TN - S режим работы заземления нейтрали
Министерство образования и науки РФ
Федеральное государственное бюджетное образовательное учреждение
высшего профессионального образования
«Ивановский государственный энергетический университет
имени В.И. Ленина»
Кафедра «Высоковольтных электроэнергетики, электротехники и электрофизики»
Индивидуальное задание по курсу:
«Электромагнитная совместимость объектов высоковольтной энергетики»
Выполнил:
магистрант гр. 2-25м
Гусев Н.А.
Проверил:
к.т.н., доцент
Словесный С.А.
Иваново 2017
Задача №1
Информационная коаксиальная линия, соединяющая заземленный источник сигнала и присоединенное к заземлителю измерительное устройство, проходит по участку ОРУ с однородным магнитным полем напряженностью 120 А/м, изменяющимся с частотой 50 Гц. Расстояние от информационной линии до плоскости заземления (до заземлителя) 50 см, длина линии 300 м. Длины участков токоведущей жилы, не защищённых экраном, с каждой стороны кабеля составляют 50 см. Погонное сопротивление токоведущей жилы 20 Ом/км, погонная индуктивность токоведущей жилы и экрана 1 мГн/км. Взаимную индуктивность между токоведущей жилой кабеля и экраном принимаем равной соответствующей индуктивности экрана. Сопротивление заземляющего устройства на участке между источником сигнала и нагрузкой равно 0,4 Ом. Сопротивление нагрузки 1000 Ом. ЭДС источника полезного сигнала 5 В. Полезный сигнал изменяется с частотой 50 Гц (как и шум).
Рассчитать напряжение шумов, формируемых на нагрузке, если фазы ЭДС шумов и сигнала совпадают, внутреннее сопротивление источника сигнала 10 Ом. Если напряжение шумов превышает 10% от напряжения сигнала, разработать комплекс защитных мероприятий по увеличению отношения напряжения сигнала к напряжению шумов до 10 единиц.
Рисунок 1. – Общая схема цепи.
Рисунок 2. – Схема замещения цепи сигнала.
Рисунок 3. – Схема замещения цепи шумов.
Общие параметры схемы
Площадь контура проводника:

Площадь контура экрана:

Активное сопротивление проводника:

Активное сопротивление экрана:

Индуктивности проводника и экрана кабеля:


Взаимная индукция Mэп принимается равной индуктивности экрана.
Как допущение принимается, что площади контуров экрана и проводника, а также их индуктивности одинаковы.
Магнитная индукция:

ЭДС взаимоиндукции шумов в проводнике и экране от внешнего магн. поля:

Для нахождения токов в цепи строится система уравнений по законам Кирхгофа.
Система уравнений для цепи сигнала (действующие значения – по модулю):
|
|
|
|
|
|
|
|
|
|
| ток сигнала в жиле |
|
|
| ток сигнала в экране |
|
|
| ток сигнала через землю |
|
|
|
|
Т.е. напряжение сигнала на нагрузке Uc равно 4,919 В.
Система уравнений для цепи шумов:
|
|
|
|
|
|
|
|
|
|
| напряжение шумов на нагрузке |
|
|
|
|
Напряжение шумов на нагрузке составляет 5,222 В.
Отношение сигнал/шум:

Таким образом, напряжение шумов превышает напряжения сигнала. В данном случае необходимо снизить напряжение шумов до такой величины, при которой обеспечивается превышение уровня сигнала над шумом в 10 раз.
Снизить напряжение шумов можно, если снизить величину тока шумов Iш1 через нагрузку (рис.2). Для этого в схему вводится двухобмоточный нейтрализующий трансформатор, включаемый последовательно в цепь сигнала – дроссель-трансформатор (рис 4).
Рисунок 4. – Общая схема цепи с нейтрализующим дроссель-трансформатором.
Рисунок 5. – Схема замещения цепи сигнала с нейтрализующим дроссель-трансформатором.
Рисунок 6. – Схема замещения цепи шумов.
Обмотки дроссель-трансформатора подключаются встречно по ходу полезного сигнала, - в таком случае сигнал практически не ослабевает. Токи шумов Iш1 и Iш2 проходят по обмоткам согласно, поэтому индуктивное сопротивление трансформатора для них велико.
В данной схеме наименьшая величина индуктивности каждой из обмоток и их взаимоиндукция находятся на уровне 0,0537 Гн. При этом обеспечивается отношение сигнал/шум, равное 10.
Система уравнений для цепи сигнала:
|
|
|
|
|
|
|
|
|
|
|
|
|
|
| ток сигнала в жиле |
|
|
| ток сигнала в экране |
|
|
| ток сигнала через землю |
|
|
|
|
Видно, что дроссель-трансформатор практически не влияет на уровень полезного сигнала.
Система уравнений для цепи шумов:
|
|
|
|
|
|
|
|
|
|
|
|
|
|
| напряжение шумов на нагрузке |
|
|
|
|
При величине взаимоиндукции и индуктивности каждой из обмоток 0,0537 Гн напряжение шумов в нагрузке равно 0,491 В, отношение сигнал/шум:

