Рисунок 8.3 - Схема замещения сети в аварийном режиме.
Определим мощности в начале и в конце каждого звена сети




| Изм. |
| Лист |
| № документа |
| Подпись |
| Дата |
| Лист |
| 41 |
| КП.13.02.03.1-16.016.ПЗ |






Определение напряжения в точках сети










| Изм. |
| Лист |
| № документа |
| Подпись |
| Дата |
| Лист |
| 42 |
| КП.13.02.03.1-16.016.ПЗ |
Падение напряжения в аварийном режиме больше допустимого.
Желательно изменить режим работы сети: применить батареи конденсаторов
на ПС-1 для обеспечения экономичного режима работы сети.
9. ВЫБОР ОТПАЕК НА ТРАНСФОРМАТОРНЫХ
| Изм. |
| Лист |
| № документа |
| Подпись |
| Дата |
| Лист |
| 43 |
| КП.13.02.03.1-16.016.ПЗ |
ПОДСТАНЦИЯХ
Выберем основным методом регулирования напряжения в сети изменением коэффициента трансформации трансформаторов
Подстанция №1
Из расчетов известно:
S1 max = 8,832 + j5,88(МВА); U 1max = 34,9(кВ); RТ/2=0,405(Ом)
S1 min = 7,825 + j5,18МВА); U 1min = 33,2(кВ); ХТ/2=5,4(Ом)
Определим напряжение на низкой стороне трансформатора, приведенное к высокой стороне
(9.1)

(9.2)

Зададимся желаемым напряжением:

Желаемые коэффициенты трансформации
(9.3)
где U11max – напряжение на НН подстанции, приведенное к высшему
напряжению, т.е. с учетом потери напряжения в трансформаторе в
максимальном режиме, кВ;
U жел.max – желаемое напряжение на шинах подстанции в максимальном
режиме, кВ;
| Изм. |
| Лист |
| № документа |
| Подпись |
| Дата |
| Лист |
| 44 |
| КП.13.02.03.1-16.016.ПЗ |

(9.4)
где U11min - напряжение на НН подстанции, приведенное к высшему
напряжению, т.е. с учетом потери напряжения в трансформаторе в
минимальном режиме, кВ;
U жел.min – желаемое напряжение на шинах подстанции в минимальном
режиме, кВ;

Номинальный коэффициент трансформации
(9.5)
где UнВН – напряжение на стороне высокого напряжения подстанции в
номинальном режиме, кВ;
UнНН – напряжение на стороне низкого напряжения подстанции в
номинальном режиме, кВ

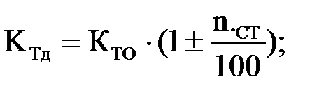
Расчетная ступень регулирования
(9.6)
где n.pi - величина, показывающая, на сколько процентов необходимо
изменить коэффициент трансформации по сравнению с коэффициентом
трансформации на нулевом ответвлении, %.

| Изм. |
| Лист |
| № документа |
| Подпись |
| Дата |
| Лист |
| 45 |
| КП.13.02.03.1-16.016.ПЗ |

Стандартные ступени регулирования
nСТ % = - 2 х 1,5 = - 3% - максимальный режим;
nСТ % = - 4 х 1,5 = - 6% - минимальный режим;
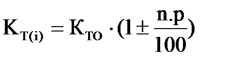
Определим действительный коэффициент трансформации
(9.7)


Определим действительные напряжения на стороне НН трансформатора
(9.8)

(9.9)

Вывод: действительные напряжения близки по значению желаемым.
Подстанция №2
Из расчетов известно:
S1 max = 4,529 + j3,063(МВА); U 2 max = 34,7(кВ) ; RТ/2 = 1,282(Ом)
S1 min =3,922 + j2,638(МВА); U 2 min =33(кВ); ХТ/2 = 11,48(Ом)
Определим напряжение на низкой стороне трансформатора, приведенное к высокой стороне
| Изм. |
| Лист |
| № документа |
| Подпись |
| Дата |
| Лист |
| 46 |
| КП.13.02.03.1-16.016.ПЗ |




Зададимся желаемым напряжением:

Желаемые коэффициенты трансформации




Номинальный коэффициент трансформации


Расчетная ступень регулирования



| Изм. |
| Лист |
| № документа |
| Подпись |
| Дата |
| Лист |
| 47 |
| КП.13.02.03.1-16.016.ПЗ |

