2. Расчет фонда заработной платы инженерного коллектива.
3. Распределение объема работ и фонда заработной платы между исполнителями.
Остановимся последовательно на каждом этапе.
1. Определение цены научно-технической разработки
Расчет цены разработки выполняется по усредненным отраслевым нормативам и ценам.
В приложениях I - 5 приведен ценнник для разработчиков нестандартизированного технологического оборудования для авиационного производства.
Основой расчета цены разработки является стоимость одного листа чертежа формата А1 (или его части), которая дифференцирована:
- по стадиям разработки (техническое задание, эскизный проект, технический проект, деталировка, сборка, пояснительная записка, технико-экономические расчеты);
- по сложности (группам новизны сборочных единиц) (приложение 6);
- по номеру нормы, соответствующему количеству размеров на чертеже, необходимых для геометрических построений (на этапе сборки - количеству деталей, входящих в сборочный чертеж).
Объем чертежных листов и состав конструкторской документации определяется по ГОСТ 2.103-68.
Расчет цены разработки осуществляется по формуле:
( 1)
где Ц - цена научно-технической разработки, руб.;
n - количество стадий научно-технической разработки;
Кп - коэффициент соотношения минимальной заработной платы на момент расчета цены разработки и минимальной заработной платы, действующей на момент утверждения цен, приведенных в приложении 1. Величина последней - 80 руб.;
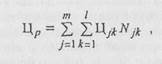
Цр - цена разработки р-й стадии. Определяется по формуле:

(2)
где Цjk - стоимость одного листа чертежа формата А1 (или его части) j-й группы новизны, к-го номера нормы, руб.;
m - количество групп новизны;
/ - количество номеров нормы;
Njk - количество листов чертежа формата A1, j-й группы новизны, k-го номера нормы, шт.
Договорная цена разработки не должна быть меньше рассчитанной цены. Применительно к условиям данной работы допускаем, что заказчик согласен с предложением разработчиков, и договорная цена равна цене разработки.
2. Расчет фонда заработной платы инженерного коллектива, включаемого в договорную цену
Расчет фонда заработной платы осуществляется в два этапа.
На первом этапе определяется себестоимость научно-технической разработки. Для этого из определенной по формуле (1) цены разработки вычитается прибыль, величина которой обычно устанавливается самим предприятием.
В данной работе величина прибыли (в процентах от договорной цены) указана в варианте задания (приложение 7).
На втором этапе из себестоимости научно-технической разработки необходимо вычесть затраты, не связанные с оплатой труда. По статистике в коллективах, занятых конструкторскими разработками, они составляют от 30% до 40% себестоимости разработки. Таким образом, на оплату труда приходится 60 - 70% всех затрат.
В эту величину входят собственно фонд заработной платы и единый социальный налог (ЕСН), величину которого можно принять на уровне 26% от фонда заработной платы.
Фонд заработной платы, подлежащий распределению между членами трудового коллектива, определяется по формуле:
ФЗП = (С – МЗ) / К (3)
где С - себестоимость разработки, руб.;
МЗ - материальные и другие затраты, не связанные с оплатой труда, руб.;
К – коэффициент, учитывающий ЕСН (1,26).
3. Распределение объема работ и фонда заработной платы между исполнителями
Вначале необходимо определить объем работы в стоимостном выражении, выполненной каждым инженером.
Исходные данные для расчета представлены в табл. 1. Расчет осуществляется по формуле:
n
Vi = 0,01Кп Σ Цр Уip (4)
P=1
где Vi - стоимость работ, выполненных i-ым инженером, руб.;
Уip - объем работ (в процентах), выполненный i-м исполнителем на р-й стадии.
Таблица I
Распределение объема работ (в %) между исполнителями
| N | Исполни- Телли |
Стадии работы | ||||||
| п/п | Техническое задание | Эскизное проектирование | Техническое проектирование | Деталировка | Сборка | Пояснительная записка | Технико-экономи-ческие расчеты (ТЭР) | |
| 1 | Ведущий инженер | 100 | 31 | 40 | - | - | 100 | - |
| 2 | Конструктор 1-й категории | - | 34 | 29 | 60 | - | - | - |
| 3 | Конструктор 1-й категории | - | - | 21 | - | 65 | - | - |
| 4 | Конструктор 2-й категории | - | - | 10 | - | 35 | - | - |
| 5 | Конструктор 3-й категории | - | 35 | - | 40 | - | - | - |
| 6 | Экономист | - | - | - | - | - | - | 100 |
После определения стоимости работы, выполненной каждым исполнителем, определяется норматив заработной платы (Nзп), представляющий собой долю начисленной заработной платы в договорной цене:
Nзп = ФЗП/Ц ( 5 )
Результаты расчетов сводятся в табл. 2.