Нейтрализующий дроссель-трансформатор показан на рис.7, магнитопровод ОЛ- 50/70-20 имеет следующие данные:
внутренний диаметр – 50 мм;
внешний диаметр – 70 мм;
толщина стенки – 10 мм;
высота – 20 мм;
начальная магнитная проницаемость материала (пермаллой 50НХС, толщ. ленты 0,35 мм) – 3180
Рисунок 7. – Нейтрализующий трансформатор (показана одна обмотка):
lср – длина средней линии магнитопровода.
Индуктивность тороидальной катушки с каркасом прямоугольного сечения:

где W – число витков,
а, r – аксиальный (высота) и радиальный (ширина) размеры среднего витка катушки,
D – средний диаметр катушки.
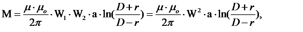
Взаимная индуктивность двух тороидальных катушек:

где W1=W2=W – числа витков соответствующих обмоток, а, r – аксиальный (высота) и радиальный (ширина) размеры среднего витка катушки,
D – средний диаметр катушки.
Видно, что в тороидальном сердечнике индуктивность каждой из обмоток равна взаимоиндуктивности между ними. Отсюда, нужное число витков при заданной индуктивности (взаимоиндуктивности):

Величина тока сигнала в цепи (по модулю) равна 0,00492 А, ток шумов в экране – 0,415 А. Однако, при отсутствии дроссель-трансформатора ток шумов в экране кабеля доходит до 4,42 А по модулю. Поэтому провод обмоток подбирается исходя из этого значения, на случай разрыва цепи сигнала. Во избежание перегрева обмоток при длительном разрыве цепи сигнала, плотность тока в этом случае берётся приблизительно J=1,5 А/мм2. Сечение провода:

Отсюда берётся провод ПЭВ-2 сечением 3,141 мм2 с диаметром – по меди 2 мм, по изоляции – 2,12 мм. Поскольку рассматриваемая цепь низковольтная, а провод имеет двухслойную изоляцию, то применение междуслойной изоляции в обмотках не требуется.
Предельное число слоёв изолированного провода, при котором окно магнитопровода будет заполнено до предельного значения dост=15 мм:

Количество витков, которое поместится во внутренней стороне сердечника:
,
где R=25 мм – внутренний радиус сердечника.
Для 1-го слоя:

Для 2-го слоя:

Для 3-го слоя:

Предельное общее число витков при dост=15 мм:

Предельное число витков каждой из катушек:

Средние высота и ширина обмотки (мм) при различном числе слоёв:
|
|
|
|
При заданной индуктивности число слоёв можно найти так: предельное число витков (их сумма до рассматриваемого слоя) сравнивается с полученным по формуле значением до получения наименьшего разброса. В данном случае это наблюдается при числе слоёв, равным четырём.
Число витков каждой из обмоток при заданной индуктивности L=0,0537 Гн при четырёх слоях:

Результаты расчета сведены в таблицу 1.
Таблица 1. Количество витков трансформатора
| Номер слоя | 1 | 2 | 3 | 4 | 5 |
| Количество витков, шт | 35 | 32 | 29 | 26 | 5 |
Длина одного витка обмотки для 1-го слоя:

Определим длину обмотки для 1-го слоя:

Длина обмотки одного витка для 2-го слоя:

Длина обмотки для 2-го слоя:

Длина обмотки одного витка для 3-го слоя:

Длина обмотки для 3-го слоя:

Результаты расчёта для всех слоёв сведены в таблице 2.
Таблица 2. Длины витков по слоям.
| Номер слоя | 1 | 2 | 3 | 4 | 5 |
| Длина одного витка, мм | 52,12 | 54,24 | 56,36 | 58,48 | 60,6 |
| Длина обмотки для N-слоя, м | 1,824 | 1,735 | 1,634 | 1,52 | 0,303 |
| Общая длина обмотки трансформатора lобм, м | 7,016 | ||||
Сопротивление обмоток трансформатора (удельное сопротивление провода ПЭВ-2 диаметром 2 мм – 0,00556 Ом/м):
Rобм = 2∙(lобм·Rпр) =2∙(7,016·0,00556) = 0,078 (Ом).
Как видно, активное сопротивление обмоток очень мало. Поэтому дополнительное затухание сигнала будет также незначительным.
Задача №2
Источник сигнала соединяется с усилительно-измерительным устройством в двухпроводной линии длиной 100м. Внутреннее сопротивление источника сигнала 1кОм. Входные сопротивления усилительно-измерительного устройства равны 100 кОм. Определить напряжение шумов на входе усилительно-измерительного устройства, если Z1 и Z2 равны 1кОм, сопротивление каждого их проводников равны 2 Ом, разность потенциалов между элементами измерительного устройства равна 100 мВ, f=50 Гц, емкости проводников информационной линии на землю равны 10-9 Ф.
Для решения данной задачи нам нужно найти ток в цепи, для чего нужно свернуть схему.

