ЗАДАНИЕ N 39 отправить сообщение разработчикам Тема: Комплексные числа и их представление Изображение комплексного числа z на комплексной плоскости представлено на рисунке.
Тогда его алгебраическая форма записи имеет вид …
|
| ||
| |||
| |||
|
Решение:
Алгебраическая форма комплексного числа имеет вид
где
– действительная часть, а
– мнимая часть комплексного числа.
Так как
а
то 
ЗАДАНИЕ N 40 отправить сообщение разработчикам
Тема: Системы линейных уравнений с комплексными коэффициентами
Система
решается методом Крамера по формулам
Тогда вспомогательный определитель
равен …
|
| ||
| |||
| |||
|
Решение:
Вспомогательный определитель
получается из определителя системы
заменой коэффициентов при переменной
на свободные члены.
В нашем случае получим 
ЗАДАНИЕ N 41 отправить сообщение разработчикам
Тема: Дифференцирование функции комплексного переменного
Значение производной функции
в точке
равно …
|
| ||
| |||
| |||
|
ЗАДАНИЕ N 42 отправить сообщение разработчикам
Тема: Численное дифференцирование и интегрирование
Значение дифференцируемой функции y = f (x) в точке
можно приближенно найти как …
|
| ||
| |||
| |||
|
Решение:
Воспользуемся приближенной формулой
Тогда
В нашем случае
и
Следовательно, получаем 
ЗАДАНИЕ N 43 отправить сообщение разработчикам
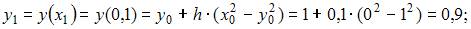
Тема: Численные методы решения дифференциальных уравнений и систем
Методом Эйлера решается задача Коши
с шагом
Тогда значение искомой функции
в точке
будет равно …
| 0,82 | ||
| 0,8 | |||
| 0,9 | |||
| 1,222 |
Решение:
Метод Эйлера решения задачи Коши
,
реализуется по следующим формулам:
где
– шаг расчета (величина изменения аргумента),
а
– искомое решение задачи.
Значения x0 и y0 для значения k = 1 определяются начальным условием задачи Коши.
В нашем случае
Требуется реализовать два шага (этапа) метода Эйлера, поскольку
Тогда 
ЗАДАНИЕ N 44 отправить сообщение разработчикам
Тема: Интерполирование функций: интерполяционные полиномы Лагранжа
Интерполяционный многочлен Лагранжа, составленный по таблице значений функции
имеет вид …
|
| ||
| |||
| |||
|
Решение:
Интерполяционный многочлен Лагранжа 2-ой степени для таблицы
имеет вид:
В нашем случае получим: 