Таблица 2
Распределение объема работ и фонда заработной платы между исполнителями
| № п/п | Исполнители | Объем работы, руб. | Заработная плата, руб. |
| 1 | Ведущий инженер | ||
| 2 | Конструктор 1-й категории | ||
| 3 | Конструктор 1-й категории | ||
| 4 | Конструктор 2-й категории | ||
| 5 | Конструктор 3-й категории | ||
| 6 | Экономист |
Величина заработной платы каждого инженера определяется по формуле:
( 6 )
Важно отметить, что необходимым условием применения данного метода является ознакомление каждого сотрудника с объемом работ и суммой оплаты до начала работы над проектом. Объем работ должен обеспечивать достаточный заработок и в то же время быть реальным, чтобы работник был в состоянии выполнить его в срок.
Приложения
Приложение 1
Цены на разработку текстовых документов (технического задания, пояснительной записки)
| Единица объема | Цена, руб. |
| Лист текстового материала формата А4 | 16 |
Примечание. Цены на разработку чертежей общего вида (эскизного проекта) берутся из приложения 2 с коэффициентом 0,8.
Приложение 2
Цены на разработку чертежей (техническое проектирование), руб.
| Единица | Группа | Номера норм | |||||
| объема | новизны | ||||||
| I | 2 | 3 | 4 | 5 | 6 | ||
| Лист | А | 138 | 155 | 179 | 203 | 234 | 268 |
| формата | Б | 155 | 179 | 203 | 234 | 268 | 306 |
| А1 | В | 179 | 203 | 234 | 268 | 306 | 350 |
| Г | 203 | 234 | 268 | 306 | 350 | 405 | |
| Д | 234 | 268 | 306 | 350 | 405 | 463 | |
Приложение 3
Цены на разработку чертежа детали (деталировка), руб.
| Единица объема | Номер нормы | |||||||||||
| 1 | 2 | 3 | 4 | 5 | 6 | 7 | 8 | 9 | 10 | 11 | 12 | |
| Лист формата: | ||||||||||||
| А4 | 4,6 | 4,9 | 5,4 | |||||||||
| A3 | 8,8 | 9,5 | 10,2 | |||||||||
| А2 | 16,6 | 18,3 | 20,0 | |||||||||
| A1 | 33,0 | 36,0 | 40,0 | |||||||||
Приложение 4
Цены на разработку сборочных чертежей, руб.
| Единица | Группа | Номер | нормы | ||||
| объема | новизны | ||||||
| 1 | 2 | 3 | 4 | 5 | 6 | ||
| Лист формата А1 | А | 77 | 116 | 177 | 268 | 406 | 473 |
| Б | 83 | 125 | 190 | 288 | 436 | 508 | |
| В | 89 | 133 | 204 | 308 | 467 | 544 | |
| Г | 94 | 142 | 217 | 238 | 497 | 579 | |
| Д | 100 | 151 | 230 | 248 | 528 | 615 |
Приложение 5
Цены на технико-экономические расчеты, руб.
| Единица объема | Группы новизны | ||||
| А | Б | В | Г | Д | |
| Лист формата А4 | 26 | 45 | 60 | 79 | 90 |
Приложение 6
В качестве критерия сложности применяется понятие "группа новизны сборочных единиц":
А - проектирование сборочных единиц по существующим образцам без значительных изменений;
Б - проектирование сборочных единиц, предусматривающее модификацию существующих образцов с использованием унифицированных элементов;
В - проектирование сборочных единиц с введением новых конструкторских и технологических решений по сравнению с существующими образцами;
Г - проектирование сборочных единиц с совершенно новыми параметрами, связанное с проведением экспериментальной проверки составных частей;
Д - проектирование сборочных единиц, предусматривающее применение принципиально новых процессов или методов работы.
Приложение 7
Варианты заданий
| № задания
| Группа новизны
| . Стадии научно-технической разработки | Про-цент прибыли от дого-ворной цены
| ||||||||||||||||||
| Техническое задание, лист.
| Эскизный проект | Технический проект | Рабочая документация | Пояс- нительная запис-ка, лист.
| ТЭР, лист.
