого фидера ( зонд) служит элементом связи. Зонд располагают в пучности электрического поля. Электрическое поле этого проводника, совпадающее с направлением электрических силовых линий резонатора, возбуждает в нем незатухающие колебания.
Возбуждение резонатора частотомера чаще всего осуществляется петлей связи или при помощи щели. Связь цепи детектора индикатора с резонатором обычно производят через петлю связи.
Возбуждение колебания типа ЕОЦ в круглом резонаторе при помощи штыря.| Возбуждение колебания типа Еою в круглом резонаторе при помощи щели. Для эффективного возбуждения резонатора необходимо, зная структуру поля возбуждаемого типа колебаний, расположить штырь параллельно силовым линиям электрического вектора.
Возбуждение коле - [ IMAGE ] Возбуждение колебания типа Е0ц в круглом ре - бания типа ЕОЮ в круглом резонаторе при помощи штыря. зонаторе при помощи щели. Для эффективного возбуждения резонатора необходимо, зная структуру поля возбуждаемого типа колебаний, расположить штырь параллельно силовым линиям электрического зектора. Подобное расположение позволяет максимизировать скалярное произведение ЛСТЕ.
Эпюры тока и напряжения в резонаторе с конденсатором перестройки во второй четверти ( а и в простом коаксиальном резонаторе ( б.
При возбуждении резонатора на первом обертоне его физическая длина лежит в пределах / / i / 23 / i.
При возбуждении резонатора струей обратная связь замыкается в результате взаимодействия отрывающихся вихрей с колеблющимися газами.
Использование двух отверстий связи для улучшения распределения полл. При возбуждении резонатора через два отверстия в одной стенке распределение поля может улучшиться настолько, что подвижные отражатели могут не понадобиться.
Возбуждение колебаний TF101 в прямоугольном резонаторе через щель. При возбуждении резонаторов необходимо, чтобы напряженность поля внешнего источника изменялась во временя по гармоническому закону с частотой, равной собственной частоте колебаний возбуждаемого типа.
Вначале это возбуждение резонатора весьма слабо, так как энергетический переход молекул носит случайный характер. Электромагнитное поле резонатора, воздействуя на молекулы пучка, вызывает индуцированные переходы, которые в свою очередь увеличивают поле резонатора. Так, постепенно возрастая, поле резонатора будет все в большей степени воздействовать на молекулярный пучок, а энергия, выделяемая при индуцированных переходах, будет усиливать поле резонатора. Процесс увеличения интенсивности колебаний будет продолжаться до тех пор, пока не наступит насыщение, при котором поле резонатора будет настолько велико, что в период прохождения молекул через резонатор оно будет вызывать не только индуцированные переходы с верхнего уровня на нижний, но частично и обратные переходы, связанные с поглощением электромагнитной энергии. При этом мощность, выделяемая молекулами аммиака, уже не увеличивается и, следовательно, дальнейшее нарастание амплитуды колебаний становится невозможным. Устанавливается стационарный режим генерации.
В случае возбуждения резонатора на обертоне виток связи может быть расположен на образующей коаксиального отрезка на расстоянии приблизительно полуволны ( или целого числа полуволн) от плоскости короткого замыкания. Такое расположение витка связи имеет определенные преимущества по сравнению с размещением в плоскости короткого замыкания. В самом деле, при перестройке частоты пучность тока перемещается вдоль образующей резонатора.
Здесь не рассматривается возбуждение резонатора магнитными токами, что имеет место, например, в теории парамагнитных приборов СВЧ.
Резонатор с емкостной нагрузкой на конце.| Графическое решение уравнения. Чтобы понять особенности процесса возбуждения резонаторов, обратимся к изучению упрощенной математической модели системы, как это было сделано в гл. VI применительно к задачам возбуждения линий передачи неограниченной длины.
Возможны также др. способы возбуждения резонаторов; в общем случае необходимо, чтобы щель пересекала линии токов проводимости, протекавших до прорезания щели на стенках резонатора. Эти токи переходят в этом случае в токи смещения, текущие перпендикулярно краям щели; между краями щели создается разность потенциалов. Подобная щель вызывает излучение эл.
