Важное значение имеет транспортная функция белков.
Так, гемоглобин переносит кислород из легких к клеткам других тканей. В мышцах эту функцию выполняет белок миоглобин. Сывороточный альбумин крови способствует переносу липидов и жирных кислот, различных биологически активных веществ. Белки-переносчики осуществляют перенос веществ через клеточные мембраны.
Специфические белки выполняют защитную функцию. Они предохраняют организм от вторжения чужеродных организмов и от повреждения. Так, антитела, вырабатываемые лимфоцитами, блокируют чужеродные белки; интерфероны — универсальные противовирусные белки; фибриноген, тромбин и другие предохраняют организм от кровопотери, образуя тромб.
Многие живые существа для обеспечения защиты выделяют белки, называемые токсинами, которые в большинстве случаев являются сильными ядами. В свою очередь, некоторые организмы способны вырабатывать антитоксины, которые подавляют действие этих ядов.
Регуляторная функция присуща белкам-гормонам (регуляторам). Они регулируют различные физиологические процессы. Например, наиболее известным гормоном является инсулин, регулирующий содержание глюкозы в крови. При недостатке инсулина в организме возникает заболевание, известное как сахарный диабет.
Белки могут выполнять энергетическую функцию, являясь одним из источников энергии в клетке. При полном расщеплении 1 г белка до конечных продуктов выделяется 17,6 кДж энергии. Но в качестве источника энергии белки используются крайне редко. Аминокислоты, высвобождающиеся при расщеплении белковых молекул, используются для построения новых белков.
Роль белка в жизни клетки огромна. Современная биология показала, что сходство и различие организмов определяются в конечном счете набором белков. Чем ближе организмы друг к другу в систематическом положении, тем более сходны их белки.
Белки. Протеины. Протеиды. Пептид. Пептидная связь. Простые и сложные белки. Первичная, вторичная, третичная и четвертичная структуры белков. Денатурация.
1. Какие вещества называются белками?
2. Что такое первичная структура белка?
3. Как образуются вторичная, третичная и четвертичная структуры белка?
4. Что такое денатурация белка?
5. По какому признаку белки делятся на простые и сложные?
6. Какие функции белков вам известны?
7. Какую роль выполняют белки-гормоны?
8. Какую функцию выполняют белки-ферменты?
9. Почему белки редко используются в качестве источника энергии?
Белок яйца является типичным протеином. Выясните, что с ним произойдет, если на него подействовать водой, спиртом, ацетоном, кислотой, щелочью, растительным маслом, высокой температурой и т. д.
1. Измельчите клубень сырого картофеля до состояния кашицы. Возьмите три пробирки и в каждую положите небольшое количество измельченного картофеля.
Первую пробирку поместите в морозилку холодильника, вторую — на нижнюю полку холодильника, а третью — в банку с теплой водой (t = 40 °С). Через 30 мин достаньте пробирки и в каждую капните небольшое количество пероксида водорода. Пронаблюдайте, что будет происходить в каждой пробирке. Объясните полученные результаты.
3. Возьмите три пробирки и в каждую из них положите небольшое количество измельченного сырого картофеля. В первую пробирку с картофелем капните несколько капель воды, во вторую — несколько капель кислоты (столовый уксус), а в третью — щелочи. Пронаблюдайте, что будет происходить в каждой пробирке. Объясните полученные результаты. Сделайте выводы.
Ферменты значительно превосходят другие катализаторы по специфичности, каталитической активности и способны действовать в мягких условиях (невысокие температуры, нормальное давление и т.д.). Они способны в течение миллисекунд обеспечить протекание сложных многостадийных реакций, для проведения которых химику в современной лаборатории потребовались бы дни, недели или даже месяцы. Например, одна молекула фермента каталазы расщепляет в 1 мин более 5 млн молекул пероксида водорода (Н2О2), который образуется в организме при окислении различных соединений. Так как молекулы белков, построенные из аминокислот, необычайно велики и сложны, то для их изображения используют специальную общепринятую символику. Каждая аминокислота обозначается тремя латинскими буквами. Многие живые организмы способны вырабатывать одни аминокислоты из других и поэтому им не очень важно, какие аминокислоты содержатся в белках пищи. Но некоторые животные, в том числе человек, должны получать подавляющее число аминокислот с пищей, так как ряд аминокислот, называемых незаменимыми, в их организме не вырабатывается, но они необходимы для жизнедеятельности.
