Задание 3. Решить задачу
Задание 2
3.Как определяет понятие «качество» международный стандарт ИСО:
а) совокупность свойств продукции, обусловливающих ее пригодность удовлетворять определенные потребности в соответствии с ее назначением;
б) совокупность свойств и характеристик пригодности товара;
в) совокупность характеристик объекта (деятельности или процесса, продукции, услуги и др.), относящихся к его способности удовлетворять установленные или предполагаемые потребности
6. На какие две группы делятся показатели качества в зависимости от роли, выполняемой при оценке:
а) функциональные показатели;
б) классификационные показатели;
в) ресурсосберегающие показатели;
г) оценочные показатели;
д) природоохранные показатели
12. Какие три основных элемента качества в соответствии с международ ной практикой включает система качества:
а) проектирование, разработка продукции;
б) обеспечение качества;
в) маркетинг;
г) повышение качества;
д) контроль проведения испытаний;
е) управление качеством
22. Под структурой производственного предприятия понимается:
а) состав и соотношение его внутренних звеньев (цехов, отделов, лабораторий и прочих компонентов, составляющих единый хозяйствующий объект);
б) механизм хозяйственного управления предприятием;
в) организационная структура управления предприятием, соответствующая масштабам и функциональному назначению объекта;
г) структура капитала предприятия.
30.«Петля качества» («спираль качества») — это:
а) концептуальная модель взаимозависимых видов деятельности, вли яющих на качество на различных стадиях — от определения потребностей до оценки их удовлетворения (т. е. модель жизненного цикла товара);
б) изменение качества товара на различных этапах его жизненного цикла;
в) график, описывающий зависимость качества товара от спроса и предложения [13].
Задание 3. Решить задачу
Задача 1. Определить длительность технологического цикла обработки 25 деталей при последовательном, последовательно-паралельном и параллельном видах движения. Технологический процесс обработки деталей состоит из четырех операций, длительность которых соответственно составляет:
T1=3; Т2=4; Т3=5 Т4=10 мин. Четвертая операция выполняется на двух станках, а каждая из остальных – на одном. Величина передаточной партии – 5 шт.
Дано:
t1 = 3 n = 25;
t2 = 4 m = 4;
t3 = 5 p = 5.
t4 = 10
Решение:
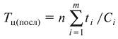
При последовательном движении обработка партии одноименных предметов труда на каждой последующей операции начинается лишь тогда, когда вся партия прошла обработку на предыдущей операции.
(1)
Найдем длительность технологического цикла при последовательном движении:
Тц (посл) = 25 (3+4+5+10) = 550 мин.
При параллельном движении передача предметов труда на последующую операцию осуществляется поштучно или транспортной партией сразу после обработки на предыдущей операции:
(2)
Найдем длительность технологического цикла при параллельной обработке:
Тц (пар) = 5 (3+4+5+10) + (25-5)*10/2 = 210 мин.
При параллельном виде движения длительность производственного цикла значительно сокращается.
При параллельно-последовательном виде движения длительность производственного цикла может быть определена как разность между длительностью цикла при последовательном виде движения и суммарной экономией времени по сравнению с последовательным видом движения, за счет частичного перекрытия времени выполнения каждой пары смежных операций:
, (3)
Найдем длительность технологического цикла при параллельно-последовательном движении:
Тц (пар-посл) = 550 – (25-5) (3+4+5) = 310 мин.