Рис 1. Расчетная схема
Рисунок 2 – Схема замещения 1


Рис. 3 схема замещения 2.



Полученная схема замещения является дифференциальной, входные сопротивления равны между собой, токи шумов
, следовательно напряжение шумов на входе усилительно-измерительного устройства будет равно нулю
.
TN - S режим работы заземления нейтрали
Рисунок 1 – TN-S режим работы заземления нейтрали
N – нулевой рабочий провод;
PE – защитный проводник;
S – рубильник;
F – предохранитель;
SF – выключатель;
Rн – сопротивление нагрузки;
– сопротивление шины;
УЗО - устройство защитного отключения;
ГПП – главная понизительная подстанция;
ТП – трансформаторная подстанция;
М – потребитель.
В TN-S режиме работы заземления нейтрали нулевой рабочий и нулевой защитный проводники разделены по всей длине линии (от подстанции до потребителей). Защитный проводник «Земля» PE выполняет только свои функции, то есть служит заземлением. Это исключает такую проблему, как некачественное заземление, когда на заземляющем проводнике возникают наводки (помехи), вызванные текущим по нему току нагрузки, что характерно для TN-С сетей.
В сети TN-S питание трехфазных электроприемников осуществляется по пятипроводной схеме (3 фазных провода, нулевой рабочий провод и нулевой защитный провод). Питание однофазных приемников происходит через три провода: фазный, нулевой рабочий и нулевой защитный.
В отличие от сетей TN-С обрыв нулевого рабочего проводника в сети TN-S не влечет за собой появление фазного напряжения на корпусах всех связанных данной линией питания электроприемников за точкой разрыва.
Данный режим характеризуется большой электро– и пожаробезопасностью и лучшей электромагнитной обстановкой (по сравнению с TN-С режимом работы заземления нейтрали).
В системе TN-S, с защитными токовыми автоматами, нарушение изоляции опасно. Разрушение изоляции, то есть замыкание фазного проводника на «Землю» вызывает рост тока замыкания до максимального значения, ограниченного защитными автоматами в цепи.
Защитные автоматы в системе TN-S при срабатывании могут размыкать цепь полностью (как нейтраль так и фазы), защитная шина «Земли» PE продолжает при этом выполнять свои функции, в то время как в системе TN-C при аварии могут быть разомкнуты только фазы.
Такая защита во многих случаях достаточна для защиты самой нагрузки, но не является полной, например, если изоляция разрушена не полностью и ток фаза-«Земля» недостаточен для срабатывания защитного автомата. Тем не менее, этого тока может быть достаточно для возникновения пожара или для опасного поражения током человека, а защитный автомат при этом не сработает (не обеспечит защитное отключения аварийного участка цепи).
Максимальная степень безопасности может быть достигнута путём установки устройств защитного отключения (УЗО), представляющих собой быстродействующие аппараты, реагирующие на появление токов в нулевом защитном проводе и позволяющие отключать потребитель в первое мгновение возникновения КЗ (КЗ).
Лучшая электромагнитная обстановка по сравнению с TN-С режимом работы заземления нейтрали объясняется тем, что в нормальном режиме эксплуатации потенциалы на корпусах зануленных электроустановок не просто равны между собой, а равны нулю, и токи в нормальном режиме эксплуатации по защитному нулевому проводу не проходят.
При однофазном замыкании на корпус в одном из электроприемников так же как и в TN-С режиме работы заземления нейтрали происходит вынос потенциала на зануленные корпуса остальных электроприемников, но благодаря быстрому срабатыванию УЗО опасность поражения в этих сетях сильно уменьшается.
Система TN-S – самая надежная и безопасная система заземления, которая максимально осуществляет защиту электрооборудования, и самое главное, человека от поражения электрическим током. Еще один плюс этой системы – это отсутствие высокочастотных наводок и других помех на силовые линии потребителей. Но в то же время прокладка от трансформаторной подстанции пятижильного провода в трехфазной сети или трехжильного кабеля в однофазной сети, а так же применение УЗО ведут к удорожанию проекта.






