Стандартные ступени регулирования:
nСТ % = - 3 х 1,5 % = - 4,5% - максимальный режим;
nСТ % = - 4 х 1,5 % = - 6% - минимальный режим
Определим действительный коэффициент трансформации




Определим действительные напряжения на стороне НН трансформатора




Вывод: действительные напряжения близки по значению желаемым.
Подстанция №3
Из расчетов известно:
S1 max = 0,959 + j0,5157(МВА); U 3 max = 36,2(кВ); RТ = 8,6(Ом)
S1 min = 0,5525 + j0,275(МВА); U 3 min = 34,4(кВ); ХТ = 49,8(Ом)
Определим напряжение на низкой стороне трансформатора, приведенное к высокой стороне
| Изм. |
| Лист |
| № документа |
| Подпись |
| Дата |
| Лист |
| 48 |
| КП.13.02.03.1-16.016.ПЗ |




Зададимся средним уровнем напряжения:

Номинальный коэффициент трансформации


Желаемый коэффициент трансформации


Расчетная ступень регулирования


Стандартная ступень регулирования
nСТ % = +1х2,5 % = +2,5%
Определим действительный коэффициент трансформации
| Изм. |
| Лист |
| № документа |
| Подпись |
| Дата |
| Лист |
| 49 |
| КП.13.02.03.1-16.016.ПЗ |


Определим действительные напряжения на стороне НН трансформатора




Вывод: действительные напряжения близки по значению желаемым.
| Изм. |
| Лист |
| № документа |
| Подпись |
| Дата |
| Лист |
| 50 |
| КП.13.02.03.1-16.016.ПЗ |
ЗАКЛЮЧЕНИЕ
В выполненном проекте на тему «Проектирование расширения сети 35 кВ» было рассмотрено строительство электрической сети, в Краснодарском крае.
Согласно задания, в курсовом проекте был произведен выбор типа и мощности силовых трансформаторов, определены приведенные нагрузки подстанций.
В КП были рассмотрены пять вариантов схем электрической сети, расчет двух оптимальных вариантов в максимальном режиме, выполнен технико-экономический расчет двух выбранных вариантов и определен наиболее экономичный.
В КП был произведен электрический расчет оптимального варианта схемы проектируемой электрической сети (в режиме минимальных нагрузок и в наиболее тяжелом послеаварийном режиме); определены напряжения на шинах подстанций во всех режимах и выбор способов регулирования напряжения.
В графической части проекта выполнены главная схема электрической сети и конструктивный чертеж ОРУ-35 кВ.
СПИСОК ЛИТЕРАТУРЫ.
| Изм. |
| Лист |
| № документа |
| Подпись |
| Дата |
| Лист |
| 51 |
| КП.13.02.03.1-16.016.ПЗ |
1) Кудрин Б.И. Электроснабжение промышленных предприятий
[Текст]:Учебник. Доп. Министерством образования РФ./ Б.И. Кудрин. – 2-е изд.. – М.: Интермет Инжиниринг, 2008. – 672 с..
2) Васильков А.В.. Источники электропитания [Текст]:Учебное пособие.
Доп. Министерством образования РФ/ А.В. Васильков. – М.: Форум,2012. – 400 с.. (Профессиональное образование).
3) Макаров Е.Ф.Обслуживание и ремонт электрооборудования
электростанций и систем [Текст]:Учебник. Доп. Министерством образования РФ / Е.Ф. Макаров, М.: Академия, 2003. – 48 с..
4) Неклепаев Б.Н.. Электрическая часть электростанций и подстанций
[Текст]: Справочные материалы для курсового и дипломного проектирования: Учебное пособие. Доп. Министерством образования РФ./ Б.Н. Неклепаев, И.П.Крючков. – 4-е изд., перераб. и доп..- М.: Энергоатоиздат, 1998. – 608 с..
5) Правила технической эксплуатации электроустановок потребителей
[Текст]:Учебно-практическое пособие. Доп. Министерством образования РФ.Авт.-сост.: СС.Бодрухина. - М.: КНОРУС, 2010. – 260 с..
6) Правила проектирования и монтажа электроустановок [Текст]. – М.:
ОМЕГА-Л, 2009. -104 с.. ( Безопасность и охрана труда).
7) Карапетян И.Г., Файбисович Д.Л..Справочник по проектированию электрических сетей [Текст]: Справочное пособие: Учеб. Пособие. Доп. Министерством образования РФ/ под ред. Файбисович Д.Л. – 4-е изд., перераб. и доп.. – М.: «Издательство НЦ ЭНАС», 2014. – 376 с…
