8. Безопасность и экологичность проекта
В сфере обеспечения безопасности человека в производственных условиях в стране действует законодательство в области охраны труда.
Охрана труда - система обеспечения безопасности жизни и здоровья работников в процессе трудовой деятельности, включая правовые, социальноэкономические, организационно-технические, санитарно-гигиенические, организационно-профилактические и иные мероприятия.
В системе обеспечения безопасности жизни и здоровья работников в процессе их трудовой деятельности принадлежит нормативным правовым актам по охране труда. Нормативные требования по охране труда и их соблюдения по существу являются фундаментом в создании здоровых и безопасных условий труда.
Анализ травматизма, проведение организационно-технических мероприятий в области охраны труда по отраслям хозяйства и контроль за их выполнением в организациях и на предприятиях железнодорожного транспорта осуществляют главные управления ОАО «РЖД», службы дорог, диспетчера и отраслевые отделы отделений дорог, руководителями предприятий и учреждений.
Современные транспортные средства, транспортные коммуникации оказывают влияние окружающую природную среду и сами, естественно, испытывают серьёзное воздействие внешних факторов. Транспорт практически оказывает влияние на все компоненты природной среды. Влияние транспорта на природную среду определяется также рядом других факторов.
Связано это, например, с неэкономичным расходованием природных ресурсов при производстве транспортных средств. При низкой топливной экономичности идёт много нефтепродуктов на эксплуатацию транспортных средств. Много расходуется воды, воздуха и т. д. Под транспортные коммуникации и предприятия, базы обслуживания, ремонта транспортных средств уходит около 50 % территории городов. Кроме этого значительные площади земли загрязняются выбросами, грузами, распылёнными при выполнении погрузочно-разгрузочных работ и транспортировании их, мусором, отходами предприятий транспорта. Следует отметить загрязнение водных бассейнов стоками от предприятий транспорта. Сточные воды содержат нефтепродукты, фенол, лакокрасочные материалы и другие загрязнители. Особенно большое количество загрязнителей содержится в стоках промывочно-пропарочных станций, депо, заводов. Все предприятия обязаны разрабатывать и в какой-то степени разрабатывает меры по уменьшению загрязнений окружающей среды.
В целом все программы по предупреждению загрязнения природы должны быть достаточными для решения экологического равновесия в районе проектирования и строительства объекта. Грамотное решение в таких ситуациях может быть получено при сочетании искусства проектирования и науки при использовании системного подхода, методов системотехники, инженерной экологии.
8.1. Решение вопросов охраны труда при выполнении погрузочно - разгрузочных работ при текущем содержании пути
При выполнении погрузочно-разгрузочных работ должны соблюдаться правила по охране труда при содержании и ремонте железнодорожного пути и сооружений. Они устанавливают порядок обеспечения безопасности для всех работников путевого хозяйства при осмотре, содержания и всех видов ремонта пути, путевых обустройств и искусственных сооружений, а также при других работах, выполняемых в путевом хозяйстве.
Перед выходом на работу руководитель обязан:
- проверить исправность рабочего инструмента и его соответствие типовым требованиям и нормам;
- исправность машин, механизированных и сигнальных принадлежностей;
- наличие и состояние спецодежды и защитных приспособлений;
- убедиться в том, что заявка о выдаче предупреждений на поезда принята к исполнению;
- произвести инструктаж о маршруте безопасного перехода к месту работ и обратно;
- инструктаж о правилах безопасного прохода к месту работ и обратно;
- инструктаж о порядке ограждения места работы, наблюдения за движением поездов и маневровых составов, своевременном прекращении работы и схода с пути.
Идти от места сбора на работу и обратно можно только в стороне от пути или обочине земляного полотна под наблюдением руководителя работ.
При перевозке путевого инструмента и материалов на путевой тележке для сопровождения ее по пути следования должны быть назначены рабочие в количестве достаточном, чтобы заблаговременно до подхода поезда снять груз и убрать с пути тележку; остальные должны идти по обочине земляного полотна.
