6.6. Интегральный способ в анализе хозяйственной деятельности
Основные недостатки метода элиминирования. Проблема разложения дополнительного прироста от взаимодействия факторов между ними. Сущность интегрального метода и сфера его применения. Алгоритмы расчета влияния факторов в разных моделях интегральным способом.
Элиминирование как способ детерминированного факторного анализа имеет существенный недостаток. При его использовании исходят из того, что факторы изменяются независимо друг от друга. На самом же деле они изменяются совместно, взаимосвязано и от этого взаимодействия получается дополнительный прирост результативного показателя, который при применении способов элиминирования присоединяется к одному из факторов, как правило к последнему. В связи с этим величина влияния факторов на изменение результативного показателя меняется в зависимости от места, на которое поставлен тот или иной фактор в детерминированной модели.
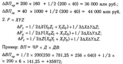
Рассмотрим это на примере, который дан в табл. 6.1. Согласно приведенным в ней данным, количество рабочих на предприятии увеличилось на 20%, производительность труда - на 25%, а объем валовой продукции - на 50%. Это значит, что 5% (50 - 20 - 25), или 8000 млн руб. валовой продукции составляет дополнительный прирост от взаимодействия обоих факторов.
Когда мы подсчитаем условный объем валовой продукции, исходя из фактического количества рабочих и планового уровня производительности труда, то весь дополнительный прирост от взаимодействия двух факторов относится к качественному фактору — изменению производительности труда:

Если же при расчете условного объема валовой продукции взять запланированное количество рабочих и фактический уровень производительности труда, то весь дополнительный прирост валовой продукции относится к количественному фактору, который мы изменяем во вторую очередь:

Покажем графическое решение задачи в разных вариантах (рис. 6.2).
В первом варианте расчета условный показатель имеет форму: ВПусл = ЧРф х ГВпл, во втором – ВПусл = ЧРпл х ГВф.

Соответственно отклонения за счет каждого фактора в первом случае

во втором

На графиках этим отклонениям соответствуют разные прямоугольники, так как при разных вариантах подстановки величина дополнительного прироста результативного показателя, равная прямоугольнику ABCD , относится в первом случае к величине влияния годовой выработки, а во –втором, к величине влияния количества рабочих. В результате этого величина влияния одного фактора преувеличивается, а другого - приуменьшается, что вызывает неоднозначность оценки влияния факторов, особенно в тех случаях, когда дополнительный прирост довольно существенный, как в нашем примере.
Чтобы избавиться от этого недостатка, в детерминированном факторном анализе используется интегральный метод, который применяется для измерения влияния факторов в мультипликативных, кратных и смешанных моделях кратно-аддитивного вида

Использование этого способа позволяет получать более точные результаты расчета влияния факторов по сравнению со способами цепной подстановки, абсолютных и относительных разниц и избежать неоднозначной оценки влияния факторов потому, что в данном случае результаты не зависят от местоположения факторов в модели, а дополнительный прирост результативного показателя, который образовался от взаимодействия факторов, раскладывается между ними поровну.
На первый взгляд может показаться, что для распределения дополнительного прироста достаточно взять его половину или часть, соответствующую количеству факторов. Но это сделать чаще всего сложно, так как факторы могут действовать в разных направлениях. Поэтому в интегральном методе пользуются определенными формулами. Приведем основные из них для разных моделей.

В нашем примере (см. табл. 6.1) расчет проводится следующим образом:


Для расчета влияния факторов в кратных и смешанных моделях используются следующие рабочие формулы.



Таким образом, использование интегрального метода не требует знания всего процесса интегрирования. Достаточно в готовые рабочие формулы подставить необходимые числовые данные и сделать не очень сложные расчеты с помощью калькулятора или другой вычислительной техники. При этом достигается более высокая точность расчетов.
6.7. Способ логарифмирования в анализе хозяйственной деятельности
