Основные уравнения синхронных микродвигателей с возбужденными явно выраженными полюсами
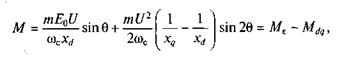
Из общего курса электрических машин известно, что вращающий момент синхронного двигателя с возбужденными явно выраженными полюсами приближенно (без учета активного сопротивления обмотки статора) рассчитывается по формуле

где т — число фаз обмотки статора; Е0 — ЭДС, наводимая магнитным полем ротора в фазе обмотки статора в генераторном режиме (п = пс) при холостом ходе; U — напряжение питания, приходящееся на фазу обмотки статора; ωс — угловая синхронная скорость; xd = 2πfw2λd — синхронное индуктивное сопротивление фазы обмотки статора по продольной оси машины (оси, совпадающей с осью полюсов); xq = 2πfw2λq — синхронное индуктивное сопротивление фазы обмотки статора по поперечной оси машины (оси, направленной перпендикулярно оси полюсов); λd , λq — магнитные проводимости машины соответственно по продольной и поперечной осям; w - число витков фазы обмотки статора; θ — угол между вектором ЭДС, наводимой потоком по продольной оси и вектором напряжения.

Вращающий момент М является суммой двух моментов: электромагнитного Ме, возникающего за счет взаимодействия вращающего поля статора с магнитным полем возбужденных полюсов ротора, и реактивного Mdq , обусловленного неравенством магнитных проводимостей машины по продольной d и поперечной q осям.

На рис. 18.3 и 18.4 схематично показана природа возникновения соответственно электромагнитного и реактивного вращающих моментов синхронного двигателя и их зависимость от угла 9. Вращающееся магнитное поле двигателя представлено в виде двух (наружных) полюсов магнита.
18.2. Асинхронные двигатели с полым немагнитным ротором
Двигатели с полым немагнитным ротором являются в настоящее время весьма распространенными исполнительными двигателями переменного тока. Они применяются в различных схемах автоматических устройств. Мощность двигателей с полым немагнитным ротором от десятых долей ватта до нескольких сотен ватт. Двигатели рассчитываются как для промышленной частоты (50 Гц), так и для повышенных частот (200, 400, 500 Гц). Частота вращения двигателей (синхронная) колеблется от 1500 до 30 000 об/мин.
Конструктивное устройство одного из двигателей с полым немагнитным ротором представлено на рис. 18.5. Внешний статор 4 такого двигателя ничем не отличается от статора обычного асинхронного двигателя. Он набирается из изолированных друг от друга листов электротехнической стали. В пазах статора располагаются обмотки 6 управления и возбуждения, сдвинутые в пространстве на 90°. Эти обмотки либо изолированы друг от друга, либо соединены по мостиковой схеме.
Мостиковая схема представляет собой замкнутую обмотку с отпайками через 90°. Она помогает достаточно просто осуществить точный пространственный сдвиг обмоток, способствует лучшему распределению токов и потерь в них. К недостаткам схемы следует отнести, во-первых, электрическую связь цепей возбуждения и управления, во-вторых, большое число параллельных ветвей (2а) и отпаек-концов при большом числе пар полюсов (2а = 2р) и, в-третьих, постоянство коэффициента трансформации k = wp / wr
Внутренний статор 5 набирается из листов электротехнической стали на цилиндрическом выступе одного из подшипниковых щитов. Он служит для уменьшения магнитного сопротивления на пути основного (рабочего) магнитного потока, проходящего через воздушный зазор. Полый ротор двигателя 2 изготовляется в виде тонкостенного станка из немагнитного материала, чаще из сплавов алюминия. Своим дном ротор жестко укрепляется на оси 7, которая свободно вращается в подшипниках, расположенных в подшипниковых щитах 3. Толщина стенок ротора зависит от мощности двигателя и колеблется в пределах от 0,1 до 1 мм. Вследствие весьма малой массы ротор обладает незначительным моментом инерции, что является очень ценным свойством двигателя с полым немагнитным ротором, способствующим его широкому распространению. Между стенками ротора и статорами имеются воздушные зазоры, которые обычно составляют 0,15...0,25 мм.

