Лабораторна робота № 3
Тема роботи: Прості цикли в Паскалі. Табуляція функції. Мета роботи: Оволодіння навичками створення простих циклів. Постановка завдання: Обчислити і вивести значення функції при зміні значення аргумента від А до В з кроком С і визначити мінімальне і максимальне значення функції на відрізку. Створити три різні типи програми: створення циклу за допомогою IF-THEN-GOTO; створення циклу за допомогою WHILE-створення циклу за допомогою REPEAT-UNTIL.
Методичні вказівки до роботи:
1) Розібратися зі створенням циклу за допомогою операторів IF-THEN-GOTO.
2) Розібратися зі створенням циклу за допомогою оператора WHILE.
3) Розібратися зі створенням циклу за допомогою оператора REPEAT-UNTIL.
4) При обчисленні мінімального та максимального значень за початкові брати значення при аргументі А.
5) Результат вивести в дві колонки у вигляді:
X=......................................... f(X)=.....................................................
.............................................. ............................................................
Мінімальне=............ Максимальне=................................................
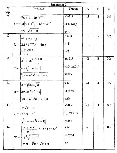
6) Завдання до роботи згідно з варіантом вибрати з Завдання 2.
Зміст звіту:
1) Задача для конкретного варіанта.
2) Блок-схеми програм.
3) Тексти програм на Паскалі.
4) Результати роботи однієї програми.
5) Висновок до роботи.
Контрольні питання до роботи:
1) Циклічні алгоритми.
2) Параметр циклу
3) Умова закінчення циклу.
4) Організація циклів за допомогою умовного і безумовного переходів.
5) Цикл з передумовою.
6) Цикл з постумовою.
7) Створення циклу за допомогою оператора WHILE.
8) Створення циклу за допомогою оператора REPEAT-UNTIL.
9) Обчислення мінімального і максимального значень.