| ||||||||||||||||
| № нормы
| Кол-во листов
| № нормы
| Кол-во листов
| Деталировка | Сборка | ||||||||||||||||
| № нормы | Кол-во листов | № нормы | Кол-во листов | ||||||||||||||||||
| 1 | 2 | 3 | 4
| 5 | 6 | 7 | 8 | 9 | 10 | 11 | 12 | 13 | 14 | ||||||||
| 1 | А | 15 | 1 | 25 | 2 | 27 | 1 | 110 | 2 | 20 | 90 | 10 | 21 | ||||||||
| 2 | Б | 20 | 2
| 26
| 3 | 28 | 2 | 115 | 3 | 25 | 95 | 15 | 22 | ||||||||
| 3 | В | 25 | 3 | 27 | 4 | 29 | 3 | 120 | 4 | 30 | 100 | 20 | 23 | ||||||||
| 4 | Г | 50 | 4 | 28 | 5 | 30 | 4 | 125 | 5 | 35 | 105 | 25 | 24 | ||||||||
| 5 | Д | 40 | 5 | 29 | 6 | 31 | 5 | 130 | 6 | 40 | 110 | 10 | 25 | ||||||||
| 6 | А | 16 | 1 | 30 | 2 | 32 | 6 | 135 | 5 | 20 | 90 | 15 | 26 | ||||||||
| 7 | Б | 21 | 2 | 31 | 3 | 33 | 7 | 140 | 6 | 25 | 95 | 20 | 17 | ||||||||
| 8 | В | 26 | 3 | 32 | 4 | 34 | 8 | 145 | 4 | 30 | 100 | 15 | 18 | ||||||||
| 9 | Г | 51 | 4 | 33 | 5 | 35 | 9 | 150 | 5 | 35 | 105 | 10 | 19 | ||||||||
| 10 | Д | 41 | 5 | 34 | 6 | 36 | 10 | 155 | 6 | 40 | 110 | 20 | 20 | ||||||||
| 11 | А | 19 | 1 | 35 | 2 | 37 | 11 | 160 | 1 | 25 | 90 | 25 | 21 | ||||||||
| 12 | Б | 17 | 3 | 31 | 3 | 25 | 12 | 151 | 4 | 34 | 70 | 23 | 22 | ||||||||
| 13 | Г | 24 | 5 | 27 | 6 | 34 | 6 | 124 | 6 | 28 | 65 | 33 | 23 | ||||||||
| 14 | В | 39 | 4 | 25 | 4 | 28 | 4 | 105 | 3 | 15 | 80 | 19 | 24 | ||||||||
| 15 | Д | 16 | 2 | 26 | 3 | 23 | 3 | 100 | 1 | 15 | 85 | 18 | 15 | ||||||||
| 16 | А | 18 | 1 | 24 | 1 | 25 | 1 | 100 | 2 | 20 | 90 | 25 | 16 | ||||||||
| 17 | Б | 20 | 3 | 30 | 2 | 30 | 2 | 120 | 2 | 19 | 95 | 24 | 17 | ||||||||
| 18 | В | 30 | 2 | 28 | 4 | 26 | 4 | 115 | 3 | 20 | 95 | 20 | 18 | ||||||||
| 19 | Г | 35 | 4 | 30 | 5 | 27 | 3 | 110 | 4 | 35 | 100 | 22 | 19 | ||||||||
| 20 | Д | 42 | 4 | 31 | 5 | 35 | 4 | 130 | 5 | 33 | 100 | 24 | 20 | ||||||||
| 21 | А | 15 | 1 | 26 | 2 | 28 | 1 | 111 | 2 | 21 | 91 | 16 | 21 | ||||||||
| 22 | Б | 20 | 2 | 28 | 3 | 28 | 2 | 115 | 3 | 25 | 96 | 15 | 22 | ||||||||
| 23 | В | 25 | 3 | 30 | 4 | 29 | 3 | 120 | 4 | 30 | 105 | 20 | 23 | ||||||||
| 24 | Г | 50 | 4 | 32 | 5 | 30 | 4 | 125 | 5 | 35 | 100 | 27 | 24 | ||||||||
| 25 | Д | 40 | 5 | 34 | 6 | 31 | 5 | 130 | 6 | 40 | 111 | 19 | 25 | ||||||||
| 26 | А | 16 | 1 | 35 | 2 | 32 | 6 | 135 | 4 | 20 | 93 | 18 | 26 | ||||||||
| 27 | Б | 21 | 2 | 37 | 3 | 33 | 7 | 140 | 6 | 25 | 97 | 20 | 27 | ||||||||
| 28 | В | 26 | 3 | 39 | 4 | 34 | 8 | 145 | 4 | 30 | 102 | 17 | 28 | ||||||||
| 29 | Г | 51 | 4 | 33 | 5 | 35 | 9 | 150 | 5 | 35 | 105 | 10 | 29 | ||||||||
| 30 | Д | 41 | 5 | 34 | 6 | 36 | 10 | 155 | 6 | 40 | 110 | 20 | 30 | ||||||||