Двигатели мощностью менее 3 Вт изготовляются несколько иначе. Их обмотки возбуждения и управления размещаются в пазах внутреннего статора, и тогда внешний статор не имеет пазов и служит лишь для уменьшения магнитного сопротивления. При такой конструкции весьма облегчается процесс укладки обмоток в пазы при малых диаметрах расточки статора и несколько повышается вращающий момент, но диаметр ротора для увеличения обмоточного пространства на внутреннем статоре приходится несколько увеличить, что обусловливает некоторое увеличение момента инерции ротора. Для устранения этого недостатка иногда используется третья конструктивная форма двигателя: одна из обмоток размещается на внутреннем, а другая — на наружном статоре.
Характерной особенностью двигателей с полым немагнитным ротором является большой магнитный промежуток δ на пути потока между наружным и внутренним статорами, который состоит из двух зазоров: δ1 — между внешним статором и ротором и δ2 — между внутренним статором. Кроме того, ротор, будучи немагнитным, тоже является воздушным зазором Δ. Таким образом, общий размер немагнитного воздушного промежутка между внешним и внутренним статорами δ = δ1 + δ2 + Δ составляет 0,4... 1,5 мм.
Из-за большого немагнитного промежутка двигатели с полым немагнитным ротором имеют большой намагничивающий ток (0,8... 0,9)Iн и низкий коэффициент мощности cosφ. Большая сила намагничивающего тока приводит к большим электрическим потерям в обмотках двигателя и значительно снижает его КПД. С целью уменьшения электрических потерь двигатели с полым немагнитным ротором обычно конструируют так, чтобы до 70 % площади поперечного сечения статора у них занимали пазы с обмотками.
В отличие от всех остальных типов роторов, применяемых для асинхронных исполнительных двигателей переменного тока, полый немагнитный ротор при большом активном сопротивлении r р обладает весьма незначительным индуктивным сопротивлением хр = (0,05...0,1)rр. Это его свойство способствует значительному повышению линейности механических и регулировочных характеристик двигателей.
Принцип действия двигателя с полым немагнитным ротором состоит в следующем: переменный ток, протекая по обмоткам статора, создает вращающее магнитное поле, которое, пересекая полый ротор, наводит в нем вихревые токи; в результате взаимодействия этих токов с вращающимся магнитным полем двигателя возникает момент, который, действуя на ротор, увлекает его в сторону этого поля.
К положительным свойствам двигателей с полым немагнитным ротором следует отнести:
малый момент инерции ротора, что в совокупности со значительным пусковым моментом обеспечивает быстродействие двигателя. Электромеханические постоянные времени Т M подавляющего большинства современных двигателей не превышают 60 мс;
сравнительно хорошую линейность механических и регулировочных характеристик. У большинства двигателей нелинейность ц0 5 лежит в пределах от 0,05 до 0,15, что обеспечивает устойчивую работу двигателя почти при всех частотах вращения и кратность регулирования nmax / nmin = 100...200;
высокую чувствительность — малый сигнал трогания, что обеспечивается малым моментом инерции ротора, малой его массой, большим пусковым моментом и отсутствием радиальных сил притяжения ротора к статору. Последнее объясняется тем, что ротор немагнитный;
плавность и бесшумность хода, постоянство пускового момента в любом положении ротора, что определяется отсутствием пазов на роторе, а следовательно, зубцовых гармоник поля.
К недостаткам двигателей с полым немагнитным ротором относятся:
низкий КПД; у большинства двигателей даже в номинальном режиме ηн = 0,2...0,4 и значительно уменьшается при регулировании. Низкий КПД объясняется большими электрическими потерями в обмотке статора вследствие большого намагничивающего тока и полом роторе вследствие его большого активного сопротивления;
низкий коэффициент мощности (cosφ = 0,2...0,4) вследствие большого немагнитного промежутка между наружным и внутренним статорами;
большие габариты и масса, обусловленные первыми двумя недостатками. По габаритам и массе двигатель с полым немагнитным ротором больше силовых асинхронных двигателей и исполнительных двигателей постоянного тока той же номинальной мощности в 2— 4 раза.
Желание уменьшить габариты и массу приводит к тому, что подавляющее большинство двигателей с полым немагнитным ротором рассчитывается на работу от сетей с повышенной частотой (200... 1000 Гц). Двигатели с повышенной частотой напряжения питания имеют более высокую частоту вращения n = 60f(1 - s )/ p , a следовательно, развивают те же механические мощности при меньших моментах на валу, значениями которых определяются габариты машин.