При невозможности пройти в стороне от пути или обочине во время заносов и в других случаях, проход рабочих по пути может быть допущен с принятием мер предосторожности. На двухпутном участке следует идти навстречу правильному движению поездов. При приближении поезда или другой движущейся единицы рабочие должны быть заблаговременно отведены в сторону от рельсовой колеи на расстояние не менее двух метров от крайнего рельса. Руководитель обязан предупредить рабочих об особой осторожности, особенно в условиях плохой видимости (в крутых кривых, глубоких выемках, лесистой ведомости), а также выделить двух специалистов на расстояние зрительной связи, которые должны заблаговременно оповещать бригаду условными знаками, согласно требованиям ПТЭ и памятки специалиста. В пределах дистанции пути производится большое число маневровых работ, связанных с транспортировкой грузов, а также различного рода погрузочноразгрузочных операций при помощи мотовоза погрузочно-транспортного МПТ-4. Организация и выполнение этих работ осуществляется в соответствии с правилом техники безопасности и производственной санитарии при производстве погрузо-разгрузочных работ на железнодорожном транспорте. На кабине мотовоза МПТ-4 смонтирован полноповоротный кран, который позволяет поднимать груз, находящийся на некотором расстоянии от опоры дрезины. Поэтому правилами Гостехнадзора предъявляются особые требования по обеспечению в процессе работы устойчивости крана, так как неправильное распределение масс механизмов крана может привести к его опрокидыванию .
Основным мероприятием по улучшению и облегчению условий труда при производстве этих работ, а также по обеспечению безопасности работающих является широкое внедрение механизации погрузки, выгрузки и транспортировки грузов.
Все работы, связанные с погрузкой, выгрузкой, складированием и транспортировкой грузов, должны выполняться в соответствии с ГОСТ 12.3.009-76 Работы погрузочно-разгрузочные, общие требования безопасности, ГОСТ 12.3.020-80 - Процессы перемещения грузов на предприятиях, общие требования безопасности, Правилами по технике безопасности и производственной санитарии при производстве погрузочно-разгрузочных работ на железнодорожном транспорте.
Погрузочно-разгрузочные работы производят под руководством опытного работника, который должен сдать испытание в знании действующих знаний по технике безопасности и производственной санитарии при производстве работ в путевом хозяйстве ЦП/3376.
Руководитель работ подготавливает разгрузочную площадку, устанавливает порядок и способы погрузки, выгрузки и перемещения грузов, распределяет рабочих соответственно их квалификации и опыту, инструктирует рабочих по вопросам технологии производства работ и
выполнения требований правил по технике безопасности и безопасных приемов труда на этих работах, обеспечивает место работ исправными приспособлениями, механизмами и кранами, в соответствии с требованиями раздела 4 ЦП/3376.
|
Рисунок 8.1 - Мотовоз погрузочно-транспортный МПТ - 4.
|
Выполнение погрузочно-разгрузочных работ допускается как в светлое, так и в темное время суток. К наиболее сложным погрузочноразгрузочным работам следует отнести выгрузку и погрузку рельс, как наиболее громоздких и тяжелых материалов верхнего строения пути Разгрузка и погрузка рельсов производится дрезиной мотовозом МПТ-4, оборудованной подъемным краном. Обеспечение нормальных осветительных условий играет немаловажную роль в борьбе за снижение производственного травматизма при проведении указанных выше работ.Мотовоз погрузочно-транспортный МПТ-4 представлен на рис. 8.1
8.1.1. Расчет устойчивости мотовоза погрузочно- транспортного (МПТ-4)
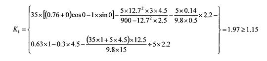
Грузовая устойчивость крана от действий полезных нагрузок при возможном опрокидывании его вперёд (в сторону стрелы и груза) обеспечивается в том случае, если выполняется неравенство:
К1×МГ<МП, (8.1)
где:К1 - коэффициент грузовой устойчивости, принимаемый для горизонтального пути без учёта дополнительных нагрузок равным 1,4 ,а при наличие ветра, инерционных сил, влияние наибольшего допустимого уклона пути 1,15;
Мг - момент, создаваемый рабочим грузом относительно ребра опрокидывания;
Мп - момент всех прочих нагрузок, действующих относительно того же ребра (удерживающий момент).
Для определения коэффициента грузовой устойчивости рекомендуется использовать следующую развернутую формулу:

Собственную устойчивость крана определяют при отсутствии полезных нагрузок.
