Если не содержит нулевых корней, то систему управления будем называть статич e ской пo отношению к управляющему воздействию. Очевидно, .
При наличии нулевых корней передаточную функцию (3.1) можно представить в виде
, (3.2)
где
не имеет нулевых корней;
– количество нулевых корней уравнения
, т.е. говорят, что передаточная функция содержит s
-й степени в чистом виде.
Систему управления с передаточной функцией вида (3.2) будем называть астатич e ской с астатизмом v-го порядка по отношению к управляющему воздействию. Очевидно, (3.1) есть частный случай (3.2) при
.
Перейдем к рассмотрению характеристик замкнутой системы (рис. 3.1), для которой можно из структурной схемы записать уравнения
,
. (3.3)
Из (3.3) нетрудно определить эти связи:
,
. обозначим
,
,
, тогда
,
.
Передаточную функцию
назовем главной п epe даточной функци e й замкнутой сит e мы,
– п epe даточной функцией замкнутой сист e мы по возмущ e нию,
– п epe даточной функци e й замкнутой сист e мы по ошибке.
Если W(s) представлена в виде (3.1), то
;
;
, (3.4)
где полином
, а R(s) – полином, который получается в результате перемножения
и
.
Полином
носит название xap акте p истич e ского полинома замкнутой сист e мы, а уравнение
– xap акт ep истич e ского у p авн e ния замкнутой сист e мы. Степень полинома
определяется величиной n (если m < n) или m (если m > n). Для физически реализуемой разомкнутой системы степень полинома
равна n.
Важной характеристикой замкнутой системы является ее дифференциальное уравнение. из уравнения
, заменяя
и
выражениями (3.4), получим
и, переходя к оригиналам (или формально заменяя s на оператор дифференцирования p), имеем следующее дифференциальное уравнение замкнутой системы:
v(p)
. (3.5)
Порядок n дифференциального уравнения (порядок полинома
) будем называть по p ядком сист e мы.
Уравнение (3.5) описывает поведение системы в динамическом режиме, частным случаем которого является установившийся или статический режим. Полагая в (3.5) величины f, v, y = const, а производные этих величин равными нулю, что соответствует p = 0 в полиномах D, N , R, получим уравнение статического режима:
. (3.6)
Величина N(0) = 1, a
для астатических систем и
– для статических систем. Таким образом, имеем следующие уравнения статического режима:
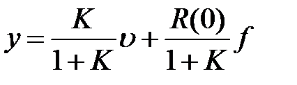
при
;
при
. Значение величины R(0) зависит от вида передаточных функций
,
.
По аналогии со звеньями систем можно ввести временные характеристики замкнутой системы, используя соответствующие передаточные функции
,
или
. Оригинал
передаточной функции
замкнутой системы относительно входа v и выхода y определится как
, а переходная функция как
.
Аналогично можно определить эти характеристики, используя
и
.
14. Частотные характеристики систем.
Частотные методы анализа и синтеза систем управления находят широкое применение в инженерной практике. По аналогии с частотными характеристиками звеньев можно ввести соответствующие частотные характеристики для системы автоматического управления.
Важным классом частотных характеристик являются частотные характеристики разомкнутой системы, определяемые из передаточной функции W(s). Это амплитудно-фазовая частотная характеристика
, где
– АЧХ;
– ФЧХ;
,
– соответственно вещественная и мнимая частотные характеристики,
– логарифмическая амплитудная частотная характеристика разомкнутой системы.