В некоторых схемах исполнительные двигатели должны длительное время развивать вращающий момент при неподвижном роторе, т.е. работать на упор (в режиме короткого замыкания). С целью необходимого при таком режиме отвода выделяемой в двигателях теплоты иногда выполняются двигатели с двумя развязанными в механическом отношении роторами, находящимися в расточке одного и того же статора. Один из них — ротор исполнительного двигателя, а другой — вентиляторного.
Двигатель такой конструкции представлен на рис. 18.6. Его можно рассматривать как два двигателя, исполнительный и вентиляторный, обмотки статоров которых соединены последовательно. В режиме короткого замыкания (при неподвижном роторе) входное сопротивление исполнительного двигателя весьма незначительно, поэтому большая часть приложенного напряжения приходится на вентиляторный двигатель, ротор которого вращается с большой частотой и хорошо охлаждает исполнительный двигатель. При возрастании частоты вращения ротора исполнительного двигате-
ля вследствие увеличения его входного сопротивления происходит перераспределение напряжений: на исполнительном двигателе оно увеличивается, на вентиляторном — уменьшается.
18.3. Асинхронные двигатели с короткозамкнутым ротором
По конструктивному исполнению и свойствам асинхронные исполнительные двигатели с обычным ротором, имеющим ко-роткозамкнутую обмотку, выполненную в виде беличьей клетки, можно разделить на две группы:
двигатели обычной конструкции, у которых механическая обработка всех деталей производится до сборки двигателя;
двигатели «сквозной» конструкции, у которых посадочные места под подшипники и внутренняя поверхность статора обрабатываются в полусобранном состоянии.
Двигатели первой группы имеют обычный для электрических микромашин воздушный зазор 0,15...0,25 мм; а двигатели второй группы — уменьшенный до 0,03...0,07 мм.
Двигатели обычной конструкции применяются чаще всего в обычной промышленной автоматике. Они имеют невысокую стоимость.
Двигатели сквозной конструкции применяются в особо ответственных схемах приборной автоматики. Они имеют лучшие характеристики, но и более высокую стоимость.
Двигатели с ротором обычной конструкции чаще всего применяются в тех схемах автоматики, где быстродействие системы не играет существенной роли. Поэтому в быстродействии (Т = 0,2... 1,5 с) эти двигатели, имеющие зазор 0,15...0,25 мм, значительно уступают двигателям с полым немагнитным ротором. Однако по некоторым свойствам они выгодно отличаются от последних.
Двигатель с обмоткой в виде беличьей клетки на роторе может быть выполнен со значительно меньшим, чем у двигателя с полым ротором, магнитным сопротивлением на пути рабочего потока, что позволяет снизить намагничивающий ток, электрические потери от него в обмотке статора, а следовательно, повысить cosφ и КПД.
В схемах промышленной автоматики в настоящее время большое распространение получил простой и дешевый асинхронный исполнительный двигатель типа РДМ-09 с короткозамкнутой выполненной в виде беличьей клетки обмоткой на роторе. Статор этого двигателя, набираемый из листов электротехнической стали, имеет восемь зубцов, на каждом из которых располагается по одной катушке. Четыре катушки (через одну) составляют обмотку возбуждения, последовательно с которой включается конденсатор емкостью 1мкФ, четыре другие катушки — обмотку управления. Обе обмотки рассчитаны на напряжение питания 127 В и частоту питающей сети 50 Гц. Номинальная частота вращения двигателя 1200 об/мин.
В двигатель РДМ-09 встроен редуктор с передаточным отношением, соответствующим одному из восьми возможных вариантов, что позволяет изменять частоту вращения на выходе от 1,92 до 76,8 об/мин.
Двигатели сквозной конструкции (рис. 18.7) появились сравнительно недавно, но уже получили очень широкое распространение. Особенностью этих двигателей является то, что диаметр расточки под подшипники (в подшипниковых щитах) у них равен внутреннему диаметру статора, что позволяет производить окончательную обработку (шлифовку) внутренней поверхности статора и отверстий под подшипники после сборки (установки подшипниковых щитов) одновременно. Такая конструкция двигателя позволяет уменьшить воздушный зазор между статором и ротором до 0,03...0,05 мм, что способствует снижению намагничивающегося тока, потерь в обмотке статора, а следовательно, повышает coscp, КПД и коэффициент использования двигателя.
Ротор для уменьшения момента инерции обычно изготовляется малого диаметра. Необходимая мощность обеспечивается за счет увеличения его длины. Обычно отношение длины ротора к его равно 2...3.

Увеличение (за счет уменьшения воздушного зазора) вращающего (крутящего) момента Мк, развиваемого двигателем, и уменьшение (за счет диаметра ротора) момента инерции ротора Jр позволяют значительно снизить электромеханическую постоянную времени двигателя Тм ≈ JР/Мк.
Преимущество исполнительных двигателей сквозной и обычной конструкции типа беличьей клетки ротора по отношению к двигателям с полым немагнитным ротором особенно ощутимо при очень малых мощностях — от сотых долей ватта до 3... 5 Вт и больших мощностях — свыше 200...300 Вт, когда в процентном отношении потери от намагничивающего тока у двигателей с полым ротором особенно велики.
К положительным свойствам двигателей сквозной конструкции следует отнести: более высокие cos cp и КПД; меньшие массу и габаритные размеры в определенных диапазонах номинальных мощностей.
Недостатками двигателей с обычным короткозамкнутым ротором являются:
сравнительно большой момент инерции ротора, что ведет к увеличению электромеханической постоянной времени;
сравнительно большой сигнал трогания, что обусловлено массой ротора, наличием действующих на ротор радиальных сил одностороннего магнитного притяжения к статору из-за ферромагнитных свойств ротора;
наличие высших зубцовых гармоник поля.
18.4. Асинхронные двигатели с полым ферромагнитным ротором
В системах автоматики иногда в качестве исполнительных, а также силовых применяют двигатели с полым (а иногда и с массивным) ферромагнитным ротором. Статоры таких двигателей ничем не отличаются от статоров обычных двухфазных асинхронных машин, а роторы изготовляются в виде полых ферромагнитных цилиндров с толщиной стенок от 0,3 до 3 мм (рис. 18.8). Так как ротор ферромагнитный, то магнитный поток замыкается непосредственно по ротору. Таким образом, в отличие от двигателя с полым немагнитным ротором здесь нет необходимости в наличии внутреннего статора. Воздушный зазор между ротором и статором в этих двигателях небольшой (0,2...0,3 мм), поэтому его намагничивающая сила невелика. В этом отношении двигатель с ферромагнитным ротором выгодно отличается от двигателя с немагнитным ротором. Однако суммарная магнитодвижущая сила, а следовательно, и намагничивающий ток (Iμ) двигателя практически не отличается от МДС и Iμ двигателя с полым немагнитным ротором. Причиной этого является то, что магнитная проводимость полого ферромагнитного ротора вследствие его малой толщины весьма незначительна.
Как результат наличия большого намагничивающего тока, коэффициент мощности двигателя с полым ферромагнитным ротором практически такой же, как у двигателя с полым немагнитным ротором (cos φ = 0,3...0,5), причем значение его уменьшается при увеличении частоты питающей сети.