Поле стоячей волны при возбуждении резонатора на частоте, лежащей примерно посредине расщепленных частот, поворачивается на некоторый угол. При согласовании сопротивлений подводящих линий и резонатора обеспечивается полная передача энергии из входного плеча в выходное при развязанном третьем. Как видно, это распределение близко к синусоидальному.
Колебания, волны и электроны в электронных приборах. В конце лекции выводятся уравнения возбуждения резонаторов и волноведущих структур заданными токами, которые будут далее использоваться для описания явлений и процессов в сверхвысокочастотных электронных приборах на протяжении всего курса лекций.
На рис. 77, а показан способ возбуждения резонатора при помощи зонда. Оболочка трубчатого фидера соединяется с корпусом, а открытый центральный проводник этого фидера ( зонд) служит элементом связи. Зонд располагают в пучности электрического поля. Электрическое поле зонда, совпадающее с направлением электрических силовых линий резонатора, возбуждает в нем незатухающие колебания.
На рис. 11.2 схематически представлены некоторые устройства возбуждения резонаторов. Полые резонаторы нередко соединяются с коаксиальными кабелями. Конец внутреннего проводника кабеля, прохоляштш внутрь полости, подобен элементарному электрическому излучателю.
Возбуждение Колеба-ний TE10i в прямоугольном резонаторе с помощью штыря.| Возбуждение колебаний ТМ010 в цилиндрическом резонаторе с помощью витка связи.| Возбуждение колебаний в резонаторах клистрона. Рассмотрим несколько примеров, поясняющих вышеуказанные способы возбуждения резонаторов.
Из сказанного ясно, что разные физические условия возбуждения резонатора описываются одним и тем же дифференциальным уравнением.
В § 11.1 и 11.2 отмечалось на примерах устройств возбуждения резонаторов и волноводов, что при рассмотрении волновых процессов в изолированных структурах обычно должна быть задана падающая волна. Процесс в целом есть дифракция, поскольку эта волна возбуждает некоторое поле в структуре и отражается назад. Если все входящие в рассмотрение волны являются направляемыми, будем употреблять выражение волноводная дифракция.
Вопрос о связи полых резонаторов с внешними нагрузками и о возбуждении резонаторов сходен с вопросом о возбуждении волноводов.
Ее появление можно объяснить нелинейностью в данном режиме работы виброопоры, или возбуждением резонатора, параметры которого обусловлены внутренней конструкцией гидроопоры, а именно геометрией ее рабочей и компенсационной камер. Из графиков видно, что третья виброопора гасит вибрацию наиболее эффективно.
Знак минус в левой части ( l 65d) показывает, что для возбуждения резонатора электронный ток должен находиться в гфотивофазе с электрическим полем. Необходимость появления отрицательного знака в левой части ( l 65d) вытекает также из ( 1 51с) и ( l 10f), так как для возбуждения резонатора входящий в него поток кинетической энергии электронов должен быть больше выходящего, а их разность должна давать мощность, рассеивающуюся в стенках.
При отсутствии селективного поглощения в резонаторе резонансным условием удовлетворяет множество гармоник и при возбуждении резонатора возникает многочастотный спектр.
Из рассмотрения процесса самовозбуждения генератора видно, что в данном случае мы имеем не простое возбуждение резонатора, а автоколебательную систему, включающую в себя обратную связь, которая осуществляется через высокочастотное поле резонатора. Излучение пролетающих через резонатор молекул возбуждает высокочастотное поле, которое в свою очередь обусловливает индуцированное излучение молекул, фазирование и когерентность этого излучения.
Это обстоятельство может оказаться существенным в задачах электроники СВЧ, в частности в задачах возбуждения биконйческого резонатора, например коническим электронным потоком.
Дополнительные параметры ферритов X группы.| Температурная зависимость резонансных частот ферритов XI группы. Отличительные особенности применения этой группы ферритов обусловливают и специфичность параметров материалов, описывающих условия возбуждения спинового резонатора и съема сигнала спинового эха.
Для резонаторов, конечно, также можно находить комплексные собственные частоты, однако для задачи возбуждения резонаторов больший физический смысл имеют величины hn ( k) для вещественных частот.
