ЗАДАНИЕ N 12 отправить сообщение разработчикам Тема: Умножение матриц Умножение матрицы A на матрицу B возможно, если эти матрицы имеют вид …
ЗАДАНИЕ N 1 отправить сообщение разработчикам
Тема: Область сходимости степенного ряда
Область сходимости степенного ряда
имеет вид …
| (– 5; 7) | ||
| (– 6; 6) | |||
| [– 5; 7) | |||
| [– 6; 6) |
ЗАДАНИЕ N 2 отправить сообщение разработчикам
Тема: Сходимость числовых рядов
Даны числовые ряды:
А)
В)
Тогда …
| ряд А) сходится условно, ряд В) сходится абсолютно | ||
| ряд А) сходится условно, ряд В) сходится условно | |||
| ряд А) расходится, ряд В) сходится абсолютно | |||
| ряд А) расходится, ряд В) сходится условно |
ЗАДАНИЕ N 3 отправить сообщение разработчикам
Тема: Числовые последовательности
Предел числовой последовательности
…
| не существует | ||
| равен – 0,75 | |||
равен
| |||
| равен 0 |
ЗАДАНИЕ N 4 отправить сообщение разработчикам
Тема: Дифференциальное исчисление ФНП
Частная производная второго порядка
функции
имеет вид …
|
| ||
| |||
| |||
|
ЗАДАНИЕ N 5 отправить сообщение разработчикам
Тема: Приложения определенного интеграла
Площадь фигуры, изображенной на рисунке
равна …
|
| ||
| |||
| |||
|
ЗАДАНИЕ N 6 отправить сообщение разработчикам
Тема: Основные методы интегрирования
Множество первообразных функции
имеет вид …
|
| ||
| |||
| |||
|
ЗАДАНИЕ N 7 отправить сообщение разработчикам
Тема: Непрерывность функции, точки разрыва
Для функции
точка
является точкой …
| разрыва второго рода | ||
| разрыва первого рода | |||
| непрерывности | |||
| устранимого разрыва |
ЗАДАНИЕ N 8 отправить сообщение разработчикам
Тема: Линейные дифференциальные уравнения второго порядка с постоянными коэффициентами
Общий вид частного решения
линейного неоднородного дифференциального уравнения второго порядка
будет выглядеть как …
|
| ||
| |||
| |||
|
Решение:
Общее решение этого уравнения можно записать в виде
,
где функция
– общее решение однородного уравнения
а функция
– некоторое частное решение исходного неоднородного уравнения.
Для однородного уравнения составим характеристическое уравнение
и найдем его корни:
Тогда общее решение однородного уравнения будет иметь вид
Поскольку правая часть исходного уравнения
то имеем уравнение со специальной правой частью. Так как
не является корнем характеристического уравнения, то частное решение
неоднородного уравнения будем искать в виде 
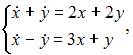
ЗАДАНИЕ N 9 отправить сообщение разработчикам
Тема: Системы двух линейных дифференциальных уравнений с постоянными коэффициентами
Функции
и
являются решением системы дифференциальных уравнений …
|
| ||
| |||
| |||
|
Решение:
Найдем
и
:
Подставив
в систему
видим, что второе уравнение не обращается в тождество. Подставив
в систему
видим, что первое уравнение не обращается в тождество. Подставляя
в систему
получаем, что оба уравнения не обращаются в тождество.
При подстановке
в систему
оба уравнения обращаются в тождество. Следовательно, функции
и
являются решением системы дифференциальных уравнений 
ЗАДАНИЕ N 10 отправить сообщение разработчикам
Тема: Однородные дифференциальные уравнения
Дифференциальное уравнение
будет однородным дифференциальным уравнением первого порядка
при
, равном …
| 4 | ||
| 2 | |||
| 0 | |||
| 6 |
ЗАДАНИЕ N 11 отправить сообщение разработчикам
Тема: Типы дифференциальных уравнений
Уравнение
является …
| уравнением Бернулли | ||
| линейным дифференциальным уравнением первого порядка | |||
| дифференциальным уравнением с разделяющимися переменными | |||
| однородным относительно x и y дифференциальным уравнением первого порядка |
ЗАДАНИЕ N 12 отправить сообщение разработчикам
Тема: Умножение матриц
Умножение матрицы A на матрицу B возможно, если эти матрицы имеют вид …
| и
| ||
и
| |||
и
| |||
и
|
ЗАДАНИЕ N 13 отправить сообщение разработчикам
Тема: Базис и размерность линейного пространства
Линейно независимыми будут векторы …
|
| ||
| |||
| |||
|
ЗАДАНИЕ N 14 отправить сообщение разработчикам
Тема: Вычисление определителей
Разложение определителя
по строке может иметь вид …
|
| ||
| |||
| |||
|
ЗАДАНИЕ N 15 отправить сообщение разработчикам
Тема: Системы линейных уравнений
Метод Гаусса для решения систем линейных уравнений заключается …
| в последовательном исключении переменных | ||
| в последовательном исключении свободных членов | |||
| в нахождении обратной матрицы | |||
| в вычислении вспомогательных определителей системы |
ЗАДАНИЕ N 16 отправить сообщение разработчикам
Тема: Законы распределения вероятностей дискретных случайных величин
Дискретная случайная величина X задана законом распределения вероятностей:
И вероятность
Тогда значения a, b и c могут быть равны …
| a = 0,05, b = 0,30, с = 0,25 | ||
| a = 0,05, b = 0,30 с = 0,35 | |||
| a = 0,05, b = 0,20 с = 0,35 | |||
| a = 0,15, b = 0,30 с = 0,25 |
ЗАДАНИЕ N 17 отправить сообщение разработчикам
Тема: Числовые характеристики случайных величин
Дискретная случайная величина X задана законом распределения вероятностей:
Тогда ее математическое ожидание равно …
| 4,6 | ||
| 5,0 | |||
| 3,0 | |||
| 4,9 |
ЗАДАНИЕ N 18 отправить сообщение разработчикам
Тема: Полная вероятность. Формулы Байеса
Имеются четыре урны, содержащие по 3 белых и 7 черных шаров, и шесть урн, содержащих по 8 белых и 2 черных шара. Из наудачу взятой урны вытаскивается один шар, который оказался белым. Тогда вероятность того, что этот шар был вынут из первой серии урн, равна …
| 0,20 | ||
| 0,80 | |||
| 0,72 | |||
| 0,40 |
ЗАДАНИЕ N 19 отправить сообщение разработчикам
Тема: Определение вероятности
Игральная кость бросается два раза. Тогда вероятность того, что сумма выпавших очков – семь, а разность – три, равна …
|
| ||
| |||
| |||
| 0 |
ЗАДАНИЕ N 20 отправить сообщение разработчикам
Тема: Поверхности второго порядка
Уравнение сферы имеет вид
Тогда радиус сферы равен …
| 7 | ||
| 19 | |||
| 10 | |||
| 49 |
ЗАДАНИЕ N 21 отправить сообщение разработчикам
Тема: Прямоугольные координаты на плоскости
Даны вершины треугольника
и
Тогда координаты точки пересечения медиан треугольника равны …
|
| ||
| |||
| |||
|

и
и