Активное сопротивление полого ферромагнитного ротора весьма значительно. Это объясняется, во-первых, тем, что ферромагнитные материалы, из которых изготовляется ротор, обладают значительно большим удельным сопротивлением, чем медь и алюминий, а во-вторых, тем, что при работе машины вследствие эффекта вытеснения ток ротора протекает лишь по небольшому поверхностному слою, толщина которого зависит от материала и частоты тока.
Вследствие большого активного сопротивления ротора критическое скольжение двигателей с полым ферромагнитным ротором значительно больше единицы, поэтому эти двигатели не имеют самохода и устойчиво работают во всем диапазоне скоростей — от нуля до синхронной. По этой же причине механические и регулировочные характеристики двигателей с полым ферромагнитным ротором весьма близки к линейным, т.е. они более линейны, чем характеристики двигателей с полым немагнитным и обычным ко-роткозамкнутым роторами. Линейность характеристик двигателя увеличивается с увеличением частоты питающей сети.
У некоторых двигателей вследствие большого активного сопротивления ротора уменьшается КПД. С целью уменьшения активного сопротивления производят омеднение ротора, т.е. цилиндрическую поверхность ротора гальваническим путем покрывают слоем меди толщиной 0,05...0,1 мм, что способствует увеличению момента и мощности на валу двигателя. Омеднение торцевых поверхностей ротора более эффективно. Оно способствует увеличению не только момента и мощности на валу двигателя, но и его КПД. Исполнительные двигатели с полым и массивным ферромагнитным роторами иногда используются при высоких температурах окружающей среды, особенно при необходимости обеспечения высоких и сверхвысоких (60000... 100000 об/мин) частот вращения.
18.5. Синхронные микродвигатели с постоянными магнитами
В схемах автоматики применяется большое количество различных типов синхронных микродвигателей с постоянными магнитами, отличающихся друг от друга по способу запуска, конструктивному исполнению, способу питания и т.п. Все синхронные двигатели с постоянными магнитами, если их классифицировать по одному из основных показателей — способу запуска, можно разделить на три группы: самозапускающиеся микродвигатели; двигатели с асинхронным пуском; двигатели с гистерезисным пуском.
Самозапускающиеся синхронные микродвигатели с постоянными магнитами находят в настоящее время очень широкое применение в схемах автоматики. Они используются для привода часовых механизмов, механизмов реле, всевозможного рода программных устройств и т. п. Номинальные мощности таких двигателей обычно не превышают долей ватта. Они имеют большое число полюсов и небольшие синхронные частоты вращения (обычно пс = 60 f / p ≤ 375 об/мин).
Двигатели часто рассчитываются на работу от однофазных сетей переменного тока. Их магнитное поле либо пульсирующее, либо резко выраженное эллиптическое (у двигателей с расщепленными экранированными полюсами). Пуск этих двигателей часто осуществляется в течение полупериода изменения тока за счет всегда существующего в синхронных двигателях пульсирующего момента. Самозапускающиеся двигатели рассчитываются либо на малоинерционную нагрузку, либо за счет специального устройства, развязывающего ротор и вал на время пуска, пускаются вхолостую, а затем нагружаются. Для обеспечения пуска таких двигателей широко используют различные устройства с пружинами, храповиками и иными приспособлениями, обеспечивающими вращение ротора в заданном направлении и блокирующими обратный ход.
Самозапускающиеся синхронные микродвигатели с постоянными магнитами обычно выпускаются плоскими, т. е. имеют относительно большой диаметр и малую длину. Их обмотка возбуждения имеет вид кольца, а магнитная цепь статора, изготовленная зачастую из одного листа стали, имеет клювообразные полюсы, расщепленные у двигателей с экранированными полюсами. КПД таких двигателей невелик — 3... 5 %. На рис. 18.9 представлена схематично конструкция одного из таких микродвигателей.

Основной массовой серией однофазных самозапускающихся синхронных двигателей с постоянными магнитами, выпускаемых в России, длительное время являлась серия ДСМ. Двигатели этой серии (рис. 18.10) рассчитаны на работу от сети с f = 50 Гц напряжением 200, 127, 36, 24, 12 В. Они выпускались как без редуктора, так и с различными понижающими механическими редукторами. Частота вращения выходного вала такого двигателя — 375 об/мин; частота вращения выходного редуктора — 60; 2; 0,2; 1/300 об/мин. Эти двигатели выпускались с правым и левым вращением вала. Мощность, потребляемая ими от сетей, не превосходила 4 Вт. Двигатели серии ДСМ выпускались в больших количествах и в настоящее время еще работают во всевозможных устройствах. Но с началом выпуска и расширением производства новых серий двигателей с лучшими показателями — ДСО, ДСОР, ДСК, ДСКР — выпуск двигателей серии ДСМ сокращается.