Из формулы (1.83), а также из уравнения возбуждения линии передачи в интегральной форме (1.71) видно, что возбуждение волноводов происходит подобно возбуждению резонаторов. Единственное различие между возбуждением резонаторов и возбуждением волноводов заключается в том, что если в первом случае имеет место резонанс во времени, то во втором - резонанс в пространстве.
Частотные зависимости Q t У - [ IMAGE ] Частотные зависимости сочленения при различной высоте ненамаг - 6 i У-сочленения с резонаторами, ничейного ферритового образца озбуждаемыми с одного основа. Кроме рассмотренной конструкции, которая обеспечивает связь резонатора с падающими волнами с одного основания образца, возможна также двусторонняя конструкция, в которой возбуждение резонатора происходит одновременно с двух оснований. На длине образца 1Р в этом случае укладывается целое число полуволн.
Функциональная схема устройства для измерения добротности и коэффициентов связи. Хотя постоянная времени затухания резонатора не зависит от частоты возбуждающего сигнала, нестабильность последнего влияет на погрешность измерения т из-за того, что при возбуждении резонатора импульсом различных частот различна запасенная энергия.
Если использовать иную формулировку уравнений возбуждения волновода электронным потоком, выделяя квазистатическую часть поля пространственного заряда, подобно тому, как это делается в теории возбуждения резонаторов, то вычисление Г значительно облегчается.
Так как частота генератора зависит от величины тока, протекающего через кварцевый резонатор, то задающие генераторы имеют АРУ ( усилитель, детектор и УНТ), управляющую режимом работы каскада возбуждения и обеспечивающую постоянство уровня возбуждения резонатора.
Блок-схема эталона частоты. Англия); б - уста-нов-ка Атомихрон; / - трубка с це-зиевым лучом; 2 - выходной сигнал; 3 - усилитель; 4 - индикатор; 5 - кварцевый генератор около 5 Мгц; 6 - смеситель; 7 - генератор возбуждения резонаторов ( с ручной подстройкой); 8 - усилитель и смеситель; 9 - кварцевый эталон частоты 100 кгц; 10 - синтезатор, умножение на 73 67; / / - счетчик; 12 - управляющий сигнал; 13 - автоподстройка; 14 - усилитель; 15 - сигнал 100 гц; IS - сервоусилитель; 17 - модуляционный генератор; / S-источник колебаний; 19 - умножитель частоты; частоты указаны в мегагерцах.
Представляется возможным в перестраиваемых и неперестраиваемых фильтрах рациональным подбором параметров элемента связи подавлять паразитные полосы пропускания ( например, полосу, соответствующую области вблизи удвоенной резонансной частоты, что обеспечивается максимальным затуханием, вносимым решеткой и выбором размеров отверстия диафрагмы), а также значительно повысить избирательность фильтров некоторых типов на диэлектрических резонаторах путем подбора ориентации решетки и способа возбуждения резонаторов. Весьма вероятно, что рациональным выбором параметров решетки и выводных окон приборов СВЧ, твердотельных источников мощности СВЧ ( ГЛПД, например) и различных аттенюаторов, окажется возможным улучшить их электрические характеристики ( подавить или снизить паразитные шумы, гармоники и проч.
Схема полуволнового коаксиального резонатора. Схема резонатора изображена на рис. 8.1. Длина резонатора равна половине длины резонансной волны. При возбуждении резонатора на обертонах его длина должна быть увеличена на целое число полуволн.
Из формулы (1.83), а также из уравнения возбуждения линии передачи в интегральной форме (1.71) видно, что возбуждение волноводов происходит подобно возбуждению резонаторов. Единственное различие между возбуждением резонаторов и возбуждением волноводов заключается в том, что если в первом случае имеет место резонанс во времени, то во втором - резонанс в пространстве.
Задача (8.1) - о возбуждении резонатора без потерь - не очень содержательна.
Совершенно ясно, что для возбуждения в резонаторе колебаний требуемого типа резонатор необходимо связать с источником электромагнитного поля. Следовательно, задача о возбуждении резонаторов в теоретическом отношении представляет собой задачу о вынужденных колебаниях электромагнитного поля в диэлектрическом объеме, ограниченном проводящей поверхностью.
