Методические указания по выполнению задания 1 .
- Вызовите формульный редактор;
- В палитре шаблонов выберите третий слева шаблон с индексами;
- В открывшемся списке выберите левый в первом ряду;
- Наберите греческое "Хи" (в палитре символов второе поле справа - греческие символы).
Обратите внимание на различный вид курсоров. Вводимый символ вставляется в позицию, определяемую вертикальной чертой курсора!
- Подведите курсор в поле верхнего индекса и нажмите 2;
- Введите "=" после Х;
- — из палитры шаблонов выберите знак суммы с верхним и нижним индексами, и введите индексы;
- Выберите из палитры шаблонов объект с верхним индексом (первый в четвёртом ряду);
- Выберите шаблон со скобками;
- Выберите шаблон для дроби;
- — Выберите шаблон с нижним индексом, введите Хи, переведите курсор в следующую позицию (стрелкой -> или шелчком мыши), наберите "-", затем "m"
- В знаменателе введите "s"
- В месте верхнего индекса наберите 2;
- Выйдите из редактора формул, щёлкнув левой кнопкой мыши вне поля редактирования.
- Сохраните формулу в файле.
Задание 2.
Наберите систему линейных уравнений в матричной записи в виде:

Рис.2. Матричная запись системы уравнений.
Методические указания по выполнению задания 2 .
- в новом окне вызовите формульный редактор;
- из палитры шаблонов выберите круглые скобки;
- выберите шаблон матрицы размером 4x4;
- перемещаясь от поля к полю с помощью мыши или клавиши tab, заполните матрицу;
- выберите круглые скобки, вектор размером 4, заполните его значениями;
- введите "=";
- аналогично введите последний вектор;
- выйдите из редактора формул;
- сделайте подпись под матрицей;
- сохраните рисунок в файле.
Задание 3:
Записать формулы с помощью формульного редактора Equation Editor :
| 1. 2xy dx + (x2 - y2)dy = 0. | 2. y2(y dx - 2x dy) = x3(x dy - 2y dx). |
| 3. (2x3y2 - y)dx + (2x2y3 - x)dy = 0. | 4. (x2 - y)dx + x(y + 1)dy = 0. |
| 5. (2x2y3 - 1)y dx + (4x2y3 - 1)x dy = 0. | 6. (x2 + 1)(2x dx + cos y dy) = 2x sin y dx. |
| 7. (x2 - sin2y)dx + x sin 2y dy = 0. | 8. x(ln y + 2 ln x - 1)dy = 2y dx. |
| 9. (x2 - y2 + y)dx + x(2y - 1)dy = 0. | 10. (2x2y2 + y)dx + (x3y - x)dy = 0. |
| 11. y dx - x dy = 2x3 tg(y/x) dx. | 12. y2dx + (xy + tg xy)dy = 0. |
| 13. y2dx + (ex - y)dy = 0. | 14. y dy = (x dy + y dx) sqrt(1 + y2). |
| 15. 2x(1 + sqrt(x2 - y)dx - sqrt(x2 - y)dy = 0. | 16. (1 + y2 sin 2x)dx - 2y cos2x dy = 0. |
| 17. e-ydx - (2y +xe-y)dy = 0. | 18. (x/sin y + 2)dx + ((x2 + 1)cos y)/(cos 2y - 1) dy = 0. |
| 19. (2 - 9xy2)x dx + (4y2 - 6x3)y dy = 0. | 20. y(y2 + 1)dx + x(y2 - x + 1)dy = 0. |
| 21. ((3x2 + y2)/y2)dx - ((2x3 + 5y)/y3)dy... | 22. 3x2(1 + ln y)dx = (2y - x3/y)dy. |
| 23. (y/x)dx + (y3 + ln x)dy = 0. | 24. (x2 + 2x + y)dx = (x - 3x2y)dy. |
| 25. x2y(y dx + x dy) = 2y dx + x dy. | 26. (y - 1/x)dx + dy/y = 0. |
| 27. y(x + y2)dx + x2(y - 1)dy = 0. | 28. x2y3 + y + (x3y2 - x)y' = 0. |
| 29. y2dx - (xy + x3)dy = 0. | 30. xy dx = (y3 + x2y + x2)dy. |
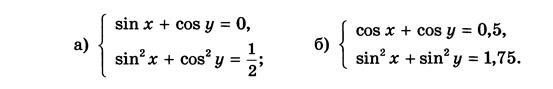
Задание 4: Записать формулы с помощью формульного редактора Equation Editor.
Вариант 1:

Вариант 2:

Вариант 3:

Вариант 4:

Вариант 5: 
Вариант 6:

Вариант 7:

Вариант 8:

Вариант 9:

Вариант 10:

Вариант 11:

Вариант 12:

Вариант 13:

