Вопрос 29. Неоднородные ЛОДУ ВП. Метод вариации произвольных постоянных.

Теор. (Об общем решении НЛОДУ ВП)

Док-во: Приведем (1) к виду (2) 
Пусть 
Получили неоднородное СЛОДУ
. Покажем, что
справедливо для (2).
Покажем, что
решение.
. Покажем теперь, что любое решение СЛОДУ (1) входит в (3). Пусть
произвольное решение (1). Рассмотрим разность
. Покажем, что эта разность удовлетворяет (2).
. Пусть
какая-нибудь ФСР ОСЛОДУ (2), тогда
любое решение
СЛОДУ (1) может быть представлено в виде
при некоторых значениях 
Вопрос 30.
Будем искать ч.н. методом вариации произвольных постоянных
Пусть
произвольная ФСР ОЛОДУ. Тогда
, где
строка элементов ФСР,
столбец произвольных постоянных.
Будем искать
в виде
, где
столбец неизвестных пока функций. Тогда
, наложим условия, что
Тогда 
, наложим условия
. Тогда
и т.д. На каждом шаге полагаем, что
.
Тогда
Поскольку
, тогда
. С другой стороны, поскольку y является решением неоднородного уравнения (1), то
Подставим (3) и (4) в (2) получим :
(
, но
Поэтому после сокращения в (5) :
Следовательно, столбец
удовлетворяет случ СЛАУ
Запишем в развернутой форме 
Поскольку
, то
решение
Интегрируя, получаем : 
Тогда (7)
Придавая константам
произвольным значениям например, ноль
, получим :
Тогда (7) может быть представлено в виде
это будет
. Таким образом, (7) дает при всевозможных
общее решение неоднородного ОЛОДУ ВП.
Вопрос 31. Глава. ЛОДУ ВП с постоянными коэффициентами
Однородные ЛОДУ ВП с постоянными коэффициентами

Рассмотрим ЛП
ЛП функций, непрерывные с производной до n-го порядка включительно на
. Пусть в это ЛП действ ЛО
, т.е. 
Далее получаем, что 
Тогда 
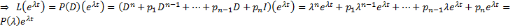
Рассмотрим многочлен n-ой степени :
Ему сопоставим ЛО
Тогда (1) можно переписать в виде : 
Будем искать решение (1) ( или что то же (2)) в виде
. Подставим во (2) 
Видим, что
будет решением (1) (или(2))
является корнем уравнения 
Опр.
называется характеристическим многочленом уравнения (1)( или (2)), а уравнение
характеристическим уравнением.
Теор.
является решением ОСЛОДУ ВП (1) ((2))
корень характеристического уравнения
Док-во: 
Способы построения ФСР
(А) Построение ФСР ОЛОДУ ВП в случае, когда все корни характеристического многочлена различны.
Пусть
различные корни характеристического многочлена. Тогда имеется n решений :
Покажем, что они образуют ФСР, т.е. являются ЛНЗ
Док-во: Рассмотрим 
далее из каждой строки начиная с последней вычитаем предыдущую строку умноженную на 
по индукции 
Отсюда видно, что если все
различны, то
ЛНЗ на
ФСР
Вопрос 32. Построение действительных ФСР для ОСЛОДУ
(Б) Построение действительных ФСР для ОСЛОДУ ВП с действительными коэффициентами в случае простых корней характеристического уравнения при наличии комплексных
Замеч. ФСР, построенная в пункте (А) может быть как П-, так и
значной. Если само уравнение имеет комплексные коэффициенты, то комплекснозначная ФСР дает произвольные комплекснозначное решение такого уравнения. Но допустим, что
и нас интересуют только вещественные решения. В этом случае, если среди корней характеристического уравнения имеются комплекные, мы имеем комплекснозначную ФСР и представление произвольного вещественного решения через нее затруднительно. Поэтому представляет интерес построение вещественной ФСР.
Пусть все корни характеристического уравнения различны, но имеются комплексные. Тогда если
корень характеристического уравнения, то
тоже корень, поскольку 
Упорядочим корни следующим образом : 

Соответственно комплексозначная ФСР будет :



Тогда
базис в ЛП решений. Перейдем к системе функций :



Матрица перехода
будет иметь вид :
ЛНЗ
базис
Но это будет уже вещественный базис, т.к.
,
вещественная 


