ЗАДАНИЕ N 32 отправить сообщение разработчикам Тема: Прямоугольные координаты на плоскости Даны вершины треугольника и Тогда треугольник ABC …
| равнобедренный | ||
| прямоугольный и равнобедренный | |||
| прямоугольный | |||
| равносторонний |
Решение:
Найдем длины сторон треугольника как расстояния между точками A, B и C. Расстояние между двумя точками
и
находится по формуле
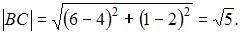
Тогда расстояние между точками A и B можно найти как
Расстояние между точками A и C будет равно
аналогично
Так как
то треугольник – равнобедренный.
ЗАДАНИЕ N 33 отправить сообщение разработчикам
Тема: Поверхности второго порядка
Уравнение геометрического места точек, равноудаленных от точки
и от плоскости
имеет вид …
|
| ||
| |||
| |||
|
Решение:
Пусть точка
удовлетворяет заданным условиям. Расстояние от точки A до точки M определяется из соотношения
а до плоскости
как
Так как точка
равноудалена от точки
и плоскости
то
то есть
Тогда
или 
ЗАДАНИЕ N 34 отправить сообщение разработчикам
Тема: Прямая на плоскости
Прямая линия проходит через точки
и
Тогда она пересекает ось Ox в точке …
|
| ||
| |||
| |||
|
ЗАДАНИЕ N 35 отправить сообщение разработчикам
Тема: Вычисление определителей
Определитель
равен …
| 45 | ||
| 135 | |||
| – 45 | |||
| – 135 |
Решение:
Определитель четвертого порядка можно вычислить, например, разложением по элементам первого столбца:

ЗАДАНИЕ N 36 отправить сообщение разработчикам
Тема: Базис и размерность линейного пространства
Даны вектор
и матрица
перехода от старого базиса к новому. Тогда координаты вектора
в новом базисе имеют вид …
|
| ||
| |||
| |||
|
Решение:
Переход от координат
вектора
относительно старого базиса к координатам
относительно нового базиса осуществляется по формуле
Определим транспонированную матрицу
и вычислим обратную матрицу
Следовательно, координаты вектора
в новом базисе будут равны

ЗАДАНИЕ N 37 отправить сообщение разработчикам
Тема: Умножение матриц
Матрица
где
и
Тогда элемент
равен …
| 11 | ||
| – 10 | |||
| – 11 | |||
| 10 |
Решение:
Произведением
матрицы A размера
на матрицу B размера
называется матрица C размера
, элемент которой
равен сумме произведений соответственных элементов i-й строки матрицы A и j-го столбца матрицы B. 
ЗАДАНИЕ N 38 отправить сообщение разработчикам
Тема: Системы линейных уравнений
Система
будет …
| совместной и неопределенной | ||
| несовместной и неопределенной | |||
| совместной и определенной | |||
| несовместной и определенной |
Решение:
По методу Гаусса приведем матрицу системы с помощью элементарных преобразований строк к трапецеидальной или треугольной форме. Запишем расширенную матрицу системы и преобразуем ее:
Значит, ранг расширенной матрицы равен рангу основной матрицы и система будет совместной. Так как количество переменных больше ранга матрицы, система имеет бесконечное число решений, а значит, является неопределенной.
ЗАДАНИЕ N 39 отправить сообщение разработчикам
Тема: Сходимость числовых рядов
Расходящимся является числовой ряд …
|
| ||
| |||
| |||
|
ЗАДАНИЕ N 40 отправить сообщение разработчикам
Тема: Область сходимости степенного ряда
Радиус сходимости равен
для степенного ряда …
|
| ||
| |||
| |||
|
ЗАДАНИЕ N 41 отправить сообщение разработчикам
Тема: Числовые последовательности
Числовая последовательность задана рекуррентным соотношением
Тогда значение выражения
равно …
| – 12 | ||
| – 20 | |||
| 12 | |||
| – 16 |
ЗАДАНИЕ N 42 отправить сообщение разработчикам
Тема: Численные методы решения дифференциальных уравнений и систем
Методом Эйлера решается задача Коши
с шагом
Тогда значение искомой функции
в точке
будет равно …
| 0,02 | ||
| 0,2 | |||
| 0,4 | |||
| 0,04 |
Решение:
Метод Эйлера решения задачи Коши
реализуется по следующим формулам:
где
– шаг расчета (величина изменения аргумента),
а
– искомое решение задачи.
Значения x0 и y0 для значения k = 1 определяются начальным условием задачи Коши.
В нашем случае
Требуется реализовать два шага (этапа) метода Эйлера, поскольку
Тогда 
ЗАДАНИЕ N 43 отправить сообщение разработчикам
Тема: Интерполирование функций: интерполяционные полиномы Лагранжа
Интерполяционный многочлен Лагранжа, составленный по таблице значений функции
имеет вид …
|
| ||
| |||
| |||
|
Решение:
Интерполяционный многочлен Лагранжа 2-ой степени для таблицы
имеет вид:
В нашем случае получим: 
ЗАДАНИЕ N 44 отправить сообщение разработчикам
Тема: Численное дифференцирование и интегрирование
На рисунке
изображена геометрическая интерпретация приближенного вычисления определенного интеграла методом …
| трапеций | ||
| правых прямоугольников | |||
| парабол | |||
| левых прямоугольников |