Возбуждение резонатора. Возбуждение резонатора осуществляется с помощью зонда или петли связи. На рис. 119, а показан способ возбуждения резонатора при помощи зонда. Оболочка трубчатого фидера соединяется с корпусом, а открытый центральный проводник этого фидера ( зонд) служит элементом связи. Зонд располагают в пучности электрического поля. Электрическое поле этого проводника, совпадающее с направлением электрических силовых линий резонатора, возбуждает в нем незатухающие колебания.
Возбуждение резонатора осуществляется с помощью зонда или петли связи. На рис. 75, а показан способ возбуждения резонатора при помощи зонда. Оболочка трубчатого фидера соединяется с корпусом, а открытый центральный проводник этого фидера ( зонд) служит элементом связи. Зонд располагают в пучности электрического поля. Электрическое поле этого проводника, совпадающее с направлением электрических силовых линий резонатора, возбуждает в нем незатухающие колебания.
Основной схемой централи времени ( см. рис. 5) является транзисторный кварцевый генератор. Генератор рассчитан так, что можно настроить как уровень возбуждения резонатора, так и точную частоту выходных импульсов. После генератора включен формирователь, работающий в режиме переключений; он преобразует выходное напряжение генератора в прямоугольные импульсы. Выходы делителей подсоединены к переключа гелю.
Основной схемой централи времени ( см. рис. 5) является транзисторный кварцевый генератор. Генератор рассчитан так, что можно настроить как уровень возбуждения резонатора, так и точную частоту выходных импульсов. После генератора включен формирователь, работающий в режиме переключений; он преобразует выходное напряжение хенерагора в прямоугольные импульсы. Выходы делителей подсоединены к переключателю.
Устройства для отбора энергии от волновода принципиально ничем не отличаются от возбуждающих устройств. Не менее часто такой вид связи применяют и для решения обратной задачи - возбуждения резонатора электромагнитной энергией, поступающей из волновода.
8 вопрос.
Показатель преломления радиоволн в атмосфере выражается формулой
где е—упругость водяного пара в мб; остальные обозначения прежние.
Распространение радиоволн в тропосфере. Проводимостьтропосферы σ для частот, соответствующих радиоволнам (за исключением миллиметровых волн),практически равна 0; диэлектрическая проницаемость ε и, следовательно, показатель преломления nявляются функциями давления и температуры воздуха, а также давления водяного пара. У поверхностиЗемли n ≈ 1,0003. Изменение ε и n с высотой зависит от метеорологических условий. Обычно ε и nуменьшаются, а фазовая скорость υ растет с высотой Так же как в металлических Радиоволноводах, втропосферных волноводах могут распространяться волны, длина которых меньше критической (λкр ≈0,085 d3/2 , d —высота волновода в м, λкр в см). Толщина слоев инверсии в тропосфере обычно непревышает Распространение радиоволн 50—100 м, поэтому волноводным способом могутраспространяться только дециметровые, сантиметровые и более короткие волны.
8.2 Отрицательная тропосферная рефракция: dn/dh > 0.
Коэффициент преломления возрастает с высотой и траектория волны обращена выпуклостью вниз (р < 0). Эквивалентный радиус Земли меньше реального (рис. 3.11, а), что согласно выражениям (3.33) и (2.29) приводит к уменьшению напряженности поля в месте приема.
Положительная тропосферная рефракция: dn/dh < 0.
Коэффициент преломления убывает с высотой и траектория волны обращена выпуклостью вверх (ρ > 0).При этом различают три частных случая:
1. Нормальная тропосферная рефракция, когда
Напряженность поля в точке приема больше, чем при отсутствии рефракции (рис. 3.11,б).
2. Критическая тропосферная рефракция, когда
Эквивалентный радиус Земли Rэ → ∞, т. е. эквивалентная земная поверхность представляется плоской. Волна распространяется параллельно этой поверхности на постоянной высоте (рис. 3.11, в).