Тихоходные однофазные микродвигатели типов ДСО (двигатели синхронные однофазные) — это многополюсный двигатель, рассчитанный для работы от однофазных сетей переменного тока с частотой 50 или 60 Гц, с надежными однонаправленными пуском и вращением, предназначенный для работы в различных промышленных и бытовых приборах.
Конструкция двигателя типа ДСО-32 (рис. 18.11) весьма проста и технологична. Статор состоит из намотанной в виде кольца катушки 7, залитой и соответствующим образом отформованной литьевой пластмассой. Отформованная катушка 7 является основой двигателя. Справа и слева к катушке прилегают магнитопро-воды 4, имеющие по восемь клювообразных полюсов 6 определенной длины, направленных аксиально и полученных путем неполной выштамповки и отгибки пластин 10 правого и левого магнитопроводов. При этом полюсы одного магнитопровода располагаются между полюсами другого магнитопровода. Магнитопро-воды одновременно служат подшипниковыми щитами. В их центральных отверстиях располагаются подшипники скольжения 2, изготовленные путем заливки из литьевого сополимера. Медные пластины 3 особой конфигурации, прилегающие изнутри к правому и левому магнитопроводам (по две штуки к каждому), экранируют определенную часть полюсов статора, выполняя роль короткозамкнутых витков, что обеспечивает при питании катушки статора переменным током через зажимы 9 создание вращающегося в пространстве магнитного поля (не кругового, а эллиптического).

Магнитный поток, созданный обмоткой статора, замыкаясь вокруг нее, проходит по левому магнитопроводу, его клювооб-разным полюсам, цилиндрическому магниту 8 ротора, клювооб-разным полюсам правого магнитопровода, правому магнитопроводу и замыкается на внешнем магнитопроводе, соприкасающемся с левым и правым магнитопроводами.
Цилиндрический ротор двигателя состоит из кольцевого ферри-то-бариевого магнита 8марки МШИ, впрессованного литьевым сополимером на стальном валу 1. Цилиндрический магнит ротора имеет 16 полюсов, полученных путем радиального намагничивания.
Двигатель имеет закрытое исполнение с одним выходным концом вала. Подшипниковые щиты, которыми являются торцевые маг-нитопроводы, и внешний магнитопровод закрепляются на основной части двигателя — катушке, залитой пластмассой, с помощью цилиндрических пластмассовых выступов (шпилек) 5, концы которых после сборки двигателя оплавляются. Конструкция двигателя весьма технологична, что очень важно при массовом производстве. Двигатели ДСО-32 выпускаются на номинальные напряжения 12, 24, 40, 110 (127), 220 В. Для работы при напряжениях свыше 220 В рекомендуется включать последовательно с двигателем гасящие напряжение элементы (резисторы или конденсаторы). Режим работы двигателей серии ДСО продолжительный или повторно-кратковременный с частыми пусками, когда продолжительность включения составляет до 60 % от общего времени работы, а частота включения — до 3600 включений в час. Направления вращения — левое или правое в зависимости от исполнения. Двигатели ДСО-32 выпускаются и для работы от сети с частотой 60 Гц. В этом случае они имеют маркировку ДСО-32-0,08-0,450.
Маркировка ДСО-32Р означает, что к двигателю типа ДСО-32 присоединен понижающий механический редуктор, имеющий определенное передаточное число.
Конденсаторные тихоходные двигатели типов ДСК и ДСКР разработаны взамен устаревших двигателей типов ДСД, ДСДР.

Рассмотрим устройство и принцип работы базового конденсаторного двигателя ДСК-32-0,25-0,375, схема которого приведена на рис. 18.12. Цифры в маркировке двигателя означают: 32 — наружный диаметр, мм; 0,25 — пусковой и номинальный моменты, Н-см; 0,375 — частота вращения, тыс. об/мин. Статор имеет два одинаковых модуля I и II, представляющих собой две независимые одинаковые по конструкции фазные системы, каждая из которых состоит из внешнего 6 и внутреннего 9 одинаковых по конструкции штампованных магнитопроводов, имеющих чашеобразную форму, и сосредоточенной обмотки, выполненной в виде кольцевой каркасной катушки 8, размещенной между внешним и внутренним магнитопроводами. Кольцевой каркас катушки выполнен из литьевого сополимера типа дифлон. Внешние 6 и внутренние 9 магнитопроводы каждого модуля выполнены штамповкой из стали марки П-ВГ-08КП. Магнито-провод изолирован от катушки изоляцией 7. Аксиальному перемещению ротора препятствует пружина 3.
Полюсная система внешних и внутренних магнитопроводов статора состоит из 16 клювообразных полюсов 10 чередующейся полярности, равномерно расположенных по окружности. Формирование полюсов 10 обеспечивается путем просечек при штамповке листовой заготовки и последующей отгибки полюсов под углом 90° к торцевым частям внешних и внутренних магнитопроводов.
Передний и задний подшипниковые щиты 5 двигателя имеют форму дисков с отверстиями в центральной части, в которых из литьевого сополимера типа СФД или полиамида формируются подшипники скольжения 2. Подшипниковые щиты и внешние магнитопроводы механически скрепляются между собой точечной сваркой. Также точечной сваркой скрепляются между собой внутренние магнитопроводы модулей, предварительно сдвинутые между собой на 90° (электрических).
Ротор двигателя состоит из кольцевого ферритобариевого постоянного магнита 4 марки ФБИ-la, который опрессован полиамидом 77 на валу 7. Магнит 4 ротора намагничен в радиальном направлении и имеет 16 неявновыраженных полюсов чередующейся полярности.
Частота вращения ротора базового двигателя 375 или 450 об/мин при частотах питающего напряжения соответственно 50 или 60 Гц. Базовый электродвигатель имеет различные исполнения на напряжения 12, 24, 110, 127, 220 В, которые отличаются друг от друга лишь числом витков обмотки статора.
Наряду с возможностью работы от двухфазной симметричной сети (со сдвигом напряжений фаз во времени на четверть периода — 90°) базовый двигатель ДСК-32-0,25-0,375 предназначен для работы от однофазной сети с постоянно включенным последовательно с одной из его фаз (обмоток) конденсатором. При этом для номинальных напряжений сети 12, 24 и 40 В используется схема с параллельным включением обмоток, а для напряжений ПО В и выше — с последовательным. Реверс двигателя достигается посредством переключения конденсатора из цепи одной обмотки в цепь другой.
На базе двигателя ДСК-32-0,25-0,375 разработана серия однофазных реверсивных конденсаторных тихоходных синхронных двигателей с механическими редукторами типа ДСКР-32, которые работоспособны в условиях воздействия вибрационных и ударных нагрузок. Серии двигателей ДСК-32 и ДСКР-32 имеют 180 исполнений, в том числе различные климатические.
Синхронные микродвигатели с постоянными магнитами и асинхронным пуском отличаются от других типов синхронных двигателей с постоянными магнитами наличием на роторе короткозамкнутой обмотки типа беличьей клетки, предназначенной, во-первых, для пуска двигателя, во-вторых, для стабилизации его частоты вращения — демпфирования качаний ротора при резких изменениях нагрузки.

