Расчет пароводяного подогревателя
Уравнение сохранения энергии

где t2 – температура сетевой воды на входе в паровой подогреватель после охладителя конденсата;
D – расход греющего пара на подогреватель:
кг/с
Коэффициент 0,95 показывает, что в пароводяном подогревателе сетевая вода нагревается примерно на 95%.
,
где С – теплоемкость воды, G – расход сетевой воды
оС
Тепловая нагрузка подогревателя
,
кВт
Средний температурный напор (по рисунку 10.1)
, где

оС
Средняя температура воды
оС
Скорость движения воды
С экономической точки зрения оптимальная скорость движения воды в трубках v = 2,3 м/с
Площадь сечения для прохода воды
м2
Гостированная площадь сечения для прохода воды
=0,0302 м2, поэтому принимаем
= 3·
=3·0,0302 = 0,0906 м2
Уточненное значение скорости
м/с
Коэффициент теплоотдачи от воды к трубке
,
где dвн – внутренний диаметр трубки, dвн = 0,014 м
Вт/м·оС
Число рядов труб
,
где nтр – число трубок в пучке, nтр= 720

Эквивалентный диаметр для пара
dэкв = m·dн,
где dн – наружный диаметр трубки
dэкв = 8·0,016 = 0,128 м
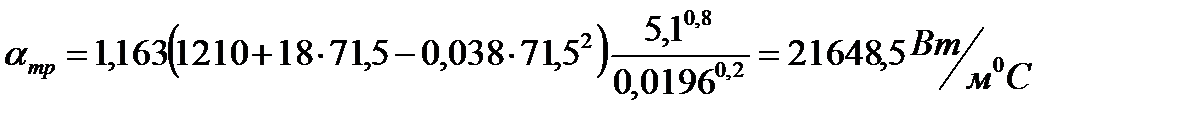
Коэффициент теплопередачи при конденсации пара
,
где Dtk= 13,5 оС
Вт/м2·оС
коэффициент теплопередачи подогревателя
,
где Rзагр – коэффициент, учитывающий загрязнение Rзагр = 0,0001
dст– толщина стенки трубы, dст = 0,002 м
lст – коэффициент теплопроводности материала стенки трубы, для стали lст = 107 Вт/м2оС
Вт/м2·оС
Уточненное значение
оС
Поверхность подогревания
м2
Количество подогревателей
,
где Fгост – площадь подогревателя по ГОСТ, Fгост = 108 м2
таким образом, принимаем 9 подогревателей ПП1-108-7-II
Таблица 10.1 Технические характеристики пароводяного подогревателя ПП1-108-7- II
| Обозначение подогревателя | Площадь поверхности нагрева S, м² | Теплопро-изводительность номинальная Q Гкал/ч | Диаметр корпуса Дн,мм | Кол-во трубок, n, шт | Длина трубок L, мм | Давление греющего пара р, кгс/см² | Число ходов по воде | Расход воды номинальный Gв, т/ч | Сечение для прохода воды f, м² | Гидравлическое сопротивление при расчетном расходе воды Δр, м.вод.ст. |
| с эллиптическими днищами | ||||||||||
| ПП1-108-7-II | 108.0 | 18.1 | 820 | 792 | 3000 | 7 | 2 | 358.0 | 0.0604 | 3 |
РАСЧЕТ ВОДОВОДЯНОГО ПОДОГРЕВАТЕЛЯ
Уравнение сохранения энергии

где t’’к– температура конденсата на выходе из водоводяного подогревателя;
D – расход греющего пара на подогреватель:
,
где С – теплоемкость воды, G – расход сетевой воды
0С
Тепловая нагрузка подогревателя
кВт
средний логарифмический напор
,

Рисунок 10.2 Изменение температуры теплоносителей в пароводяном и водоводяном подогревателях.
Dtб = tк – t2 = 140 – 72,9 = 67,1 оС
Dtм = t¢¢к – t¢о2 = 115 – 70 = 45 оС
оС
Средняя температура конденсата
оС
Средняя температура воды в подогревателе
оС
Площадь сечения для прохода конденсата
м2
Гостированная площадь fгтр= 0,0168 м2
Уточненное значение скорости
м/с
Скорость движения воды в межтрубном пространстве
м/с
где fмтр – площадь межтрубного пространства, м2
Коэффициент теплоотдачи от воды к трубке 

Коэффициент теплоотдачи
,
где dэкв – эквивалентный диаметр межтрубного пространства, dэкв = 19,6 мм

Коэффициент теплопередачи для подогревателя:
,
где b - коэффициент, учитывающий загрязнение, b = 0,95

Необходимая поверхность нагрева:

Количество секций
,
где FГ – стандартная площадь нагрева одной секции, FГ = 20,3 м2

Принимаем 1 секцию с площадью FГ = 20,3 м2
11. ТЕХНИКО-ЭКОНОМИЧЕСКИЕ ПОКАЗАТЕЛИ СИСТЕМЫ ТЕПЛОСНАБЖЕНИЯ
Под технико-экономическими показателями системы теплоснабжения понимают величины, характеризующие удельные расходы топлива на единицу отпущенной теплоты, удельные расходы электроэнергии на единицу отпущенной теплоты и удельный расход воды на единицу отпущенной теплоты, а так же число часов использования установленной мощности.
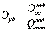
Удельный расход топлива на единицу отпущенной теплоты

Qгод =985 677,08 ГДж/год
Годовой расход теплоты:
,
где
- годовой расход отпущенной теплоты;
ηтп – коэффициент теплового потока.

