ЗАДАНИЕ N 28 отправить сообщение разработчикам Тема: Статистическое распределение выборки Статистическое распределение выборки имеет вид Тогда значение относительной частоты w4 равно …
| 0,25 | ||
| 0,05 | |||
| 0,26 | |||
| 0,75 |
Решение:
Сумма относительных частот равна единице. Поэтому 
ЗАДАНИЕ N 29 отправить сообщение разработчикам
Тема: Точечные оценки параметров распределения
Если все варианты
исходного вариационного ряда увеличить в четыре раза, то выборочное среднее
…
| увеличится в четыре раза | ||
| увеличится в два раза | |||
| не изменится | |||
| увеличится на четыре единицы |
Решение:
Для исходного вариационного ряда выборочное среднее можем вычислить
по формуле
Тогда для нового вариационного ряда
то есть увеличится в четыре раза.
ЗАДАНИЕ N 30 отправить сообщение разработчикам
Тема: Интервальные оценки параметров распределения
Точечная оценка математического ожидания нормально распределенного количественного признака равна 12,04. Тогда его интервальная оценка с точностью 1,66 имеет вид …
| (10,38; 13,70) | ||
| (0; 13,70) | |||
| (11,21; 12,87) | |||
| (10,38; 12,04) |
Решение:
Доверительный интервал для оценки математического ожидания нормально распределенного количественного признака можно представить в виде симметричного интервала
где точечная оценка математического ожидания
а точность оценки
Следовательно, интервальная оценка будет иметь вид (10,38; 13,70).
ЗАДАНИЕ N 31 отправить сообщение разработчикам
Тема: Плоскость в пространстве
Уравнение плоскости, проходящей через точки
и
параллельно вектору
имеет вид …
|
| ||
| |||
| |||
|
Решение:
Рассмотрим некоторую точку
принадлежащую искомой плоскости. Необходимо, чтобы вектора
и
были компланарны. То есть уравнение плоскости, проходящей через точки
и
параллельно вектору
, может быть представлено в следующем виде:
Тогда
или
Следовательно, уравнение плоскости примет вид:

ЗАДАНИЕ N 32 отправить сообщение разработчикам
Тема: Прямоугольные координаты на плоскости
Расстояние от точки
лежащей на оси ординат, до точки
равно 2. Тогда точка
имеет координаты …
|
| ||
| |||
| |||
|
Решение:
Так как точка
лежит на оси ординат, то ее абсцисса
Тогда расстояние между точками
и
можно определить как
или
Тогда 
ЗАДАНИЕ N 33 отправить сообщение разработчикам
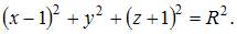
Тема: Поверхности второго порядка
Сфера с центром
проходит через точку
Тогда ее уравнение имеет вид …
|
| ||
| |||
| |||
|
Решение:
Уравнение сферы радиуса R с центром в точке
имеет вид
Подставим координаты центра
в это уравнение:
Радиус сферы найдем из условия, что координаты точки
удовлетворяют уравнению сферы:
то есть
Тогда уравнение сферы примет вид: 
ЗАДАНИЕ N 34 отправить сообщение разработчикам
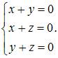
Тема: Прямая на плоскости
Уравнение геометрического места точек, равноудаленных от двух данных точек
и
имеет вид …
|
| ||
| |||
| |||
|
ЗАДАНИЕ N 35 отправить сообщение разработчикам
Тема: Норма вектора в евклидовом пространстве
Даны векторы
и
угол между которыми равен
Тогда проекция вектора
на вектор
равна …
| 3 | ||
| – 2 | |||
| 6 | |||
| – 3 |
Решение:
Так как
и
то 
ЗАДАНИЕ N 36 отправить сообщение разработчикам
Тема: Векторное произведение векторов
Векторное произведение векторов
и
равно …
|
| ||
| |||
| |||
|
Решение:
Вычислим
Так как
то 
ЗАДАНИЕ N 37 отправить сообщение разработчикам
Тема: Градиент скалярного поля
Градиент скалярного поля
равен нулевому вектору в точке …
| (0; 0; 0) | ||
| (– 1; 0; 1) | |||
| (1; 1; 1) | |||
| (0; 1; 1) |
Решение:
Градиент скалярного поля находится по формуле:
где
Градиент поля равен нулевому вектору тогда и только тогда, когда
то есть когда
Решив эту систему, получаем единственное решение
То есть, градиент поля U равен нулевому вектору в точке 
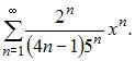
ЗАДАНИЕ N 38 отправить сообщение разработчикам
Тема: Сходимость числовых рядов
Даны числовые ряды:
А)
В)
Тогда …
| ряд А) сходится, ряд В) расходится | ||
| ряд А) расходится, ряд В) расходится | |||
| ряд А) сходится, ряд В) сходится | |||
| ряд А) расходится, ряд В) сходится |
Решение:
Для исследования сходимости знакочередующегося ряда
применим признак сходимости Лейбница.
Тогда:
1) вычислим предел
2) для любого натурального
справедливо
то есть последовательность
монотонно убывает.
Следовательно, ряд
сходится.
Ряд
расходится, так как 
ЗАДАНИЕ N 39 отправить сообщение разработчикам
Тема: Числовые последовательности
Общий член числовой последовательности
имеет вид …
|
| ||
| |||
| |||
|
Решение:
Если представить данную последовательность в виде
, то легко заметить, что из предложенных ответов правильным является 
ЗАДАНИЕ N 40 отправить сообщение разработчикам
Тема: Область сходимости степенного ряда
Радиус сходимости равен 2,5 для степенного ряда …
|
| ||
| |||
| |||
|
Решение:
Радиус сходимости равен 2,5 для степенного ряда
Действительно,

ЗАДАНИЕ N 41 отправить сообщение разработчикам
Тема: Умножение матриц
Даны матрицы
и
Если матрица
вырожденная, то значение a равно …
| – 6 | ||
| 5 | |||
| – 5 | |||
| 0 |
ЗАДАНИЕ N 42 отправить сообщение разработчикам
Тема: Вычисление определителей
Определитель
равен …
|
| ||
| |||
| 0 | |||
|
Решение:
Определитель третьего порядка можно вычислить, например, разложением по элементам первой строки:

ЗАДАНИЕ N 43 отправить сообщение разработчикам
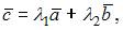
Тема: Базис и размерность линейного пространства
Разложение вектора
по векторам
и
имеет вид …
|
| ||
| |||
| |||
|
Решение:
Разложение вектора
по векторам
и
имеет вид
представим это равенство в виде системы из двух уравнений с двумя неизвестными 
ЗАДАНИЕ N 44 отправить сообщение разработчикам
Тема: Системы линейных уравнений
Метод Гаусса для решения систем линейных уравнений заключается …
| в последовательном исключении переменных | ||
| в последовательном исключении свободных членов | |||
| в нахождении обратной матрицы | |||
| в вычислении вспомогательных определителей системы |