6. Углеводы и липиды, их строение и функции.
Углеводы — органические соединения, состав которых в большинстве случаев выражается общей формулой Cn(H2O)m (n и m ≥ 4). Углеводы подразделяются на моносахариды, олигосахариды и полисахариды.
Моносахариды — простые углеводы, в зависимости от числа атомов углерода подразделяются на триозы (3), тетрозы (4), пентозы (5), гексозы (6) и гептозы (7 атомов). Наиболее распространены пентозы и гексозы. Свойства моносахаридов — легко растворяются в воде, кристаллизуются, имеют сладкий вкус, могут быть представлены в форме α- или β-изомеров.
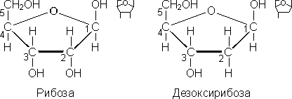
Рибоза и дезоксирибоза относятся к группе пентоз, входят в состав нуклеотидов РНК и ДНК, рибонуклеозидтрифосфатов и дезоксирибонуклеозидтрифосфатов и др. Дезоксирибоза (С5Н10О4) отличается от рибозы (С5Н10О5) тем, что при втором атоме углерода имеет атом водорода, а не гидроксильную группу, как у рибозы.

Глюкоза, или виноградный сахар (С6Н12О6), относится к группе гексоз, может существовать в виде α-глюкозы или β-глюкозы. Отличие между этими пространственными изомерами заключается в том, что при первом атоме углерода у α-глюкозы гидроксильная группа расположена под плоскостью кольца, а у β-глюкозы — над плоскостью.

Глюкоза — это:
1. один из самых распространенных моносахаридов,
2. важнейший источник энергии для всех видов работ, происходящих в клетке (эта энергия выделяется при окислении глюкозы в процессе дыхания),
3. мономер многих олигосахаридов и полисахаридов,
4. необходимый компонент крови.
Фруктоза, или фруктовый сахар, относится к группе гексоз, слаще глюкозы, в свободном виде содержится в меде (более 50%) и фруктах. Является мономером многих олигосахаридов и полисахаридов.
Олигосахариды — углеводы, образующиеся в результате реакции конденсации между несколькими (от двух до десяти) молекулами моносахаридов. В зависимости от числа остатков моносахаридов различают дисахариды, трисахариды и т. д. Наиболее распространены дисахариды. Свойства олигосахаридов — растворяются в воде, кристаллизуются, сладкий вкус уменьшается по мере увеличения числа остатков моносахаридов. Связь, образующаяся между двумя моносахаридами, называетсягликозидной.
Сахароза, или тростниковый, или свекловичный сахар, — дисахарид, состоящий из остатков глюкозы и фруктозы. Содержится в тканях растений. Является продуктом питания (бытовое название — сахар). В промышленности сахарозу вырабатывают из сахарного тростника (стебли содержат 10–18%) или сахарной свеклы (корнеплоды содержат до 20% сахарозы).
Мальтоза, или солодовый сахар, — дисахарид, состоящий из двух остатков глюкозы. Присутствует в прорастающих семенах злаков.
Лактоза, или молочный сахар, — дисахарид, состоящий из остатков глюкозы и галактозы. Присутствует в молоке всех млекопитающих (2–8,5%).
Полисахариды — это углеводы, образующиеся в результате реакции поликонденсации множества (несколько десятков и более) молекул моносахаридов. Свойства полисахаридов — не растворяются или плохо растворяются в воде, не образуют ясно оформленных кристаллов, не имеют сладкого вкуса.
Крахмал (С6Н10О5)n — полимер, мономером которого является α-глюкоза. Полимерные цепочки крахмала содержат разветвленные (амилопектин, 1,6-гликозидные связи) и неразветвленные (амилоза, 1,4-гликозидные связи) участки. Крахмал — основной резервный углевод растений, является одним из продуктов фотосинтеза, накапливается в семенах, клубнях, корневищах, луковицах. Содержание крахмала в зерновках риса — до 86%, пшеницы — до 75%, кукурузы — до 72%, в клубнях картофеля — до 25%. Крахмал — основной углевод пищи человека (пищеварительный фермент — амилаза).