Годовой расход воды
,
где Gсвтп и Gсвхп – средний расход сетевой воды в холодный и теплый периоды.
Годовой расход топлива:
т/год.
т/ГДж
Установленная мощность котельной
,
где D – суммарная паропроизводительность котельной,
h – энтальпия пара на выходе из котла.
МВт
Число часов использования установленной мощности

ч/год
Установленная мощность двигателей
,
где Nнс – удельный расход энергии на собственные нужды, принимаем в зависимости от установленной мощности. При Qуст> 50 МВт Nнс = 18 кВт/МВт.
кВт
Годовой расход электроэнергии:
,
где Кэл – коэффициент использования электрической мощности, принимаем в зависимости от Qуст< 250 МВт равным 0,8.
кВт-ч/год
Удельный расход электроэнергии на единицу отпущенной теплоты

кВт-ч/ГДж
1 – паровой котел;
2 – расширитель непрерывной продувки;
3 – насос сырой воды;
4 – барботер;
5 – охладитель непрерывной продувки;
6 – подогреватель сырой воды;
7 – химводоочистка;
8 – питательный насос;
9 – подпиточный насос;
10 – охладитель подпиточной воды;
11 – сетевой насос;
12 – охладитель конденсата;
13 – сетевой подогреватель;
14 – подогреватель химически очищенной воды;
15 – охладитель выпара;
16 – атмосферный деаэратор;
17 – редуционно-охладительная установка (РОУ)
ЗАКЛЮЧЕНИЕ
В результате работы мы:
- определили тепловые нагрузки для каждого потребителя
| Потребитель | Q0 , МВт | QВ , МВт | QГВХ , МВт | QГВЛ , МВт | QТ , МВт |
| Жилой р-н Промпредприятие Итого | 41,33 15 56,33 | 4,96 3,8 8,76 | 6,92 4 10,92 | 8,65 5 13,65 | - 7,5 7,5 |
- построили графики изменения подачи теплоты каждому объекту и определили годовой запас условного топлива для теплоснабжения;
- рассчитали и построили температурные графики: регулирования отпуска теплоты и средневзвешенной температуры теплоносителя, возвращаемого на источник теплоснабжения;
- построили графики расходов сетевой воды по объектам и в сумме;
- произвели гидравлический расчет, выбрали насосы;
- рассчитали толщину изоляции;
- определили расход, давление и температуру пара, вырабатываемого на источнике теплоснабжения, рассчитали диаметр паропровода и выполнили его тепловой расчет;
- рассчитали тепловую схему, произвели выбор основного оборудования;
- рассчитали подогреватель сетевой воды.
Выбраны 3 сетевых насоса марки СЭ 800-55-11 и подпиточные насосы марки К20/30 в количестве 3 шт.
В качестве теплоизоляционного материала выбираем вспененный полиуретан.
Выбрали 9 подогревателей ПП1-108-7-II и 2 водоводяных подогревателя.
Выбрали 2 деаэратора ДСА-100 и 3 котла Е-100-24.
ЛИТЕРАТУРА
1.Соколов Е.Я. Теплофикация и тепловые сети: Учебник для ВУЗов – 5-е изд. перераб. – М.: Энергоиздат, 1982-360с.
2.СНиП 2.04.07-86 Тепловые сети. – М.: ЦИТП Госстроя, 1986-48с.
3.СНиП 2.04.05-91 Отопление, вентиляция и кондиционирование воздуха. – М.: ЦИТП Госстроя, 1991-64с.
4.Кулагин А.Н., Капустина Н.В. Гидравлический расчет трубопроводов. – ИЭИ, 1976-32с.
5.Каталог энергетических насосов. – М.: ИИНТИХИМНЕФТЕМАШ, 1974-51с.
6.Строительный каталог ч. III серии 3.006.1-284.
7.Ривкин С.Л., Александров А.А. Теплофизические свойства воды и водяного пара. – М.: Энергия, 1980-424с.
8.Николаев А.А. Справочник проектировщика. Проектирование тепловых сетей. – М.: Издательство литература по строительству, 1965-360с.
9.Теплообменные аппараты систем теплоснабжения. Отраслевой каталог / под редакцией В.М. Курилова, В.Н. Бужина, О.Н. Бурева – М.: ЦНИНТЭИ, Техмаш, 1995-32с.
Эстеркин Р.Л. Котельные установки. Курсовое и дипломное проектирование. Учебное пособие для техникумов. – Л.: Энергоатомиздат, 1989-2