3. Сверхрефракция, когда
Когда область сверхрефракции занимает значительные расстояния над земной поверхностью, УКВ могут быть приняты на весьма больших удалениях от передатчика. Распространение УКВ в этом случае происходит следующим образом. Излученная волна рефрагирует в тропосфере и снова возвращается на Землю, где происходит отражение. Таким образом, радиоволна распространяется путем последовательного чередования двух явлений: рефракции в тропосфере и отражения от земной поверхности. Это явление аналогично распространению радиоволн в металлическом волноводе, поэтому оно получило название распространения волн в условиях тропосферного волновода. Критическая длина волны связана с высотой волновода соотношением
λкр = 8·10-4hв3/2. (3.34)
8.3 Основной причиной затухания радиоволн в тропосфере является наличие капель воды, присутствующих здесь в виде тумана или дождя. При рассмотрении процесса затухания различают два явления: поглощение радиоволн каплями воды и рассеяние их в скоплении капель воды.
Поглощение радиоволн капельками воды происходит благодаря тому, что при прохождении радиоволн в каждой капельке наводятся токи поляризации. Диэлектрическая проницаемость воды велика (см. табл. 2.1), поэтому плотность токов поляризации имеет значительную величину, увеличивающуюся с повышением частоты проходящей радиоволны. Вода не является идеальным диэлектриком, и образующиеся в каплях воды токи поляризации вызывают тепловые потери, которые увеличиваются с повышением частоты.
Рассеяние радиоволн капельками воды также приводит к затуханию поля проходящей волны. Физика процесса заключается в том, что токи, наведенные радиоволной в капельках, излучают электромагнитные волны, причем каждая капелька излучает равномерно во все стороны. Это приводит к рассеянию мощности радиоволны, поскольку не вся мощность движется в первоначальном направлении: часть ее оказывается направленной в сторону или в обратном направлении. Рассеяние тем больше, чем крупнее капля и чем короче длина волны.
9 вопрос.
9) Благодаря ионосфере возможно дальнее распространение радиоволн от длинных до коротких волн, короткие волны могут распространяться на десятки тысяч км при небольших мощностях передатчиков.
9.1)Наибольшее влияние на распространение радиоволн оказывают свободные электроны, как наиболее легкие и подвижные заряженные частицы. Такое распределение называется простым слоем. Образование простого слоя обусловлено тем, что интенсивность ионизирующего излучения уменьшается с приближением к поверхности земли, а плотность нейтральных частиц изменяется в обратном направлении.
Максимальная частота волны, которая отражается от слоя ионосферы при вертикальном падении, называется критической частотой слоя.
Действующая высота отражения - гипотетическая высота отражения радиоволны от ионизированного слоя зависящая от распределения электронной концентрации по высоте и длинерадиоволны.
9.2) При распространении волны в направлении постоянного магнитного поля, линейно поляризованная волна распадается на две волны, поляризованные по кругу с противоположным направлением вращения вектора, причем диэлектрическая проницаемость среды для этих волн различна и волны имеют разные фазовые скорости.
В постоянном магнитном поле ионизированный газ становится анизотропной средой. Попадающая в ионосферу волна испытывает двойное лучепреломление, то есть расщепляется на 2 волны, отличающиеся скоростью и направлением распространения, поглощением и поляризацией.
Первая теорема эквивалентности (теорема Брайта-Тюва), которая гласит: время прохождения сигналом искривленного участка траектории в ионосфере с групповой скоростью равно времени прохождения сигналом воображаемого треугольного пути со скоростью света.
Вторая теорема эквивалентности (теорема Мартинса): если истинные высоты отражения двух сигналов с различной частотами, распространяющихся по траекториям с различными углами наклона, равны, то равны и их действующие высоты отражения.
10 вопрос.
11 вопрос.
11) К коротким волнам относятся радиоволны длиной от 100 до 10 м (частоты 3—30 МГц). Преимуществом работы на коротких волнах по сравнению с работой на более длинных волнах является то, что в этом диапазоне можно легко создать направленные антенны. Короткие волны могут распространяться как земные, в низкочастотной части диапазона, и как ионосферные.
С повышением частоты сильно возрастает поглощение волн в полупроводящей поверхности Земли. Поэтому при обычных мощностях передатчика земные волны коротковолнового диапазона распространяются на расстояния, не превышающие нескольких десятков километров. На морской глади, это расстояние значительно увеличивается.

Ионосферной волной короткие волны могут распространяться на многие тысячи километров, причем для этого не требуется передатчиков большой мощности. Поэтому в настоящее время короткие волны используются главным образом для связи и вещания на большие расстояния.