Коэффициент собственной устойчивости крана определяется по формуле:

В этих формулах:
G- вес крана - 35т;
Q- вес наибольшего груза - 5т;
l- расстояние от оси вращения крана до центра тяжести подвешенного груза при установке крана на горизонтальной поверхности – 3м;
m- расстояние от центра тяжести подвешенного наибольшего груза при установке крана на горизонтальной плоскости до ребра опрокидывания - 2,2м;
c - расстояние от плоскости, проходящей через ось вращения крана
параллельно ребру опрокидывания, до центра тяжести крана - 0,5м;
Н - расстояние от головки стрелы до центра тяжести подвешенного груза -
2,5м;
h1 - расстояние от головки стрелы до плоскости, проходящей через точки опорного контура - 4,5м;
h- расстояние от центра тяжести крана до плоскости проходящей через точки
опорного контура - 1м;
V - скорость подъёма груза -0,14м/с;
V1- скорость передвижения крана - 12,5м/с;
n- частота вращения крана, об/мин;
t- время неустановившегося режима работы механизма подъёма - 0,5мин;
t1-время неустановившегося режима работы механизма передвижения - 15сек;
W- сила давления ветра на кран - 0,63кН;
W1- сила давления на подветренную площадь груза - 0,ЗкН;
W2- сила давления ветра, действующая перпендикулярно ребру
опрокидывания и параллельно плоскости, на которой установлен кран - 1,8кН;
h2- расстояние от плоскости, проходящей через точки опорного контура, доцентра приложения ветровой нагрузки - 3м;
a- угол наклона крана (пути), а-0.
Определим коэффициент грузовой устойчивости:

Определим коэффициент собственной устойчивости:

8.2. Охрана окружающей среды.
8.2.1. Расчёт шумового воздействия на монтёров пути при выполнении работ по текущему содержанию.
Интенсивный шум неблагоприятно действует на организм человека и может явиться причиной профессиональных заболеваний. При работе в условиях шума снижается производительность труда. Шум притупляет внимание, замедляет реакцию человека на те или иные раздражители, мешает восприятию полезных сигналов, что особенно опасно на работах, связанных с движением поездов. Он нарушает комфорт пассажиров и является источником беспокойства для населения в расположенных вблизи железнодорожных объектов населенных пунктах.
Шумом называются звуки, мешающие восприятию полезных звуков или нарушающие тишину, а также звуки, оказывающие вредное или раздражающее действие на организм человека.
В качестве основных величин, используемых для нормирования шума и расчетов по шумоглушению, принимают звуковое давление в паскалях (Па) и его уровень в децибелах (дБ).
Звуковое давление p— разность между мгновенным значением давления в данной точке среды при прохождении через эту точку звуковых волн и средним давлением, которое наблюдается в этой же точке при отсутствии звука.
Если за восьмичасовой рабочий день уровень звукового давления на рабочем месте изменяется не более чем на 5 дБ, то шум называют постоянным, в противном случае - непостоянным.
Непостоянный шум в свою очередь подразделяют на колеблющийся во време ни, если уровень звукового давления непрерывно изменяется (например, шум в кузовном отделении вагонного депо, шум дорожного движения, шум проходящего по рельсам подвижного состава и т. п.); прерывистый, если уровень звукового давления резко падает до уровня фонового шума, причем длительность интервалов, в течение которых уровень давления остается постоянным и превышает уровень фона, составляет 1 с и более (например, шум выброса сжатого воздуха из ресивера компрессора, шум одиночной шлифовальной машины и т. п.); импульсный, состоящий из одного или нескольких звуковых сигналов, каждый длительностью менее 1 с (например, шум при забивании гвоздей молотком и т. п.).
Частотный состав шума характеризует его спектр. Спектром шума называют зависимость уровня звукового давления в частотных полосах от средних частот этих полос. Спектр можно представить либо в виде таблицы, либо графически в виде ломаной линии. В качестве средней частоты октавной полосы принимают среднегеометрическую частоту:
,
где
и
— крайние частоты полосы.
Спектр, а, следовательно, и шум, которому он соответствует, может быть низ кочастотным(максимум уровня звукового давления находится в области частот ниже 300 Гц), среднечастотным(область частот от 300 до 800 Гц) и высокоча стотным(область частот более 800 Гц).
Звук с частотами ниже 20 Гц называют инфразвуком, а с частотами выше 20 кГц — ультразвуком. Эти звуки не слышимы для человека.
Шум называют тональным, если в нем прослушивается звук определенной частоты. В противном случае он будет широкополосным. Пример тонального шума — сигналы локомотивов, а широкополосного — шум водопада, шум подвижного состава.