В последнее время наибольшее распространение получили синхронные двигатели двух конструктивных исполнений: с радиальным (рис. 18.13, 18.14) и аксиальным расположениями постоянного магнита и пусковой короткозамкнутой обмотки.
Статоры двигателей обоих конструктивных исполнений ничем не отличаются от статоров обычных синхронных и асинхронных машин. В пазах шихтованных статоров располагаются трехфазные или двухфазные обмотки переменнбго тока. Роторы двигателей сочетают в себе элементы синхронного двигателя — постоянные магниты и асинхронного двигателя — короткозамкнутую обмотку, выполненную в виде беличьей клетки, располагающуюся в пазах.

Двигатели с радиальным расположением постоянного магнита и пусковой обмотки имеют кольцевой пакет стали ротора, напрес-сованый на постоянный магнит-звездочку, в пазах которого располагается короткозамкнутая обмотка. В стали магнитопровода ротора имеются междуполюсные прорези, размеры которых выбираются из условия хорошего асинхронного пуска и оптимального использования энергии постоянного магнита в синхронном режиме, т. е. из условия уменьшения потока рассеяния магнита. Пакет стали ротора с короткозамкнутой обмоткой предохраняет магнит от размагничивания в режиме пуска (короткого замыкания).
С целью предохранения магнита от размагничивания, а также увеличения асинхронного момента, необходимого для пуска, междуполюсную прорезь желательно выбирать минимально возможной. Исследования показывают, что оптимальный размер прорези увеличивается с увеличением мощности двигателя. Иногда с целью улучшения пусковых свойств двигателя и увеличения механической прочности его ротора между полюсными наконечниками оставляют небольшие перемычки — мостики насыщения (см. рис. 18.14).

Синхронные двигатели с постоянными магнитами и асинхронным пуском в ряде случаев имеют существенные преимущества по сравнению с синхронными реактивными и гистерезисными двигателями: более высокие энергетические показатели — КПД и cos φ (рис. 18.15); большую удельную мощность Ps — мощность на единицу массы (особенно при мощностях в десятки и сотни ватт и большом числе пар полюсов); повышенную перегрузочную способность, стабильность частоты вращения; хорошую синфазность вращения, что часто требуется в групповых приводах. В некоторых системах автоматики применяются синхронные микродвигатели с постоянными магнитами и гистерезисным пуском.
18.6. Синхронные реактивные микродвигатели
Благодаря простоте конструкции, невысокой стоимости, необходимости лишь одного источника питания, высокой надежности, стабильности характеристик синхронные реактивные микродвигатели, несмотря на сравнительно невысокие энергетические показатели, находят широкое применение во всевозможных схемах автоматики, физических приборах, приборах магнитной записи, связи и др. В настоящее время известно много различных вариантов конструктивного выполнения синхронных реактивных микродвигателей. Конструкция определяется назначением, частотой вращения, системой питания и целым рядом других факторов.
Наибольшее распространение в настоящее время нашли синхронные микродвигатели, которые конструктивно мало отличаются от трехфазных и однофазных асинхронных микродвигателей. Их статоры аналогичны статорам асинхронных двигателей. Роторы же синхронных реактивных микродвигателей весьма разнообразны (рис. 18.16). До последнего времени наибольшее распространение имел ротор, представленный на рис. 18.16, а, отличающийся от обычного короткозамкнутого ротора асинхронного двигателя лишь наличием впадин — вырезов из цилиндрической поверхности, с помощью которых образуются явно выраженные полюсы, необходимые для работы двигателя в синхронном режиме.
Принцип действия синхронного реактивного двигателя весьма прост. Ротор разгоняется до подсинхронной скорости за счет асинхронного момента, а затем втягивается в синхронизм за счет синхронизирующего момента, возникающего вследствие разности магнитной проводимости по продольной и поперечной осям.