Короткие волны распространяются на дальние расстояния путем отражения от ионосферы и поверхности Земли. Такой способ распространения называют скачковым см. рис. 2 и характеризуется расстоянием скачка, числом скачков, углами выхода и прихода, максимальной применимой частотой (МПЧ) и наименьшей применимой частотой (НПЧ).
Условия: 1)Если ионосфера однородна в горизонтальном направлении, то и траектория волны симметрична. 2)Oграничивает рабочий диапазон снизу: чем ниже рабочая частота (в пределах коротковолнового диапазона), тем сильнее поглощение волны в ионосфере.
Диапазон частот 1,5–3 МГц, является ночным. Понятно, что для успешного проведения сеанса радиосвязи нужно каждый раз правильно выбирать частоту (длину волны), к тому же это усложняет конструкцию станции, но для настоящего ценителя дальних связей это не является трудностью, это часть хобби. Проведём оценку КВ диапазона по участкам.
Диапазон частот 5-8 мГц, во многом схож с диапазоном 3 мГц, и в отличае от него, здесь в дневное время можно связаться до 2000 км, зона молчания (ЗМ) отсутствует и составляет несколько десятков километров. В ночные часы возможна связь на любое расстояние за исключением ЗМ, которая увеличивается до нескольких сот километров. В часы смены времени суток (заход/восход), наиболее удобны для дальних связей. Атмосферные помехи менее выражены, чем в диапазоне 1,5-3 мГц.
В диапазоне частот 10-15 мГц в периоды солнечной активности возможны связи в дневное время суток практически с любой точкой земного шара. Летом продолжительность радиосвязи в этом диапазоне частот бывает круглосуточной, за исключением отдельных дней. Зона молчания ночью имеет расстояния в 1500-2000 км и по этому возможны только дальние связи. В дневное время они уменьшаются до 400-1000 км.
Диапазон частот 27-30 мГц пригоден для связи только в светлое время суток. Это самый капризный диапазон. Он обычно открывается на несколько часов, дней или недель особенно при смене сезонов, т.е. осенью и весной. Зона молчания (ЗМ) достигает 2000-2500 км. Это явление относится к теме МПЧ, здесь угол отраженной волны должен быть малым по отношению к ионосфере, иначе он имеет большое затухание в ионосфере, или простой уход в космические просторы. Малые углы излучения соответствуют большим скачкам и соответственно большим зонам молчания. В периоды максимума солнечной активности возможна связь и ночью.
Помимо перечисленных моделей, возможны случаи аномального распространения радиоволн. Аномальное распространение может возникнуть при появлении на пути волны спорадического слоя, от которого могут отражаться более короткие волны, вплоть до метровых. Это явление можно наблюдать на практике прохождением дальних телестанций и FM радиостанций. МПЧ радиосигнала в эти часы доходит до 60-100 мГц в годы солнечной активности002E
12 вопрос.
1) Радиоволны с длиной волны более 1 километра имеют отличительную особенность - способность хорошо огибать Землю при своем распространении. Поэтому волны этой части диапазона способны распространяться далеко за пределами прямой видимости. Конечно, при удалении излучающей антенны за линию горизонта сигнал будет значительно ослаблен, но, в общем, в этом диапазоне частот может быть обеспечена достаточно уверенная связь на расстояниях в сотни и тысячи километров.
Радиоволны, которые распространяются вдоль поверхности Земли, называют земными или поверхностными волнами. В этом диапазоне частот, кроме поверхностных волн, для связи используют и пространственные волны. Пространственными (ионосферными, небесными) называют такие волны, которые, будучи излученными от поверхности Земли, отразятся от ионосферы и вновь вернутся на Землю. Траектория распространения пространственной волны, вернувшейся на Землю после отражения от ионосферы, называется скачком. Электромагнитные волны нижней части радиодиапазона также хорошо отражаются от поверхности Земли (то есть с малыми потерями). Отраженные от Земли радиоволны при достижении ионосферы повторно отражаются от ее нижних слоев, образуя следующий скачок.

2) Дифракция - отклонение распространения радиоволн от прямолинейного, обусловленное наличием препятствий на их пути. Чем больше длина волны, тем больше напряженность поля в области тени.
Отметим, что независимо от формы препятствия с ростом длины волны дифракционные потери уменьшаются.
