ЗАДАНИЕ N 1 отправить сообщение разработчикам Тема: Градиент скалярного поля Модуль градиента скалярного поля в точке пересечения оси Oz с поверхностью равен …
|
| ||
| 1 | |||
| 2 | |||
|
ЗАДАНИЕ N 2 отправить сообщение разработчикам
Тема: Векторное произведение векторов
Векторное произведение векторов
и
равно …
|
| ||
| |||
| |||
|
Решение:
Вычислим
Так как
то
Векторное произведение ортов
Следовательно 
ЗАДАНИЕ N 3 отправить сообщение разработчикам
Тема: Норма вектора в евклидовом пространстве
В евклидовом пространстве со стандартным скалярным произведением норма вектора
равна 2, норма вектора
равна 3, их скалярное произведение равно 2. Тогда норма вектора
равна …
| 3 | ||
| 1 | |||
| 9 | |||
| –1 |
ЗАДАНИЕ N 4 отправить сообщение разработчикам
Тема: Интервальные оценки параметров распределения
Построен доверительный интервал для оценки математического ожидания нормально распределенного количественного признака при известном среднем квадратическом отклонении генеральной совокупности. Тогда при уменьшении объема выборки в два раза значение точности этой оценки …
| увеличится в раз
| ||
| уменьшится в два раза | |||
| увеличится в два раза | |||
уменьшится в раз
|
ЗАДАНИЕ N 5 отправить сообщение разработчикам
Тема: Статистическое распределение выборки
Из генеральной совокупности извлечена выборка объема
:

Тогда частота варианты
в выборке равна …
| 28 | ||
| 63 | |||
| 42 | |||
| 35 |
ЗАДАНИЕ N 6 отправить сообщение разработчикам
Тема: Элементы корреляционного анализа
При построении выборочного уравнения парной регрессии вычислены выборочный коэффициент корреляции
и выборочные средние квадратические отклонения
Тогда выборочный коэффициент регрессии Y на X равен …
| 1,08 | ||
| –1,08 | |||
| 0,27 | |||
| –0,27 |
ЗАДАНИЕ N 7 отправить сообщение разработчикам
Тема: Точечные оценки параметров распределения
Если все варианты
исходного вариационного ряда увеличить на девять единиц, то выборочная дисперсия
…
| не изменится | ||
| увеличится в три раза | |||
| увеличится в 81 раз | |||
| увеличится в девять раз |
Решение:
Для исходного вариационного ряда выборочную дисперсию можем вычислить
по формуле
Тогда для нового вариационного ряда
то есть не изменится.
ЗАДАНИЕ N 8 отправить сообщение разработчикам
Тема: Системы линейных уравнений
Однородная система
имеет только одно нулевое решение, если
принимает значения не равные …
| 2 | ||
| – 2 | |||
| 1 | |||
| – 1 |
ЗАДАНИЕ N 9 отправить сообщение разработчикам
Тема: Базис и размерность линейного пространства
Дано трехмерное векторное пространства с базисом
Если векторы
и
то вектор
может иметь вид …
|
| ||
| |||
| |||
|
ЗАДАНИЕ N 10 отправить сообщение разработчикам
Тема: Умножение матриц
Даны матрицы
и
Тогда матрица
имеет вид …
|
| ||
| |||
| |||
|
ЗАДАНИЕ N 11 отправить сообщение разработчикам
Тема: Вычисление определителей
Определитель
равен …
| 91 | ||
| 97 | |||
| 83 | |||
| 89 |
ЗАДАНИЕ N 12 отправить сообщение разработчикам
Тема: Приложения определенного интеграла
Площадь фигуры, изображенной на рисунке
равна …
|
| ||
| |||
| |||
|
Решение:
Площадь данной фигуры можно вычислить по формуле
где
Тогда

ЗАДАНИЕ N 13 отправить сообщение разработчикам
Тема: Непрерывность функции, точки разрыва
Функция
непрерывна на отрезке …
|
| ||
| |||
| |||
|
ЗАДАНИЕ N 14 отправить сообщение разработчикам
Тема: Основные методы интегрирования
Множество первообразных функции
имеет вид …
|
| ||
| |||
| |||
|
ЗАДАНИЕ N 15 отправить сообщение разработчикам
Тема: Дифференциальное исчисление ФНП
Частная производная второго порядка
функции
имеет вид …
|
| ||
| |||
| |||
|
ЗАДАНИЕ N 16 отправить сообщение разработчикам
Тема: Системы линейных уравнений с комплексными коэффициентами
Решение системы уравнений
имеет вид …
|
| ||
| |||
| |||
|
Решение:
Выразим
из второго уравнения
и подставим в первое уравнение системы
Получим квадратное уравнение
Его решения
Соответствующие им значения переменной
будут равны
Таким образом, решения системы будут иметь вид:
и

ЗАДАНИЕ N 17 отправить сообщение разработчикам
Тема: Дифференцирование функции комплексного переменного
Если
и
то действительная часть производной этой функции
имеет вид …
|
| ||
| |||
| |||
|
Решение:
Производная функции
равна
Тогда 
ЗАДАНИЕ N 18 отправить сообщение разработчикам
Тема: Комплексные числа и их представление
Комплексное число задано в алгебраической форме
Тогда показательная форма записи сопряженного к нему числа
имеет вид …
|
| ||
| |||
| |||
|
Решение:
Если
то
В нашем случае
Запись комплексного числа в виде
называют показательной формой комплексного числа. Если комплексное число записано в форме
то
а аргумент
определяется из системы уравнений:
В нашем случае
и
Тогда
и главное значение аргумента равно
Показательная форма данного комплексного числа имеет вид 
ЗАДАНИЕ N 19 отправить сообщение разработчикам
Тема: Область сходимости степенного ряда
Область сходимости степенного ряда
имеет вид …
| [– 2; 2) | ||
| (– 2; 2) | |||
| (– 2 2] | |||
| [– 2; 2] |
Решение:
Вычислим предварительно радиус сходимости этого ряда по формуле
где
Тогда
Следовательно, интервал сходимости ряда имеет вид
Для того чтобы найти область сходимости степенного ряда, исследуем сходимость ряда в граничных точках.
В точке x= - 2 ряд примет вид
Применим признак сходимости Лейбница, то есть:
1) вычислим предел
2) для любого натурального
справедливо
то есть последовательность
монотонно убывает.
Следовательно, ряд
сходится.
В точке x=2 ряд примет вид
а это расходящийся гармонический ряд.
Таким образом, область сходимости примет вид 
ЗАДАНИЕ N 20 отправить сообщение разработчикам
Тема: Сходимость числовых рядов
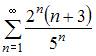
Расходящимся является числовой ряд …
|
| ||
| |||
| |||
|
ЗАДАНИЕ N 21 отправить сообщение разработчикам
Тема: Числовые последовательности
Из числовых последовательностей
не является сходящейся последовательность …
|
| ||
| |||
| |||
|
ЗАДАНИЕ N 22 отправить сообщение разработчикам
Тема: Законы распределения вероятностей дискретных случайных величин
Банк выдал пять кредитов. Вероятность того, что кредит не будет погашен в срок, равна 0,1. Тогда вероятность того, что в срок не будут погашены три кредита, равна …
| 0,0081 | ||
| 0,081 | |||
| 0,06 | |||
| 0,0729 |
ЗАДАНИЕ N 23 отправить сообщение разработчикам
Тема: Определение вероятности
В круг радиуса 8 помещен меньший круг радиуса 5. Тогда вероятность того, что точка, наудачу брошенная в больший круг, попадет также и в меньший круг, равна …
|
| ||
| |||
| |||
|

раз