Значение вращающего момента MaΣ при пуске (в асинхронном режиме) определяется основным асинхронным моментом Ма1 и моментом от обратновращающегося поля ротора Ма2 (рис. 18.17), возникающего вследствие несимметрии сопротивления его корот-козамкнутой обмотки.
Пусковые свойства двигателя характеризуются его пусковым током, начальным пусковым моментом Мн и моментом входа Мвх. При выборе активного сопротивления обмотки типа беличьей клетки руководствуются теми же соображениями, что и при выборе сопротивления обмотки ротора двигателей с постоянными магнитами.
Особенностью реактивного двигателя является то, что его момент как в синхронном, так и асинхронном режимах прямо пропорционален квадрату приложенного напряжения. Это свойство обусловливает высокую чувствительность двигателя к колебаниям напряжения сети. Так, при уменьшении напряжения на 15 % (U = 0,85 UH ) вращающий момент уменьшается на 28% (М ≈ U 2 ≈ 0,852UH2 ≈ 0,72Мн).
Так как вращающий момент реактивного двигателя в синхронном режиме прямо пропорционален разности магнитных прово-димостей ротора по продольной λd и поперечной λq осям или разности индуктивных сопротивлений ( xd – х q ), то казалось бы, что для увеличения момента необходимо как можно больше увеличивать эту разность, т.е. делать впадины на роторе как можно шире и глубже. На самом деле это не так. Дело в том, что увеличение впадин у широко распространенных роторов (см. рис. 18.16), способствуя увеличению максимального синхронизирующего момента, в то же время приводит к уменьшению момента в асинхронном режиме, как начального пускового (при n = 0), так и подсин-хронного (при n ≈ n с ), значение которого во многом определяет момент входа двигателя в синхронизм.
Уменьшение момента в асинхронном режиме при увеличении впадин объясняется увеличением среднего воздушного зазора, что вызывает увеличение намагничивающего тока, падение тока на значительном в микродвигателях сопротивлении обмотки статора и, следовательно, уменьшение основного магнитного потока двигателя. Значение подсинхронного момента при увеличении впадин уменьшается, кроме того, за счет наблюдающегося при этом увеличения асимметрии сопротивлений стержней обмотки ротора. Увеличение впадин в синхронном режиме приводит к уменьшению cosφ при моментах нагрузки, близких к максимальным (при θ = 35...40°), вследствие того, что основному магнитному потоку статора приходится проходить по пути с большим магнитным сопротивлением.
В реальных двигателях, роторы которых изготовляются аналогично ротору, представленному на рис. 18.16, а обычно отношение полюсной дуги к полюсному делению выбирается равным 0,5...0,6, а отношение δmax/δmin — равным 10... 12. Однако даже двигатели с оптимальной шириной и глубиной впадины имеют сравнительно низкие пусковые и энергетические показатели и развивают в два-три раза меньшую мощность, чем одинаковые с ними по габаритам асинхронные двигатели (Мк/Мн = 1... 1,5; Мвх/Мн= 1..1,5; Мт/Мн=1,2...2,2; η = 0,05...0,5; cos φ = 0,2...0,5), причем свойства двигателей ухудшаются с уменьшением их номинальной мощности.
Появившиеся в последние годы синхронные реактивные двигатели с роторами новой конструкции позволили значительно улучшить пусковые и рабочие свойства двигателей. Особенностью усовершенствованных роторов является то, что у них разность магнитных проводимостей, а следовательно, и синхронных индуктивных сопротивлений по продольной и поперечной осям создается не за счет наружных междуполюсных впадин, а в основном за счет внутренних вырезов в пакете стали ротора, которые позволяют получить значительную разность ( xd - xq ) при сравнительно небольшой величине среднего воздушного зазора и сравнительно небольшой асимметрии сопротивлений пусковой обмотки ротора. Пакеты стали таких роторов обычно заливаются сплавом алюминия, который, скрепляя их, одновременно выполняет функции проводника токов ротора, проходящих здесь не только по стержням наружных пазов.
Применение роторов усовершенствованных конструкций позволило значительно улучшить свойства синхронных реактивных двигателей. Так, например, замена обычного ротора, изображенного на рис. 18.16, новым усовершенствованным ротором в двигателе, изготовленном на базе асинхронного двигателя АОЛ 021/4, позволила увеличить момент выхода из синхронизма на 50%, момент входа в синхронизм на 80 %; начальный пусковой момент на 40 %; максимальный cosφ на 40 %; максимальный КПД на 30 %.
18.7. Синхронные гистерезисные двигатели
В настоящее время в схемах автоматики получили весьма широкое распространение синхронные гистерезисные микродвигатели. Статор обычного гистерезисного двигателя ничем не отличается от статоров синхронных и асинхронных машин. Пакет статора набирается из изолированных листов электротехнической стали. В полузакрытых (с неширокой прорезью) пазах располагается обычная трехфазная или двухфазная (в конденсаторных двигателях) обмотка, которая при подключении к сети переменного тока создает вращающееся магнитное поле. Ротор большинства гистерезисных двигателей представляет собой сплошной или шихтованный полый цилиндр из магнитотвердого материала, имеющего широкую петлю гистерезиса (обладающего большой остаточной намагниченностью), и располагается на магнитной или немагнитной втулке. Магнитные схемы гистерезисных двигателей с различными роторами представлены на рис. 18.18.
Принцип действия гистерезисного двигателя рассмотрим на примере двигателя со сплошным массивным ротором (рис. 18.19). Вращающий момент такого двигателя можно представить как сумму двух моментов: основного гистерезисного МГ, обусловленного наличием большой остаточной намагниченности, и момента от вихревых токов Мв: М= МГ + Мв.

