Определить сечение ремня по номограмме.
Располагая значениями расчетной мощности Рр и заданной номинальной частоты вращения малого шкива n1, по номограмме, представленной на рисунке 5, выбирают сечение клинового ремня.

Рис. 5. Номограмма для выбора сечения клинового ремня.
Подобрать сечение и длину по ГОСТ 1284.3-80.
1. Настоящий стандарт распространяется на бесконечные резинотканевые приводные клиновые ремни нормальных сечений по ГОСТ 1284.1—80 и ГОСТ 1284.2—80.
2. Схема для расчета клиноременной передачи приведена на рисунке 6.

Рис. 6. Схема для расчета клиноременной передачи.
2.1. Окружную скорость ремня, v, м/с, вычисляют по формуле
, где d1 — расчетный диаметр меньшего шкива, мм; n1 — частота вращения меньшего шкива, мин-1.
Передаточное число i находится из отношения
, где d2 – расчетный диаметр большего шкива, мм; n2 — частота вращения большего шкива, мин-1.
2.2. Угол обхвата ремнем малого шкива в градусах вычисляют по формулам

где α — межосевое расстояние, мм.
3. Сечения ремней А, В [Б], С [В], D [Г], Е [Д] следует выбирать по рис. 5. Сечение ремней О [Z] следует применять для передаваемых мощностей до 2 кВт, сечение ремней ЕО (Е) — при мощностях свыше 200 кВт.
4. Мощность передачи Nр, кВт, с одним ремнем в условиях эксплуатации вычисляют по формуле

где No -— номинальная мощность передачи с одним ремнем, кВт (табл. 1—7). Для стационарных сельскохозяйственных машин с диаметрами шкивов меньшими, чем предусмотрено в табл. 1—6 — по ГОСТ 10286—75
Са — коэффициент угла обхвата (табл. 8);
CL— коэффициент, учитывающий длину ремня (табл. 9);
Ср— коэффициент динамичности и режима работы (табл. 10).
Мощность передачи Np с одним ремнем при работе на двух шкивах следует рассчитывать по шкиву с меньшим диаметром.
Мощность передачи Np с одним ремнем при работе на трех и более шкивах следует рассчитывать по ведущему шкиву и проверять дополнительно для ведомых шкивов с меньшим диаметром и углом обхвата.
5. Число ремней К в передаче для обеспечения среднего ресурса эксплуатации по ГОСТ 1284.2—80 вычисляют по формуле

где N — передаваемая мощность на ведущем валу, кВт; Ск — коэффициент, учитывающий число ремней в передаче (табл. 11), вводится при K≥2.
6. Номинальную мощность передачи с одним ремнем для условной расчетной длины при CL= 1 следует выбирать по табл. 1—7. Для промежуточных значений частоты вращения и передаточного числа номинальную мощность рассчитывают линейной интерполяцией.
Для стационарных сельскохозяйственных машин с диаметрами шкивов меньшими, чем предусмотрено в табл. 1—6, номинальную мощность передачи с одним ремнем выбирают по ГОСТ 10286—75.
7. Значения коэффициента угла обхвата ремня Са должны соответствовать указанным в табл. 8. Промежуточные значения его определяют линейной интерполяцией.
8. Значения коэффициента СL учитывающего влияние длины ремня, должны соответствовать указанным в табл. 9.
Примечания: 1. При установке натяжных роликов их следует располагать на ведомой ветви внутри контура передачи; при установке натяжного ролика снаружи контура или на ведущей ветви коэффициент СР увеличивается в 1,1 раза.
2. При реверсировании, частом пуске коэффициент СР увеличивается в 1,1 раза.
9. Значения коэффициента Су, учитывающего число ремней в комплекте, должны соответствовать указанным в табл. 11.
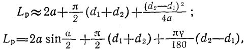
10. Расчетную длину Lp в зависимости от выбранного межосевого расстояния вычисляют по формулам

где y — угол, равный (90°
), град.
Вычисленную расчетную длину округляют до ближайшей стандартной расчетной длины ремня в соответствии с ГОСТ 1284.1—80. Затем вычисляют окончательное межосевое расстояние α по формуле

где

11. Для компенсации отклонений от номинала по длине ремня, его удлинения во время эксплуатации, а также для свободной установки новых ремней в передаче должна быть предусмотрена регулировка межосевого расстояния или установка натяжных устройств.
Наименьшее значение межосевого расстояния должно быть установлено в зависимости от длины ремня, уменьшенной на 2% при длине ремня до 2 м и на 1 % при длине свыше 2 м.
Наибольшее значение межосевого расстояния должно быть установлено из расчета длины ремня, увеличенной на 5,5%.
Определить количество ремней.
Число ремней определяют предварительно без учета неодинаковой их работы в комплекте: Рэл = 1,5 кВт
, где POH = 1,3 кВт – мощность, передаваемая одним ремнем, зависит от сечения ремня, частоты вращения ведущего шкива, расчетного диаметра шкива и передаточного числа; Сα = 0,94 – коэффициент угла обхвата; Сp = 1,2– коэффициент динамичности и режима работы; Cu = 1,13 – коэффициент, учитывающий передаточное число; СL = 0,98 – коэффициент, учитывающий длину ремня.

Число ремней с учетом различия в нагружении ремней в комплекте определяют по зависимости:
, где Сz - коэффициент, зависящий от числа ремней, Сz =0,95.

Окончательно принимаем z=2.
Вывод.
1. Я изучил общие сведения о клиновых ремнях.
2. Изучил схемы определения геометрических размеров ремней.
3. Изучил как определить сечение ремня по номограмме.
4. Изучил порядок подбора сечения и длины ремня по ГОСТ 1284.3-80.
5. Изучил порядок вычислений по определению количества ремней.