Гликоген (С6Н10О5)n — полимер, мономером которого также является α-глюкоза. Полимерные цепочки гликогена напоминают амилопектиновые участки крахмала, но в отличие от них ветвятся еще сильнее. Гликоген — основной резервный углевод животных, в частности, человека. Накапливается в печени (содержание — до 20%) и мышцах (до 4%), является источником глюкозы.
Целлюлоза (С6Н10О5)n — полимер, мономером которого является β-глюкоза. Полимерные цепочки целлюлозы не ветвятся (β-1,4-гликозидные связи). Основной структурный полисахарид клеточных стенок растений. Содержание целлюлозы в древесине — до 50%, в волокнах семян хлопчатника — до 98%. Целлюлоза не расщепляется пищеварительными соками человека, т.к. у него отсутствует фермент целлюлаза, разрывающий связи между β-глюкозами.

Инулин — полимер, мономером которого является фруктоза. Резервный углевод растений семейства Сложноцветные.
Гликолипиды — комплексные вещества, образующиеся в результате соединения углеводов и липидов.
Гликопротеины — комплексные вещества, образующиеся в результате соединения углеводов и белков.
Функции углеводов
| Функция | Примеры и пояснения |
| Энергетическая | Основной источник энергии для всех видов работ, происходящих в клетках. При расщеплении 1 г углеводов выделяется 17,6 кДж. |
| Структурная | Из целлюлозы состоит клеточная стенка растений, из муреина — клеточная стенка бактерий, из хитина — клеточная стенка грибов и покровы членистоногих. |
| Запасающая | Резервным углеводом у животных и грибов является гликоген, у растений — крахмал, инулин. |
| Защитная | Слизи предохраняют кишечник, бронхи от механических повреждений. Гепарин предотвращает свертывание крови у животных и человека. |
Смотри здесь анимацию о классификации и биологических функциях углеводов
Строение и функции липидов
Липиды не имеют единой химической характеристики. В большинстве пособий, давая определение липидам, говорят, что это сборная группа нерастворимых в воде органических соединений, которые можно извлечь из клетки органическими растворителями — эфиром, хлороформом и бензолом. Липиды можно условно разделить на простые и сложные.
Простые липиды в большинстве представлены сложными эфирами высших жирных кислот и трехатомного спирта глицерина — триглицеридами. Жирные кислоты имеют: 1) одинаковую для всех кислот группировку — карбоксильную группу (–СООН) и 2) радикал, которым они отличаются друг от друга. Радикал представляет собой цепочку из различного количества (от 14 до 22) группировок –СН2–. Иногда радикал жирной кислоты содержит одну или несколько двойных связей (–СН=СН–), такую жирную кислоту называют ненасыщенной. Если жирная кислота не имеет двойных связей, ее называют насыщенной. При образовании триглицерида каждая из трех гидроксильных групп глицерина вступает в реакцию конденсации с жирной кислотой с образованием трех сложноэфирных связей.
Если в триглицеридах преобладают насыщенные жирные кислоты, то при 20°С они — твердые; их называют жирами, они характерны для животных клеток. Если в триглицеридах преобладают ненасыщенные жирные кислоты, то при 20 °С они — жидкие; их называют маслами, они характерны для растительных клеток.

1 — триглицерид; 2 — сложноэфирная связь; 3 — ненасыщенная жирная кислота;
4 — гидрофильная головка; 5 — гидрофобный хвост.
Плотность триглицеридов ниже, чем у воды, поэтому в воде они всплывают, находятся на ее поверхности.
К простым липидам также относят воски — сложные эфиры высших жирных кислот и высокомолекулярных спиртов (обычно с четным числом атомов углерода).
Сложные липиды. К ним относят фосфолипиды, гликолипиды, липопротеины и др.
Фосфолипиды — триглицериды, у которых один остаток жирной кислоты замещен на остаток фосфорной кислоты. Принимают участие в формировании клеточных мембран.
Гликолипиды — см. выше.
Липопротеины — комплексные вещества, образующиеся в результате соединения липидов и белков.
Липоиды — жироподобные вещества. К ним относятся каротиноиды (фотосинтетические пигменты), стероидные гормоны (половые гормоны, минералокортикоиды, глюкокортикоиды), гиббереллины (ростовые вещества растений), жирорастворимые витамины (А, D, Е, К), холестерин, камфора и т.д.