Момент от вихревых токов возникает в результате взаимодействия вращающегося магнитного поля двигателя с вихревыми токами ротора. По своей природе это асинхронный момент. Он равен нулю при синхронизме и вследствие большого активного сопротивления массивного ротора максимален при пуске (n = 0). Если бы двигатель обладал только моментом от вихревых токов, то его механическая характеристика не отличалась бы ничем от механической характеристики обычного асинхронного двигателя с повышенным активным сопротивлением ротора, имеющего sK > 1.

Возникновение гистерезисного момента объясняется наличием у материала ротора широкой петли гистерезиса. При асинхронной скорости вращения ротор, находясь в магнитном поле, все время перемагничивается. При этом ось поля ротора, изготовленного из магнитотвердого материала, при наличии момента сопротивления на валу отстает от оси вращающегося магнитного поля на некоторый угол θ. В результате взаимодействия поля ротора с опережающим его вращающимся магнитным полем статора возникает вращающий гистерезисный момент МГ.
Если ротор гистерезисного двигателя поместить в магнитное поле, то он намагнитится, его области спонтанной намагниченности — элементарные магнитики будут ориентированы по силовым линиям магнитного поля. На рис. 18.19 схематично показаны два элементарных магнитика. В результате взаимодействия внешнего поля, которое для наглядности представлено в виде двух полюсов магнита, с элементарными магнитиками ротора возникнут силы F = Fn которые в положении ротора, соответствующем, показанному на рис. 18.18, а, будут направлены радиально. Момент, действующий на ротор в этом случае, будет равен нулю.
Если полюсы магнита, а следовательно, внешнее магнитное поле вращать относительно ротора, то элементарные магнитики будут поворачиваться вслед за полем полюсов, однако вследствие молекулярного трения, которое у магнитотвердых материалов весьма значительно, они будут отставать от поля полюсов на некоторый угол θ. Силы взаимодействия F между элементарными магнитиками и полем полюсов магнита в этом случае (см. рис. 18.19, б) кроме радиальных составляющих Fn будут иметь еще тангенциальные составляющие Ft , которые и создадут вращающий гистерезисный момент.

На рис. 18.20 представлены механические характеристики гистерезисного двигателя — зависимости гистерезисного момента МГ, момента от вихревых токов Мв и суммарного момента М = M Г + Мв от частоты вращения n при круговом поле, синусоидально распределенном в пространстве. У гистерезисных двигателей с шихтованным ротором вихревые токи практически отсутствуют, поэтому Мв = 0 и механическая характеристика М= МГ = f ( n ) имеет вид прямой линии.
Роторы гистерезисных двигателей по конструктивному исполнению можно разделить на три группы.
1. Роторы (сплошные или шихтованные), целиком изготовленные из магнитотвердого материала (см. рис. 18.18, а).
2. Сборные роторы, состоящие из полого цилиндра (сплошного или шихтованного), изготовленного из магнитотвердого материала и ферромагнитной втулки (см. рис. 18.18, б). Такие роторы обычно применяются в случае, если магнитотвердый материал имеет малую магнитную проницаемость μ (сравнительно небольшую индукцию насыщения В m при большой коэрцитивной силе Нс).
3. Сборные роторы, состоящие из активной части — полого (сплошного или шихтованного) цилиндра из магнитотвердого материала — и немагнитной (μ = 1) втулки из алюминия или пластмассы (см. рис. 18.18, в). Такие роторы применяются в том случае, когда магнитотвердый материал имеет сравнительно большую магнитную проницаемость μ (большую Вт при сравнительно небольшой Нс).
Наибольшее распространение в настоящее время получили роторы второй и третьей групп. В некоторых двигателях активная часть ротора изготовляется не из листов, а из проволоки, полос или пресс-порошка.
Положительные качества синхронных гистерезисных двигателей следующие:
большие пусковой момент и момент входа в синхронизм;
независимость момента входа в синхронизм от момента инерции;
плавность входа в синхронизм — отсутствие рывка;
незначительное изменение тока — на 20... 30 % от пуска (n = 0) до холостого хода ( n = n с ) и на 1... 3 % от холостого хода до номинальной нагрузки;
сравнительно высокий КПД, достигающий в некоторых двигателях 60%;
малое время разгона;
большая механическая прочность и симметрия ротора, что позволяет создавать высокоскоростные двигатели, в том числе гидродвигатели;
способность одного и того же ротора работать в магнитных полях различной полюсности — полисинхронизм ротора, позволяющий создавать многоскоростные синхронные двигатели, хотя и неравноценные по качеству на различных скоростях из-за различного намагничивания активного материала ротора;
высокая температурная стабильность пусковых и рабочих характеристик, обусловленная тем, что изменение температуры влияет лишь на значение активного сопротивления обмотки статора;
высокая надежность, малый уровень шума и сравнительно небольшие габариты и масса.
Недостатки синхронных гистерезисных двигателей, ограничивающие области их применения, сводятся к следующим:
низкий коэффициент мощности (cosφ), не превосходящий 0,3...0,45;
малая стабильность мгновенной скорости вращения — качание ротора при резко изменяющихся нагрузках;
большой технологический разброс характеристик двигателя, объясняющийся тем, что даже незначительные отклонения от установленного режима термической обработки ведут к значительным изменениям свойств магнитотвердых материалов;
высокая стоимость магнитотвердых материалов и сложность их механической обработки.
Глава 19
